Production and electrocatalytic activity of graphene-phosphorene structures decorated with cobalt atoms
- Authors: Manzhos R.A.1, Komarova N.S.1, Kotkin A.S.1, Kochergin V.K.1, Prikhodchenko T.R.1, Krivenko A.G.1
-
Affiliations:
- Federal Research Center of Problems of Chemical Physics and Medicinal Chemistry of Russian Academy of Sciences
- Issue: Vol 60, No 2 (2024)
- Pages: 159-164
- Section: Articles
- URL: https://bakhtiniada.ru/0424-8570/article/view/263811
- DOI: https://doi.org/10.31857/S0424857024020069
- EDN: https://elibrary.ru/RFIFKB
- ID: 263811
Cite item
Full Text
Abstract
Nitrogen-doped few-layer graphene structures were synthesized by the plasma-assisted electrochemical exfoliation of graphite and were used to prepare composites with phosphorene structures obtained as a result of ultrasonic exfoliation of a black phosphorus porous electrode with cobalt preliminarily deposited on it. The catalytic activity towards hydrogen evolution reaction of few-layer graphene and phosphorene structures, as well as their mixtures was studied, and mixed electrocatalysts was shown to demonstrate the highest activity towards hydrogen evolution reaction.
Full Text
ВВЕДЕНИЕ
В связи с развитием “зеленой” энергетики большое внимание научного сообщества привлечено к водороду, как самому экологически чистому виду топлива, которое в перспективе позволит заменить ископаемое горючее [1, 2]. Также водород используется как сырье в различных химических производствах, например синтезе аммиака, для очистки металлов, а также при производстве полупроводников [3]. Следует отметить, что в последнем случае необходим водород высокой чистоты, которую можно достичь только при использовании электролиза воды. В этом случае реакция выделения водорода (РВВ) требует экономичных и эффективных электрокатализаторов для повышения энергоэффективности [4–6]. Поиск новых катализаторов РВВ, не содержащих металлов платиновой группы, является актуальной задачей, одним из новых подходов к решению которой, по мнению многих исследователей, может стать использование фосфореновых структур (ФС) [7, 8]. Фосфорен является монослойной формой черного фосфора (ЧФ) и представляет из себя “гофрированный” лист, состоящий из двухслойных шестичленных колец, которые за счет sp3-гибридизации выглядят в вертикальной проекции как сотовые графеноподобные структуры, которые в кристалле ЧФ удерживаются за счет слабых ван-дер-ваальсовых сил. Однако большинство авторов указывают и на существенный недостаток ФС как электродного материала – низкую устойчивость к кислороду воздуха и парам воды, приводящую к изменению состава и структуры и, как следствие, деградации электронных свойств. Для повышения эксплуатационных характеристик и каталитической активности ФС был предложен ряд способов: легирование ФС при измельчении в шаровой мельнице ЧФ с добавлением мочевины [9] и сочетание фосфорена с другими активными материалами [10, 11], такими как MoS2 и Ni2P. В этих работах значительное увеличение каталитической активности в РВВ объяснялось не увеличением числа активных центров, а увеличением плотности носителей заряда в фосфорене на три порядка при его модификации. В [12] реализован традиционный путь повышения каталитической активности путем декорирования фосфорена наночастицами благородных металлов, таких как Pt, Ag и Au; в результате была продемонстрирована более высокая активность по сравнению с наночастицами этих металлов, находящихся на углеродной подложке. Также предпринимаются попытки использования и переходных металлов для увеличения каталитической активности фосфорена в РВВ [13]. В данной работе было проведено электрохимическое осаждение кобальта на поверхность пористого ЧФ-электрода, который впоследствии расщепляли с использованием мощного ультразвукового воздействия с целью получения суспензий фосфореновых структур, декорированных атомами кобальта (Co-ФС). Суспензии малослойных графеновых структур, допированных атомами азота (N-МГС), полученные методом плазмоэлектрохимического расщепления графита, были использованы для приготовления смесевых композиций с Co-ФС. Наряду с этим исследована каталитическая активность в РВВ малослойных графеновых и фосфореновых структур, а также их смесей. Показано, что смешение рассматриваемых материалов позволяет получить наиболее активный катализатор.
ЭКСПЕРИМЕНТАЛЬНАЯ ЧАСТЬ
В работе использовали NaNO3 (“х. ч.”), меламин (“х. ч.”), графит марки ГР-280, красный фосфор (“ос. ч.”), диметилформамид (ДМФА) (“ч.”), (C4H9)4NPF6 (98%, Aldrich), CoCl2·6H2O (“ос. ч.”).
Допированные атомами азота малослойные графеновые структуры получали методом плазмоэлектрохимического расщепления графита в растворе 1 M NaNO3 + 0.01 M меламин в результате подачи на электроды импульсов напряжения чередующейся полярности амплитудой 300–180 В с субмикросекундным временем нарастания [14]. Подробное описание установки и основных физических и химических процессов, характерных для синтеза N-МГС при расщеплении графита под действием электролизной плазмы, приведены в [15–17]. Синтезированные N-МГС отделяли от электролита в результате нескольких этапов центрифугирования и декантации. Порошок ЧФ получали сольвотермальным методом по технологии, близкой к описанной в [18]. Далее в результате прессования формировали из него ЧФ-электрод, имевший ярко выраженную пористую структуру. Осаждение кобальта на ЧФ-электрод проводили в растворе 0.025 M (C4H9)4NPF6 + 0.005 M CoCl2 в ДМФА [13] в трехэлектродной ячейке с использованием потенциостата Elins P-30S (Elins, Россия) при потенциале –2 В в течение 90 мин (электрод сравнения – Ag/AgCl, вспомогательный электрод – пластина стеклоуглерода (СУ)). Затем электрод по известной методике получения дисперсии ФС расщепляли в ДМФА с помощью мощного ультразвукового воздействия в течение 2 ч при охлаждении растворителя в ледяной бане и продувке аргоном [19]. Полученные дисперсии N-МГС и Co-ФС смешивали в различных пропорциях для приготовления композитного катализатора.
Образцы для сканирующей электронной микроскопии (СЭМ) и рентгеновской фотоэлектронной спектроскопии (РФЭС) готовили путем покапельного нанесения на поверхность проводящей подложки предварительно обработанной ультразвуком суспензии композита и последующей сушки на воздухе при комнатной температуре. Электронные микрофотографии исследуемых образцов были получены на сканирующем электронном микроскопе Zeiss SUPRA 25 (Carl Zeiss, Германия). РФЭ-спектры получали с помощью прибора Specs PHOIBOS 150 MCD (Specs, Германия) с использованием MgKα излучения (1253.6 эВ). Исследованная площадь составляла 300–700 мкм2, а информационная глубина ~1–2 нм.
Каталитическую активность N-МГС, Co-ФС и смесевых композитных катализаторов, содержащих различные количества Co-ФС и N-МГС, в РВВ оценивали в растворе 0.1 M KOH методом вольтамперометрии с линейной разверткой потенциала в трехэлектродной ячейке на установке с вращающимся дисковым электродом RRDE-3A (ALS Co., Ltd., Япония) с использованием потенциостата Elins P-20X (Elins, Россия). Рабочим электродом служил СУ-диск диаметром 3 мм, запрессованный в полимер PEEK, на поверхность которого наносился катализатор, вспомогательным электродом – платиновая проволока, электродом сравнения – Ag/AgCl (насыщ. KCl) электрод, все величины потенциалов (E) пересчитаны и приведены в шкале обратимого водородного электрода (о.в.э.). Способ приготовления рабочих электродов на основе полученных материалов не отличался от описанного в [20]. На электрод наносили 7 мкл водной суспензии катализатора, содержащей различные количества исследуемого материала и 0.1 мас. % полимера Нафион, и сушили при комнатной температуре. Концентрацию катализатора в суспензии выбирали такой, чтобы загрузка материала на электроде была 0.1, 0.2 и 0.4 мг/см2 в случае N-МГС (1, 2 и 4 мг/мл, соответственно) и 0.09 мг/см2 (0.9 мг/мл) для Co-ФС. Смесевые композитные катализаторы готовили путем смешения суспензий Co-ФС (1 мг/мл) и N-МГС (10 мг/мл), взятых в соотношениях 8 : 1, 7 : 2 и 5 : 4, в результате чего содержание Co-ФС и N-МГС в активном слое на электроде составило 0.08 и 0.1 мг/см2, 0.07 и 0.2 мг/см2, 0.05 и 0.4 мг/см2, соответственно.
РЕЗУЛЬТАТЫ И ОБСУЖДЕНИЕ
На рис. 1 приведены СЭМ-изображения N-МГС и Co-ФС. Из рис. 1а видно, что N-МГС представляют собой графеноподобные структуры с характерными латеральными размерами в пределах от 0.02 до 0.20 мкм. Как было показано в [14], толщина N-МГС составляет 2–3 нм (7–10 графеновых слоев). В случае Co-ФС на изображении можно выделить фосфореновые структуры (рис. 1б), поверхность которых частично декорирована агломератами атомов кобальта.
Рис. 1. СЭМ-изображения образцов N-МГС (а) и Co-ФС (б).
Согласно данным рентгеновской фотоэлектронной спектроскопии (табл. 1) использование меламина в качестве добавки к раствору для расщепления графита позволило получить МГС с высокой степенью допирования атомами азота (до 8.5 ат. %). Также из данных анализа следует, что осаждение кобальта на поверхность ЧФ-электрода, предваряющее его расщепление, способствовало образованию фосфореновых структур, декорированных атомами кобальта (~0.6 ат. % Co). Не очень значительное содержание Co на поверхности ФС (см. рис. 1б и табл. 1), по-видимому, обусловлено сравнительно мягким способом его нанесения. Следует обратить внимание, что полученные Co-фосфореновые структуры содержат кроме фосфора и кобальта углерод, азот, кислород и небольшое количество фтора, что обусловлено проведением осаждения кобальта в растворе ДМФА, содержащем соль (C4H9)4NPF6. На рис. 2 приведен P 2p-спектр высокого разрешения образца Co-ФС. Разложение спектра P 2p на составляющие позволяет выделить два пика при 129.4 и 130.2 эВ, которые соответствуют состояниям элементного фосфора 2p3/2 и 2p1/2 соответственно [13, 21]. Также на спектре присутствует пик при 133.6 эВ, соответствующий фосфору в окисленном состоянии. К сожалению, малые количества кобальта в образце Co-ФС не позволили получить спектр высокого разрешения Co 2p. Опираясь на результаты, представленные в [13], можно предположить, что кобальт находится как в металлическом, так и окисленном виде, что характерно для допированных атомами металлов материалов, см. [13] и цитируемую там литературу.
Таблица 1. Содержание элементов в поверхностном слое образцов N-МГС и Co-ФС по данным РФЭС
Образец | C, ат.% | O, ат.% | N, ат.% | F, ат.% | P, ат.% | Co, ат.% |
N-МГС | 68.7 | 22.8 | 8.5 | – | – | – |
Co-ФС | 25.9 | 32.6 | 2.7 | 3.5 | 34.7 | 0.6 |
Рис. 2. P 2p-спектр высокого разрешения образца Co-ФС.
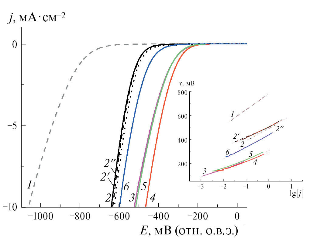
Кинетика реакции выделения водорода для N-МГС, Co-ФС и смесевых катализаторов Co-ФС/N-МГС была исследована методом вращающегося дискового электрода. Для всех катализаторов на вольтамперограммах, приведенных на рис. 3, наблюдался рост тока выделения водорода по мере катодной развертки потенциала. Из рисунка видно, что каталитическая активность N-МГС (кривые 2–2’’) заметно превышает таковую для СУ (кривая 1) и заключается в существенном уменьшении перенапряжения РВВ (η), которое практически не зависит от загрузки материала на электроде (η ≈ 0.63 В при плотности тока 10 мА/см2, ср. η ≈ 1.06 В для стеклоуглерода). В то же время активность Co-ФС (кривая 3) оказывается заметно выше, чем у N-МГС и характеризуется величиной η ≈ 0.53 В. Неожиданным фактом, обнаруженным в данной работе, является заметное уменьшение перенапряжения выделения водорода по сравнению с исходными Co-ФС при небольших концентрациях N-МГС в смесевом композите, что однозначно свидетельствует о наличии синергетического эффекта при смешении в определенной пропорции дисперсий Co-ФС с N-МГС. Минимальные значения η ≈ 0.46 В наблюдаются для смеси Co-ФС/N-МГС(8 : 1) (кривая 4), при этом для более концентрированных по N-МГС смесевых составов регистрируется заметное увеличение η, приближающееся к значению, характерному для исходных N-МГС (кривые 5, 6). Последнее указывает на недостаточное число активных центров РВВ, связанных с Co-фосфореновыми структурами, по сравнению с их количеством на допированных азотом графеновых структурах, что приводит к практически полному переключению реакции выделения водорода на эти центры. На врезке к рис. 3 приведены тафелевские зависимости для всех рассмотренных образцов. Наклон представленных прямых составляет 90–100 мВ/дек для N-МГС и 70 мВ/дек для Co-ФС. По мере увеличения содержания малослойных графеновых структур в смесевом катализаторе тафелевский наклон увеличивается от 70 мВ/дек для смеси 8 : 1 до 75 и 100 мВ/дек для смесей 7 : 2 и 5 : 4, соответственно. Таким образом, с уменьшением содержания фосфореновых структур в смесевом катализаторе, его активность падает и приближается к таковой для N-МГС. Важно отметить, что все исследованные катализаторы демонстрируют достаточную стабильность характеристик в течение 1000 циклов развертки потенциала в интервале от 0 до –600 мВ. Что касается природы синергетического эффекта, то ее установление является предметом дальнейших исследований.
Рис. 3. Реакция выделения водорода на исходном стеклоуглероде (1), N-МГС с различной загрузкой, мг/см2: 0.1 – 2, 0.2 – 2’, 0.4 – 2’’, Co-ФС (3) и смесевых композитах с различным соотношением исходных суспензий Co-ФС и N-МГС: 8 : 1 – 4, 7 : 2 – 5, 5 : 4 – 6. На врезке приведены соответствующие тафелевские зависимости.
ЗАКЛЮЧЕНИЕ
Таким образом, осаждение кобальта в растворе 0.025 M (C4H9)4NPF6 + 0.005 M CoCl2 в ДМФА на ЧФ-электрод с последующим его расщеплением с помощью ультразвука позволяет получить фосфореновые структуры, декорированные атомами Co. Показано, что и фосфореновые структуры, модифицированные атомами Co, и N-МГС обладают заметной каталитической активностью в реакции выделения водорода. В то же время при смешении Co-ФС с небольшим количеством N-МГС наблюдается синергетический эффект, заключающийся в увеличении каталитической активности смесевого композита по сравнению с каждым из его компонентов по отдельности. При варьировании соотношения Co-ФС и N-МГС установлено, что наибольшей каталитической активностью в РВВ обладает смесевой катализатор, полученный в результате смешения суспензий Co-ФС и N-МГС в пропорции 8 : 1.
ФИНАНСИРОВАНИЕ РАБОТЫ
Работа выполнена при финансовой поддержке РНФ (грант № 22-23-00774) с использованием оборудования АЦКП ФИЦ ПХФ и МХ РАН.
КОНФЛИКТ ИНТЕРЕСОВ
Авторы заявляют, что у них нет конфликта интересов.
About the authors
R. A. Manzhos
Federal Research Center of Problems of Chemical Physics and Medicinal Chemistry of Russian Academy of Sciences
Email: rmanzhos@yandex.ru
Russian Federation, Chernogolovka, Moscow region
N. S. Komarova
Federal Research Center of Problems of Chemical Physics and Medicinal Chemistry of Russian Academy of Sciences
Email: rmanzhos@yandex.ru
Russian Federation, Chernogolovka, Moscow region
A. S. Kotkin
Federal Research Center of Problems of Chemical Physics and Medicinal Chemistry of Russian Academy of Sciences
Email: rmanzhos@yandex.ru
Russian Federation, Chernogolovka, Moscow region
V. K. Kochergin
Federal Research Center of Problems of Chemical Physics and Medicinal Chemistry of Russian Academy of Sciences
Email: rmanzhos@yandex.ru
Russian Federation, Chernogolovka, Moscow region
T. R. Prikhodchenko
Federal Research Center of Problems of Chemical Physics and Medicinal Chemistry of Russian Academy of Sciences
Email: rmanzhos@yandex.ru
Russian Federation, Chernogolovka, Moscow region
A. G. Krivenko
Federal Research Center of Problems of Chemical Physics and Medicinal Chemistry of Russian Academy of Sciences
Author for correspondence.
Email: rmanzhos@yandex.ru
Russian Federation, Chernogolovka, Moscow region
References
- Bockris, J.O’.M., The hydrogen economy: Its history, Intern. J. Hydrogen Energy, 2013, vol. 38, p. 2579.
- Pudukudy, M., Yaakob, Z., Mohammad, M., Narayanan, B., and Sopian, K., Renewable hydrogen economy in Asia – Opportunities and challenges: An overview, Renewable Sustainable Energy Rev., 2014, vol. 30, p. 743.
- Miyazaki, J., Kajiyama, T., Matsumoto, K., Fujiwarat, H., and Yatabe, M., Ultra high purity hydrogen gas supply system with liquid hydrogen, Intern. J. Hydrogen Energy, 1996, vol. 21, p. 335.
- Zhao, G., Rui, K., Dou, S.X., and Sun, W., Heterostructures for electrochemical hydrogen evolution reaction: A review, Adv. Funct. Mater, 2018, vol. 28, p. 1803291.
- Chen, Y., Wang, X., Lao, M., Rui, K., Zheng, X., Yu, H., Ma, J., Dou, S.X., and Sun, W., Electrocatalytically inactive SnS2 promotes water adsorption/dissociation on molybdenum dichalcogenides for accelerated alkaline hydrogen evolution, Nano Energy, 2019, vol. 64, p. 103918.
- Lao, M., Rui, K., Zhao, G., Cui, P., Zheng, X., Dou, S.X., and Sun, W., Platinum/nickel bicarbonate heterostructures towards accelerated hydrogen evolution under alkaline conditions, Angew. Chem. Int. Ed., 2019, vol. 58, p. 5432.
- He, L., Lian, P., Zhu, Y., Lu, Q., Wang, C., and Mei, Y., Review on applications of black phosphorus in catalysis, J. Nanosci. Nanotechnol., 2019, vol. 19, p. 5361.
- Dinh, K.N., Zhang, Y., Zhu, J., and Sun, W., Phosphorene‐based electrocatalysts, Chem. Europ. J., 2020, vol. 26, p. 6437.
- Shao, L., Sun, H., Miao, L., Chen, X., Han, M., Sun, J., and Chen, J., Facile preparation of black phosphorene for the electrocatalytic hydrogen evolution reaction, J. Mater. Chem. A, 2018, vol. 6, p. 2494.
- Luo, Z.-Z., Zhang, Y., Zhang, C., Tan, H.T., Li, Z., Abutaha, A., and Yan, Q., Multifunctional 0D-2D Ni2P nanocrystals-black phosphorus heterostructure, Adv. Energy Mater., 2016, vol. 7, p. 1601285.
- Batmunkh, M., Bat-Erdene, M., and Shapter, J.G., Phosphorene and phosphorene-based materials – Prospects for future applications, Adv. Mater., 2016, vol. 28, p. 8586.
- Peng, Y., Lu, B., Wang, N., Lu, J.E., Li, C., Ping, Y., and Chen, S., Oxygen reduction reaction catalyzed by black phosphorus-supported metal nanoparticles: Impacts of interfacial charge transfer, ACS Appl. Mater. Interfaces, 2019, vol. 11, p. 24707.
- Liu, D., Wang, J., Lu, J., Ma, C., Huang, H., Wang, Z., Wu, L., Liu, Q., Jin, S., Chu, P.K., and Yu, X.-F., Direct synthesis of metal-doped phosphorene with enhanced electrocatalytic hydrogen evolution, Small Methods, 2019, vol. 3, p. 1900083.
- Kochergin, V.K., Manzhos, R.A., Khodos, I.I., and Krivenko, A.G., One-step synthesis of nitrogen-doped few-layer graphene structures decorated with nanoparticles for highly efficient electrocatalysis of oxygen reduction reaction, Mendeleev Commun., 2022, vol. 32, p. 494.
- Krivenko, A.G., Manzhos, R.A., Kotkin, A.S., Kochergin, V.K., Piven, N.P., and Manzhos, A.P., Production of few-layer graphene structures in different modes of electrochemical exfoliation of graphite by voltage pulses, Instrum. Sci. Technol., 2019, vol. 47, p. 535.
- Кривенко, А.Г., Манжос, Р.А., Кочергин, В.К., Малков, Г.В., Тарасов, А.Е., Пивень, Н.П. Плазмоэлектрохимический синтез малослойных графеновых структур для модификации эпоксидного связующего. Химия высоких энергий. 2019. Т. 53. С. 243. [Krivenko, A.G., Manzhos, R.A., Kochergin, V.K., Malkov, G.V., Tarasov, A.E., and Piven, N.P., Plasma electrochemical synthesis of few-layer graphene structures for modification of epoxy binder, High Energy Chem., 2019, vol. 53, p. 254.]
- Belkin, P.N. and Kusmanov, S.A., Plasma electrolytic hardening of steels: Review, Surf. Eng. Appl. Electrochem., 2016, vol. 52, p. 531.
- Wang, Y., He, M., Ma, S., Yang, C., Yu, M., Yin, G., and Zuo, P., Low-temperature solution synthesis of black phosphorus from red phosphorus: Crystallization mechanism and lithium ion battery applications, J. Phys. Chem. Lett., 2020, vol. 11, p. 2708.
- Wang, R., Zhang, M., Ge, L., Zhang, B., Zhou, J., Liu, S., and Jiao, T., Facile preparation of black phosphorus-based rGO-BP-Pd composite hydrogels with enhanced catalytic reduction of 4-nitrophenol performances for wastewater treatment, J. Mol. Liq., 2020, vol. 310, p. 113083.
- Vasiliev, V.P., Kotkin, A.S., Kochergin, V.K., Manzhos, R.A., and Krivenko, A.G., Oxygen reduction reaction at few-layer graphene structures obtained via plasma-assisted electrochemical exfoliation of graphite, J. Electroanal. Chem., 2019, vol. 851, p. 113440.
- Liang, T., Liu, Y., Zhang, P., Liu, C., Ma, F., Yan, Q., and Dai, Z., Interface and valence modulation on scalable phosphorene/phosphide lamellae for efficient water electrolysis, J. Chem. Eng., 2020, vol. 395, p. 124976.
Supplementary files





