Supercapacitors for extreme temperatures. Review
- Authors: Volfkovich Y.M.1
-
Affiliations:
- A.N. Frumkin Institute of Physical Chemistry and Electrochemistry Russian Academy of Sciences
- Issue: Vol 60, No 2 (2024)
- Pages: 95-123
- Section: Articles
- URL: https://bakhtiniada.ru/0424-8570/article/view/263795
- DOI: https://doi.org/10.31857/S0424857024020019
- EDN: https://elibrary.ru/RFRJFE
- ID: 263795
Cite item
Full Text
Abstract
This review considers the literature on electrochemical supercapacitors (ECSC) operating at extreme temperatures from –80°C to +220°C, which is very important for practice. The influence of the following methods and factors on the efficiency of the ECSC at extreme temperatures is considered: the use of ionic liquids as an electrolyte: the use of a modified gel electrolyte, a combined electrolyte, aqueous electrolytes with a low freezing point; the use of acetonitrile as an electrolyte solvent; the use of clay as a solid electrolyte; application of solid-state EСSC; application of electrodes with an optimized porous structure; the use of graphene and pseudocapacitive electrodes; the use of solar cells; use of combined techniques to create supercapacitors for extreme temperatures. Undoubtedly. This review will be of great interest both for fundamental electrochemistry and for practice.
Full Text
ВВЕДЕНИЕ
Согласно общепринятому определению, впервые сделанному Конвеем, электрохимическими суперконденсаторами (ЭХСК) называются электрохимические устройства, в которых протекают квазиобратимые электрохимические зарядно-разрядные процессы и форма гальваностатических зарядных и разрядных кривых которых близка к линейной, т.е. близка к форме соответствующих зависимостей для обычных электростатических конденсаторов [1]. ЭХСК подразделяются на двойнослойные конденсаторы (ДСК), псевдоконденсаторы (ПсК) [2–14] и гибридные суперконденсаторы (ГСК) [15–22]. Для ДСК в определение Конвея нужно внести коррекцию: вместо “квазиобратимых” процессов нужно иметь ввиду “обратимых” (быстрых ) процессов. ДСК, основанные на заряжении двойного электрического слоя (ДЭС) электродов, содержат электроды на основе высокодисперсных углеродных материалов (ВДУМ) с высокой площадью удельной поверхности (УП) ~500–2500 м2/г. К ВДУМ относятся активированные угли (АУ), карбидные угли (это ВДУМ, полученные из карбидов), аэрогели, ксерогели, сажи, нанотрубки, нановолокна, графены и др. [23–42]. В электродах ПсК протекают быстрые квазиобратимые электрохимические реакции. В них в качестве основы электродов используются электронопроводящие полимеры (ЭПП) (полианилин, политиофен, полипиррол и др.) или некоторые оксиды и сульфиды металлов, обладающие несколькими степенями окисления (RuOх, MnOx, МоSx и др.).
Преимуществами ЭХСК по сравнению с аккумуляторами являются: (1) Более высокие мощностные характеристики. (2) Более высокий циклический ресурс до сотен тысяч и миллиона циклов для высокомощных ЭХСК. (3) В принципе, у ДСК КПД по энергии (отношение энергии разряда к энергии заряда) может приближаться к 100%, поскольку, в отличие от аккумуляторов, у ДСК нет потерь энергии, обусловленных поляризацией электродных реакций. Величина КПД по энергии для ДСК ограничивается только омическими потерями энергии. Очень высокая величина КПД по энергии дает возможность применения ЭХСК в различных устройствах для аккумулирования, хранения и выдачи энергии электрических сетей и для сглаживания пиковых нагрузок электрических сетей [43–46]. (4) Разные виды ЭХСК могут заряжаться и разряжаться в течение очень широкого диапазона времен от долей секунды до часов. (5) Многие виды ЭХСК обладают еще одним преимуществом – экологическим. Дело в том, что миллиарды свинцовых, щелочных и литиевых аккумуляторов после выработки своего ресурса оказываются в мусоре или в земле. Таким образом, туда попадают такие токсичные элементы, как свинец, никель, литий, фтор, сера и др. В противоположность этому, ЭХСК с углеродными электродами и с водными электролитами являются вполне экологическими, т.е. практически безвредными. Недостаток ЭХСК по сравнению с аккумуляторами – это меньшая удельная энергия. ЭХСК подразделяются на два основных типа – мощностные (или импульсные), обладающие высокой удельной мощностью, и энергетические, обладающие высокой удельной энергией. Соответственно для каждого типа ЭХСК существуют свои области применения. Причем, области применения ЭХСК в отличие от аккумуляторов – это такие, где требуется намного большая удельная мощность, намного большая циклируемость или большая величина КПД по энергии. ЭХСК применяются в электромобилях, автомобилях, тепловозах – для стартерного запуска двигателей внутреннего сгорания, и в различных электронных устройствах. В электромобилях ЭХСК может применяться в комбинации с топливными элементами – для форсажных режимов. Кроме перечисленных выше преимуществ суперконденсаторов, нужно подчеркнуть еще одно очень важное преимущество: ЭХСК, в основном ДСК, надежно работают в условиях экстремальных температур, поскольку они не лимитируются кинетикой электрохимических реакций, а управляются законами электрофизики. Вот этому преимуществу суперконденсаторов и посвящен настоящий обзор. Кроме ДСК, в обзоре рассматриваются и другие типы ЭХСК, работающие при экстремальных температурах. Следует отметить, что статей и особенно обзоров на эту важную для практики тему в литературе очень мало.
Тем не менее в современной научной литературе имеются публикации, в которых описываются ЭХСК, которые могут работать при экстремальных температурах от –80 до + 220 °С, что очень важно для практики. Одни из суперконденсаторов могут работать при экстремально низких температурах, другие при экстремально высоких температурах, а третьи могут функционировать в очень широком диапазоне от очень низких до очень высоких температур.
Ниже перечислены основные особенности ЭХСК, которые позволяют им работать при экстремальных температурах. При разработке таких ЭХСК следует учитывать влияние экстремальных температур на замерзание, летучесть или воспламеняемость используемых электролитов, а также саморазряд суперкондесаторов.
1. Использование в качестве электролита ионных жидкостей
Среди неводных электролитов особое место занимают так называемые ионные жидкости (ИЖ), представляющие собой органические соли, жидкие при комнатной температуре. Они состоят из большого органического катиона и существенно меньшего по размерам неорганического или органического аниона. По сравнению с обычными электролитами ИЖ не содержат растворитель. Повышенное внимание к ионным жидкостям обусловлено наличием у них таких свойств, как широкий интервал жидкого состояния (> 300 оС); некоторые ионные жидкости характеризуются относительно высокой ионной проводимостью и широким окном потенциалов, негорючестью, способностью функционировать в высокотемпературных и низкотемпературных режимах, которые не достижимы для других жидких электролитов, нелетучестью (очень низкое давление паров); и взрывобезопасностью; большинство ИЖ не токсичны. В ряде работ исследовали применение ионных жидкостей в качестве электролитов в ЭХСК [45–52]. Наиболее широко используемыми в ЭХСК являются ИЖ в виде солей имидазолия и пирролидина, которые обладают наиболее высокой электропроводностью, в то время как окно электрохимической стабильности (ОЭС) достигает даже 5 В. В [45] были разработаны квазитвердотельные углеродные суперконденсаторы с ИЖ (гидросульфат IL-1-этил-3-метилимидазолия (EMIHSO4) на основе полимерной смеси поливинилового спирта и поливинилпирролидона и были получены большая удельная емкость 485 Ф/г и высокая удельная энергия 24.3 Вт ч/кг с длительной циклической работой до 5000 циклов при окне ОЭС 1.6 В. Для получения большой емкости ЭХСК с ИЖ должны иметь достаточно большой объем мезопор с размерами, большими, чем размер крупных катионов ИЖ. Однако, с другой стороны, емкость ДСК пропорциональна площади удельной поверхности (УП). Следовательно, удельная поверхность углеродных пористых электродов должна определиться именно мезопорами, а не микропорами. В [48] были разработаны ЭХСК с АУ-электродами и с электролитами на основе ИЖ; АУ-электроды на основе биомассы обладали сверхвысоким объем мезопор 1.85 см3/г и УП 1771 м2/г. Была получена емкость ДЭС до 188 Ф/г при плотности тока 1 А/г, высокая удельная энергия 80 Вт ч/кг и удельная мощность 870 Вт/кг с длительной циклической работой до 5000 циклов при ОЭС 2.7 В. В [50] была развита теория для описания влияния небольшого количества воды, растворенной в ионной жидкости вблизи поверхности электрода.
В работе [53] было показано, что электролиты на основе ионной жидкости (ИЖ), привлекательны для применения при экстремальных температурах в ЭХСК. В частности, смесь ИЖ-бутиронитрил (BuCN) обеспечивает достаточно высокую емкость (около 125 Ф/г при 500 мА/г) и превосходные характеристики при высоких токах. Важно отметить, что электролит ИЖ-BuCN может безопасно работать при температуре от −20 до + 80 °C, что преодолевает ограничения по высоким температурам современных коммерческих ЭХСК. Дополнительным преимуществом смесей ИЖ является то, что более высокая концентрация ионов в смесях ИЖ позволяет достичь большей удельной емкости. Проводимость ионной жидкости бис(трифторметансульфонил)имида N-бутил-н-метилпирролидиния (PYR14TFSI) можно увеличить с 2.48 мСм/см до 45 мСм/см путем смешивания с соответствующим растворителем. Важно отметить, что эти смеси растворителей также сохраняют широкий диапазон электрохимических напряжений 4–6 В.
В работе [54] предлагается новая смесь эвтектических ионных жидкостей на основе бис(трифторметилсульфонил)имида 1-этил-3-метилимидазолия и бис(трифторметилсульфонил)имида 1-пропил-3-метилпирролидиния для использования в качестве электролита в суперконденсаторах с широким температурным диапазоном. Электролит показал превосходные термические свойства с точки зрения высокотемпературного разложения (440 °C), очень низкой температуры плавления (отсутствие фазового перехода до –70 °C), а также широкий электрохимический диапазон (4.4 В относительно Pt). Соответственно, симметричное суперконденсаторное устройство типа “таблетка” было выполнено с использованием пористых электродов из вспененного никеля в присутствии соответствующей смеси для расширенного диапазона рабочих температур от –70 до +80 °C. Электрохимические характеристики устройства характеризовались большой величиной ОЭС 3.5 В, сохраняя высокую емкость двойного электрического слоя во всем диапазоне. Кроме того, значения поверхностной емкости от 5 мкФ/см2 (–70 °C) до 100 мкФ/см2 (80 °C) были получены при высокой скорости сканирования 20 В/с, что свидетельствует о быстром электрохимическом отклике даже при таких экстремальных температурах с отличной циклической стабильностью.
Многочисленные приложения требуют устройств, способных выдерживать экстремальные температуры, но часто давление не учитывается. В работе [55] было проведено исследование ЭХСК от комнатной температуры до +170 °C. Суперконденсатор был изготовлен с использованием электродов на основе АУ и ИЖ [PYR14] [TFSI] в качестве электролита. Все устройство было запечатано в вакуумный пакет и протестировано на специализированном испытательном стенде с высокой температурой и высоким давлением (HTHP). Устройство показало типичное поведение ДСК во всей области HTHP с емкостным откликом в диапазоне от низкого значения 46.4 мФ/см2 при комнатной температуры до 84.6 мФ/см2 при +175 °C с эталонным значением 58.8 мФ/см2. В этих условиях номинальные значения энергии составляли 92.8 мВтч/см2 и 169.1 мВтч/см2 соответственно.
В электродах микросуперконденсатора на основе луковичного углерода в форме луковицы (OLC), полученного методом электрофоретического осаждения (EPD), был использован электролит в виде эвтектической смеси ионных жидкостей; в результате чего был получен микросуперконденсатор, способный работать в диапазоне от –50 до +80 °C [56]. Это устройство было электрохимически охарактеризовано циклической вольтамперометрией и спектроскопией электрохимического импеданса при различных скоростях сканирования и различных температурах. При 20 °C была получена емкость 1.1 мФ/см2 на площадь основания устройства при 200 мВ/с в пределах 3.7 В; удельная энергия составила 15 мДж/см2 и удельная мощность 240 мВт/cм2. При −50 °C поддерживалось 76% емкости при скорости сканирования 10 мВ/с в пределах 3.7 В. За счет использования ИЖ этот микросуперконденсатор потенциально можно использовать в портативных электронных устройствах, которые необходимы для работы в условиях больших перепадов температур.
Для космических полетов и полярных экспедиций требуется использование новых технологий накопления энергии с отличной устойчивостью к экстремально низким температурам и способностью эффективно работать в течение продолжительных периодов времени. В этом контексте существует острая необходимость в изучении новых подходов и концепций, направленных на решение важнейших связанных проблем, получение понимания новых электрохимических реакций и явлений в различных ситуациях. В статье [57] представлен обзор того, как материалы электролитов и электродов в ЭХСК работают при экстремально низких температурах. Представлены критические проблемы, связанные с проектированием таких ЭХСК, и основные достижения, позволившие преодолевать эти проблемы. Кроме того, обсуждается влияние различных электролитов (например, водных, органических и ионных жидкостей) на доступность ионов, межфазный перенос заряда и кинетику транспорта в ЭХСК в холодных условиях.
В работе [58] сообщается об изготовлении и электрохимических характеристиках ЭХСК нового типа, состоящего из лазерно-индуцированных графеновых (ЛИГ) электродов, полученных путем лазерной обработки полиимидной фольги и ионной жидкости бис(трифторметансульфонил)имида 1-бутил-1-метилпирролидиния в качестве электролита. Эта комбинация позволяет разработать гибкий микросуперконденсатор, пригодный для применения в суровых условиях. Было обнаружено, что условия работы лазера сильно влияют на поверхностную емкость, позволяя достичь около 4 мФ/см2 при измерениях гальваностатическим методом заряда-разряда при 10 мкА/см2, с максимальным диапазоном рабочего напряжения 3 В. Такие ЭХСК работают до +100 оС. На рис. 1 приведена диаграмма Рагона для температур от +40 до +100 оС.
Рис. 1. Диаграмма Рагона для ЭХСК с ЛИГ электродами и ИЖ для температур +40, +60, +80 и +100 оС при токе 100 мкА/cм2 [58].
Из этого рисунка видно, что максимальная удельная энергия достигается при +100 оС.
ЭХСК для трех различных ионных жидкостей (1-пропил-1-метилпирролидиний-бис (фторсульфонил)имид – Pyr13FSI, 1-бутил-1-метилпирролидиний-бис(трифторметан-сульфонил)имид – Pyr14TFSI и 1-этил-3-метилимидазолий) – бис(трифторметансульфонил)имид – EMITF SI) были исследованы при температурах от –50 до +100 °С и сравнивались с бинарными смесями с γ-бутиролактоном (ГБЛ) [59]. Бумага Buckypaper, состоящая из одностенных углеродных нанотрубок (ОСУНТ), использовалась для изготовления и изучения суперконденсаторов в форме монеты. ЭХСК, использовавший Pyr13FSI/GBL, продемонстрировал быструю потерю емкости уже после тысячи циклов при 100 °C. Напротив, EMITFSI/GBL и Pyr14TFSI/GBL оказались очень перспективными для работы при высокой температуре (потеря емкости после 10 000 циклов составляла только 9% и 10%). Для этих двух смесей также проводились более жесткие испытания на старение при +100 и –50 °C. Потери емкости 23% и 15% были зарегистрированы после 500 ч испытаний при 100°C для EMITFSI/GBL и Pyr14TFSI/GBL соответственно. Емкость ЭХСК на основе Pyr14TFSI/GBL упала на 20% после 200 ч выдержки при температуре –50 °C, а ЭХСК с EMITFSI/GBL продемонстрировал замечательную стабильность во время выдержки при –50 °C с потерей емкости на 6.6% через 500 ч. Эти результаты показали, что комбинация EMITFSI/GBL работает должным образом в широком диапазоне температур [от –50 до +100 °C], и таким образом доказали, что предложенный подход очень перспективен для разработки высокопроизводительных суперконденсаторов, специально адаптированных для экстремальных условий.
Ионная жидкость, включенная в квазитвердый электролит (ILQSE), в работе [60] была приготовлена с использованием тетрафторбората 1-этил-3-метилимидазолия (EMIBF4) и диметакрилата полиэтиленгликоля (PEGDMA) для ЭХСК высокотемпературного применения. Приготовленный ILQSE продемонстрировал термическую стабильность до +150 °C, а суперконденсаторы имели удельную емкость 134 Ф/г.
Хотя гибкие полностью твердотельные суперконденсаторы (f-SSC) привлекают большое внимание как перспективные гибкие накопители энергии, большинство из них не могут работать при высоких температурах из-за летучести или воспламеняемости используемых в настоящее время водных и органических электролитов. В работе [61] сообщается об асимметричном ЭХСК с ИЖ на основе геля, обладающего очень высокими термостойкими характеристиками и гибкостью. С этой целью недорогой оксид γ-FeOOH сначала осаждался электроосаждением на углеродную ткань, а псевдоемкостное поведение с типичной ИЖ было исследовано с помощью электрохимических микровесов на кристалле кварца (EQCM). Результаты показали, что псевдоемкость связана с редокс-процессом с участием катионов [EMIM]+, и сопровождается внедрением этих катионов, контролируемым диффузией. Используя преимущество очень высокой псевдоемкости γ-FeOOH, а также отличные характеристики гелевых ИЖ-электролитов (термостойкость, негорючесть, химическая инертность и широкий диапазон потенциалов), был изготовлен усовершенствованный высокотемпературный ЭХСК. В качестве основы анода был использован АУ, легированный азотом, в качестве основы катода был использован нелегированный АУ. Такой ЭХСК показал очень высокие электрохимические характеристики при повышенных температурах, достигавшие максимальной объемной плотности энергии 1.44 мВт ч/см3 (на весь объем устройства) при +200 °C. Кроме того, такой ЭХСК способен сохранять стабильную способность к накоплению энергии во время процесса гибки даже при 180 °C, выдерживая такую самую высокую температуру при испытаниях на гибкость.
2. Модифицированный гелевый электролит
Гидрогелевые электролиты привлекают значительное внимание в области гибких суперконденсаторов из-за их внутренней безопасности, высокой гибкости и превосходной ионной проводимости. Однако богатая водой структура традиционных гидрогелевых электролитов неизбежно приводит к их замерзанию при отрицательных температурах, что, таким образом ограничивает применение гибких суперконденсаторов при экстремально низких температурах. В [62] органогидрогелевый электролит был успешно изготовлен путем вытеснения части молекул воды из гидрогеля гидроксипропилцеллюлоза/поли(виниловый спирт) (HPC/PVA) раствором смеси LiClO4 вода/глицерин. Введение глицерина и неорганической соли в матрицу гидрогеля эффективно предотвращает льдообразование воды при отрицательных температурах. Гибкий ЭХСК, содержащий оптимальный антифризный органо-гидрогелевый электролит, продемонстрировал очень высокую механическую и электрохимическую стабильность при отрицательных температурах. Даже если температура упадет до –40 °C, суперконденсатор также может обеспечить удельную емкость 143.6 Ф/г (73.75% от емкости при +20 °C) с кулоновской эффективностью, приближающейся к ~ 100%. Кроме того, электрохимические характеристики ЭХСК также могут хорошо поддерживаться при различных условиях изгиба. Считается, что эта работа сыграет большую роль в разработке незамерзающих гелевых электролитов для гибких накопителей энергии, работающих в экстремально холодных условиях.
Гибкие волокнистые суперконденсаторы (FSS) являются многообещающими кандидатами на хранение энергии для носимой электроники. Тем не менее, большинство FSS работают при комнатной температуре и используют токсичный легковоспламеняющийся органический электролит или концентрированные кислоты или основания, которые могут представлять угрозу безопасности, особенно для носимого текстиля, непосредственно прилипающего к коже человека при суровых температурах окружающей среды. В работе [63] сообщается о новом типе водных симметричных FSS с высокой безопасностью и рекордно высокой удельной энергией в широком диапазоне рабочих температур от −60 °C (14.2 мкВтч/см2) до +75 °C (22.9 мкВтч/см2) с водным гелеобразным электролитом на основе LiCl-ПВС и нанокристаллическом волокнистом электродом типа ядро-оболочка. Изготовленные FSS продемонстрировали высокую гибкость, высокую удельную/объемную плотность энергии и стабильный срок службы при различных рабочих температурах, что указывает на их потенциальное применение в носимой электронике, работающей в любых климатических условиях.
Из-за возросшего спроса на носимые устройства были проведены обширные исследования гибких устройств для хранения энергии (например, аккумуляторов и суперконденсаторов) и датчиков мониторинга биосигналов. Для практического применения носимых устройств требуется стабильная работа вне зависимости от температуры окружающей среды. В [64] сообщается о термостойком гибком ЭХСК на основе синтезированного нового органогидрогелевого электролита, предназначенного для питания встроенного датчика деформации для мониторинга биосигналов. Данный ЭХСК показал высокую гравиметрическую емкость 123.4 Ф/г, 147.0 Ф/г и 156.2 Ф/г при температурах –20, +25 и +80 °C соответственно. После трех повторяющихся циклов изменения температуры от −20 до +80 °C начальная емкость почти полностью восстанавливалась. Кроме того, после 1000 циклов деформации изгиба емкость оставалась почти неизменной, что подтверждает гибкость устройства. Датчик деформации, изготовленный из того же органогидрогеля, продемонстрировал изменение сопротивления при деформации растяжением с коэффициентом чувствительности 1.77, 1.61 и 1.50 при +25, –20 и +80 °C. Благодаря вертикальной интеграции суперконденсатора и датчика деформации различные биосигналы, в том числе сгибание пальцев и глотание, успешно обнаруживаются с использованием накопленной энергии суперконденсатора.
Твердотельные суперконденсаторы имеют преимущества отсутствия утечек и гибкости, но обычно имеют низкую плотность энергии при низкой температуре. Это в значительной степени связано с существенно сниженной ионной проводимостью, а также с относительно низким окном напряжения гелевых электролитов. В [65] был разработан органогелевый электролит, устойчивый к низким температурам, путем систематической настройки ионной проводимости, температуры плавления и электрохимической стабильности растворителей с помощью ацетонитрила (AN), метилформиата (MF) и пропиленкарбоната (PC) соответственно. Настроенный гелевый электролит полимерной основы поли(винилиденфторид-гексафторпропилен) (ПВДФ-ГФП) с солью ионного электролита тетрафторборат 1-этил-3-метилимидазолия (EMIMBF4) показал ионную проводимость 2.95 мСм/см, скорость механической деформации 350% и окно напряжения 0–4 В при низкой температуре −60 °C. Пакетная ячейка твердотельного ЭХСК, использовавшая АУ в качестве электродной основы, показала сохранение емкости на уровне 98.5% при температуре –60 °C по отношению к емкости при комнатной температуре, затухание емкости на 3.9% после 10 000 циклов заряда/разряда и очень высокую плотность энергии батареи 30.8 Втч/кг, что как минимум в три раза выше, чем у современных твердотельных ЭХСК.
Микросуперконденсаторы (МСК) считаются высококонкурентными источниками питания для миниатюрной электроники. Однако узкий диапазон напряжений и плохие антифризные свойства МСК в обычных водных электролитах приводят к низкой плотности энергии и ограниченной адаптации к окружающей среде. В работе [66] сообщается о создании низкотемпературных и высокоплотных МСК на основе незамерзающих гибридных гелевых электролитов (ГГЭ) путем введения добавок этиленгликоля (ЭГ) в водный электролит LiCl. Поскольку ЭГ частично разрушает сеть водородных связей между молекулами воды, ГГЭ демонстрирует максимальное ОЭС 2.7 В и превосходные антифризные свойства с температурой стеклования –62.8 °C. Кроме того, оптимизированные МСК с использованием микроэлектродов из АУ обладают существенной объемной емкостью 28.9 Ф/см3 и плотностью энергии 10.3 мВтч/см3 при напряжении 1.6 В, что в 2.6 раза выше, чем МСК, испытанные при 1.2 В. Важно отметить, что разработанные МСК демонстрируют сохранение емкости 68.3% даже при –30 °C по сравнению со значением при +25 °C и сверхдлительную циклируемость с 85.7% от начальной емкости после 15000 циклов, что указывает на исключительные низкотемпературные характеристики. Кроме того, эти устройства показали хорошую гибкость и модульную интеграцию. Таким образом, эта работа представляет собой общую стратегию реализации гибких, безопасных и незамерзающих микромасштабных источников питания, обладающих большим потенциалом для применения в микроэлектронике при отрицательных температурах.
Разработка гидрогелевых электролитов, сочетающих в себе повышенную ионную проводимость, отличный контакт между электролитом и электродом и высокую электрохимическую стабильность, представляет собой основное требование к гибким электронным устройствам для криогенных применений, но в настоящее время все еще является серьезной проблемой. В работе [67], использовавшей антифризные белки (АФБ), была разработана простая стратегия для стабилизации воды на молекулярном уровне, чтобы предотвратить замерзание, сохраняя при этом другие важные свойства гидрогелей при отрицательных температурах
Обладая уникальной структурой, имитирующей АФБ, гидрогель полиакриловая кислота – диметилсульфоксид, полученный быстрой однореакторной фотополимеризацией, обладает превосходной гибкостью, большой ионной проводимостью и прочной межфазной адгезией практически со всеми типами поверхностей при температуре до –40 °С. Собранный ЭХСК обеспечивал достаточно высокую удельную емкость 73 Ф/г при –40 °C (~70% емкости при +20 °C), сохранение емкости 84.5% после 5000 циклов заряда-разряда при –40 °C и 85.8% сохранения емкости после 1000 циклов при предельном угле изгиба 180° и –40 °C, что свидетельствует о высокой эффективности/стабильности в отношении циклического заряда-разряда и деформации конструкции в холодном климате. Вероятно, эта работа сыграет важную роль в разработке незамерзающих гидрогелевых электролитов для надежных гибких электронных устройств, работающих в экстремально холодных условиях.
Проводящие гидрогели (ГГ) являются идеальными электролитными материалами для изготовления гибких суперконденсаторов (ГСК) благодаря их высоким электрохимическим и механическим свойствам и способности к восстановлению после деформации. Тем не менее, большинство описанных ГГ получают химическим сшиванием синтетических полимеров и, таким образом, обычно они имеют такие недостатки, как плохая способность к самовосстановлению и неадаптируемость к температурам окружающей среды, что сильно ограничивает их применение. Чтобы преодолеть эти проблемы, в работе [68] был сконструирован проводящий ГГ с двойной сеткой альгинат натрия-бура/желатин путем динамического сшивания между альгинатом натрия (АН) и бурой через боратные и водородные связи между аминокислотами в желатине и АН. ГГ продемонстрировал отличное удлинение на 305.7% и быстрое самовосстановление за 60 с. Кроме того, в ГГ был введен материал с фазовым переходом (PCM), Na2SO4·10H2O, который в сочетании с эффектом зародышеобразования буры повысил ионную проводимость и температурную адаптируемость ГГ. Гибкий суперконденсатор, собранный с использованием полученного ГГ в качестве электролита, показал высокую удельную емкость 185.3 Ф/г при плотности тока 0.25 А/г и хорошую стабильность с сохранением 84% емкости после 10 000 циклов и отличную термостойкость в диапазоне температур от −20 до +60 °C. Этот ГГ демонстрирует большой потенциал применения в качестве электролита для ГСК, и данный метод изготовления потенциально может быть расширен до изготовления самовосстанавливающихся ГСК с хорошей температурной адаптацией.
Для гибких суперконденсаторов остается сложной задачей одновременное поддержание высоких электрохимических характеристик в условиях высоких сжимающих напряжений и отрицательных температур. В [69] был изготовлен ЭХСК с высокой сжимаемостью и превосходной устойчивостью к низким температурам, содержащий разработанный двойной химически сшитый гидрогелевый электролит – поливиниловый спирт (ПВС)(гидрогель DN + EG) путем включения бинарного растворителя EG/H2O. Синтезированный гидрогель DN + EG продемонстрировал значительное улучшение напряжения сжатия по сравнению с обычным химически сшитым гидрогелем (в 25 раз) и гидрогелем DN + EG (5.3 раза), а также продемонстрировал высокое напряжение сжатия (15.5 МПа), отличные свойства восстановления формы и высокую ионную проводимость (0.48 См/м) даже при –40 °C. Примечательно, что изготовленные суперконденсаторы демонстрируют высокое сохранение емкости при сильном сжимающем напряжении (почти 100% сохранение) или после четырех тысяч циклов изгиба на 180° (86.5%-ное сохранение) при –30 °C, показывая выдающиеся свойства сопротивления сжатию при отрицательных температурах. Считается, что эта работа прокладывает новый путь для разработки высокопроизводительных устойчивых к сжатию накопителей энергии, совместимых с экстремально холодными условиями.
Полимерный гидрогелевый электролит считается идеальным электролитом для гибких ЭХСК из-за его высокой ионной проводимости и выдающихся механических свойств. Однако, из-за отсутствия возобновляемых свойств и экологической устойчивости использование гидрогелевого электролита при разработке ЭХСК сталкивается с проблемами для суровых климатических условий. В этом случае, используя карбоксилированный хитозан в качестве матричного материала, акриламид в качестве мономера и глицерин в качестве увлажнителя, можно изготовить гидрогелевую электролитную мембрану нового типа, которая будет соответствовать стандартам возобновляемости и устойчивости к окружающей среде [70]. Полученная гидрогелевая электролитная мембрана имела ионную проводимость 2.59·10–2 См/см, прочность на разрыв 0.8 МПа и водоудержание 55%. Суперконденсатор в сборке с мембраной из гидрогелевого электролита эффективно работал в широком диапазоне температур от −11 до +70 °C. ЭХСК также показал стабильные электрохимические характеристики по сравнению с устройствами на основе первичных гидрогелевых электролитных мембран. Таким образом, эта работа дает новый взгляд на изучение устройств на основе гидрогелевого электролита с благоприятной экологической стабильностью и возобновляемостью.
При разработке суперконденсаторов все больший интерес вызывают многофункциональные гидрогелевые электролиты, обладающие гибкостью, прочной адгезией и устойчивостью к низким температурам. Лигнин является наиболее распространенным возобновляемым ароматическим биополимером в природе, однако он не привлек должного внимания для гидрогелевых электролитов из-за его нерастворимости и отсутствия гибкости. В [71] гидрогель полностью на биологической основе был создан из ковалентно сшитого лигнина (Lig) с взаимопроникающим желатином в щелочных растворах. Разработаны многофункциональные гидрогелевые электролиты с высокой ионной проводимостью 0.06 См/см, высокой адгезивностью и антифризными свойствами. Оптимизированный гибкий ЭХСК, сконструированный на основе гидрогелевого электролита Lig/желатина, показал высокую удельную емкость 145.14 Ф/г и высокую плотность энергии 4.86 Вт ч/кг при токе 0.5 А/г при комнатной температуре. Он может сохранять сравнимую удельную емкость 110.6 Ф/г при 0.5 А/г даже при температуре –40 °C. Многофункциональный гидрогель на основе лигнина обладает многообещающим потенциалом для суперконденсаторов, применяющихся в широком диапазоне условий окружающей среды.
Органогелевый электролит с противоударными свойствами и устойчивостью к высоким температурам был разработан путем растворения поливинилового спирта в этиленгликоле и смешивания с жидкостью-загустителем (STF) для изготовления ЭХСК, армированного STF [72]. Благодаря водородной связи между ЭГ и ПВС и термодинамической стабильности ЭГ, ЭХСК обладает хорошей устойчивостью к окружающей среде и может выдерживать высокую температуру +80 °C с высоким ОЭС 1.7 В. Кроме того, емкость ЭХСК увеличивалась на 90% за счет лучшей ионной проводимости органогеля при +80 °С. Что еще более важно, данный ЭХСК в соответствии с конструкцией может рассеивать и снижать силу удара молотка с 570 Н до 81 Н, демонстрируя выдающиеся противоударные свойства. Таким образом, эта работа открывает новые возможности для разработки функциональных ЭХСК в качестве новых источников питания в носимой электронике и в области безопасности.
ЭХСК становятся эффективными устройствами для хранения энергии, но по-прежнему имеют ограниченную плотность энергии по сравнению с аккумуляторами. Электролиты считаются ключевым фактором, определяющим характеристики ЭХСК. Однако ни один из традиционных электролитов не может в полной мере удовлетворить растущие требования ЭХСК с точки зрения высокой ионной проводимости, превосходной стабильности, широкого диапазона напряжений и рабочих температур, а также заботы об окружающей среде. С этой целью в последние годы появились гибридные электролиты, которые, как считается, могут устранить эти недостатки. В обзоре [73] рассматриваются современные типы гибридных электролитов для ЭХСК, включая комбинацию водных и органических, водных и гелевых полимерных, ионных жидкостей и гелевых полимерных гибридных электролитов. Влияние различных гибридных систем на производительность ЭХСК и лежащие в их основе механизмы находятся в центре внимания обзора, а также обсуждаются перспективы и возможные направления, чтобы обеспечить дальнейшее понимание будущего развития этой области.
Гибкие суперконденсаторы на основе гидрогеля обладают высокой ионной проводимостью и превосходной удельной мощностью, но наличие воды ограничивает их применение в ситуациях с экстремальными температурами. В работе [74] гибкий ЭХСК для широкого диапазона температур, который может работать при температурах от –20 до +80 °C, был изготовлен с органогидрогелевым электролитом и комбинированным электродом (также известным как композит электрод /электролит). При введении высокогидратируемого LiCl в бинарный растворитель этиленгликоль (EG)/H2O благодаря ионному гидратационному эффекту LiCl и взаимодействию водородных связей между молекулами EG и H2O, органогидрогелевый электролит продемонстрировал хорошую морозостойкость (температура замерзания –113.9 °C), способность против высыхания (78.2% сохранения массы после вакуумной сушки при 60 °C в течение 12 ч) и превосходную ионную проводимость как при комнатной температуре (13.9 мСм/см), так и при низкой температуре (6.5 мСм/см через 31 день при –20 °С). Используя органо-гидрогелевый электролит в качестве связующего, приготовленный композит электрод/электролит эффективно снижал импеданс поверхности раздела и увеличивал удельную емкость благодаря непрерывным каналам переноса ионов и увеличенной площади контакта поверхности раздела. Изготовленный таким образом ЭХСК обеспечивал удельную емкость 149 Ф/г, удельную мощность 160 Вт/кг и плотность энергии 13.24 Втч/кг при плотности тока 0.2 А/г. Начальная емкость может сохранять 100% после 2000 циклов при 1.0 А/г. Что еще более важно, удельная емкость может хорошо поддерживаться даже при –20 и +80 °C. Обладая другими преимуществами, такими, как превосходные механические свойства, данный суперконденсатор является идеальным источником питания, подходящим для различных условий работы.
Гибридные ЭХСК продемонстрировали большой потенциал для удовлетворения потребностей будущих разнообразных приложений, таких как электромобили и портативная/носимая электроника. В частности, водные гибридные суперконденсаторы с ионами цинка (ZHSC) привлекли большое внимание из-за их низкой стоимости, высокой плотности энергии и экологичности. Тем не менее, в типичных ZHSC используется металлический цинковый анод и обычный жидкий электролит, что приводит к проблемам с дендритами, ограниченной рабочей температурой и недостаточной гибкостью устройства. В [75] был разработан новый гибкий Zn-ion гибридный суперконденсатор (FZHSC) с использованием анода из активированного угля (AC), катода δ-MnO2 и инновационного гелевого электролита на основе поливинилового спирта. В этой конструкции избегают тяжелого Zn-анода и проблем с его дендритами, а используют многослойный электрод с большим межслоевым расстоянием. Кроме того, изготавливаются гибкие электроды и они интегрируются с незамерзающим, растяжимым и сжимаемым гидрогелевым электролитом, что достигается за счет одновременного использования добавки глицерина и метода замораживания/оттаивания для регулирования водородной связи и микроструктуры. Полученный FZHSC продемонстрировал хорошую скорость, высокую плотность энергии (47.86 Вт ч/ кг; 3.94 мВтч/см3), высокую удельную мощность (5.81 кВт/кг; 480 мВт/ см3) и превосходную циклическую стабильность (~91% сохранения емкости после 30 000 циклов). Кроме того, данный FZHSC показал выдающуюся гибкость с практически неизменной емкостью даже после различных непрерывных деформаций формы. Гидрогелевый электролит по-прежнему сохраняет высокую ионную проводимость при сверхнизких температурах (≤ –30 °C), что обеспечивает хорошую цикличность FZHSC и надежное питание электронного таймера во всем климатическом диапазоне температур от –30 до +80 °C.
Всетемпературные гибкие суперконденсаторы ранее не были реализованы из-за проблем, связанных с обычными гидрогелевыми электролитами. Большое количество воды в гидрогелевых электролитах неизбежно замерзает и ограничивает перенос ионов при отрицательных температурах, а их структуры нестабильны при высоких температурах. В работе [76] сообщается о всетемпературных гибких ЭХСК на основе незамерзающего и термостойкого гидрогелевого электролита монтмориллонит/поли(виниловый спирт) (ММТ/ПВС). Материалы ММТ повышают термическую стабильность гидрогеля, а их ламеллярные структуры повышают ионную проводимость за счет формирования ориентированных проводящих путей. Водный электролит с температурой замерзания ниже –50 °C используется путем простого введения диметилсульфоксида. Электролит обладает высокой ионной проводимостью 0.17·10–4 и 0.76·10–4 См/см при температурах –50 и +90 °С соответственно. ЭХСК обеспечивает высокую емкость в широком диапазоне температур от −50 до + 90 °C и демонстрирует превосходную циклическую стабильность в течение 10 000 циклов. Благодаря отличным механическим свойствам гидрогелевого электролита устройство обеспечивает стабильную энергоемкость в изменяющихся условиях.
В работе [77] новый гидрогель полиакриламид/монтмориллонит/ионная жидкость, содержащий этиленгликоль (EG-PAM/MMT/EMIMBF4, EG-PME) со значительной растяжимостью, высокой ионной проводимостью и устойчивостью к широкому диапазону температур был синтезирован с помощью процесса полимеризации с поперечными связями. Двойная сетчатая структура улучшает механические свойства гидрогеля. Более того, введение EG и EMIMBF4 в гидрогель расширяет температурный диапазон. Интегрированный гибкий ЭХСК с широким диапазоном температур был изготовлен путем полимеризации полипиррольных электродов на гидрогеле. Встроенные гибкие суперконденсаторы обладают превосходной ударной вязкостью при различных механических деформациях (например, при растяжении, сжатии и скручивании). Композитная пленка EG-PME-PPy обладает высокой удельной емкостью для одиночного электрода 212 мФ/см2 при 0.8 мА/см2, высокой плотностью энергии 9.4 мкВтч/см2 при плотности мощности 319.5 мкВт/см2 и хорошей ионной проводимостью 5.18 мСм/см при –30 °С, а также высокой ионной проводимостью 33.3 мСм/см при +40 °С. Встроенные гибкие суперконденсаторы обладают удовлетворительными электрохимическими свойствами благодаря быстрой диффузии ионов и низкому сопротивлению переносу заряда интегрированного универсального гидрогеля. Таким образом, разработанный гибкий ЭХСК на основе многофункционального гидрогеля может стать перспективным источником питания следующего поколения.
Обычные гидрогелевые электролиты имеют тенденцию значительно ухудшаться или даже дезактивироваться при высоких или низких рабочих температурах, что стало основным препятствием для разработки современных термостойких ЭХСК. В работе [78] впервые была предложена новаторская температуроустойчивая стратегия, которая позволила успешно изготовить новый гидрогелевый электролит с широким диапазоном рабочих температур. Фосфорную кислоту (PA) и воду в качестве смешанных растворителей использовали для растворения хитозана (CS) в комбинации с химически сшивающим полиакриламидом (PAAm) для получения прочных и клейких гидрогелей CS-PAAm. Между тем, основываясь на наличии молекул фосфорной кислоты, гидрогели CS-PAAm показали чрезвычайно высокую проводимость и широкий диапазон температурной устойчивости от –60 до +100 °C. Удивительно, но клейкость и ударная вязкость практически не изменились. Затем гидрогели CS-PAAm в качестве электролитов были успешно соединены с электродами из АУ для создания суперконденсаторов, которые показали превосходную гибкость и электрохимическую стабильность в широком диапазоне температур от –60 до + 100 °C. Таким образом, можно предвидеть, что эта простая и эффективная стратегия обеспечит новое понимание и возможность для нового поколения гибких устройств накопления энергии с широкими температурными допусками.
Гибкий и самовосстанавливающийся суперконденсатор с высокой плотностью энергии при работе при низких температурах был изготовлен с использованием комбинации композитных электродов на основе биоугля и полиамфолитного гидрогелевого электролита [79]. Полиамфолиты – новый класс прочного гидрогеля – обеспечивают способность к самовосстановлению и механическую гибкость, а также низкотемпературную работу водного электролита. Биоуголь (БУ) — углеродный материал, получаемый в результате низкотемпературного пиролиза биологических отходов. Включение восстановленного оксида графена (ВОГ) обеспечивает механическую целостность и электронную проводимость, поэтому электроды называются электродами из ВОГ с пониженным содержанием биоугля (БУ-ВОГ). Изготовленный ЭХСК показал высокую плотность энергии 30 Втч/кг с сохранением емкости ~90% после 5000 циклов заряда-разряда при комнатной температуре при плотности мощности 50 Вт/кг. При температуре –30 °C ЭХСК продемонстрировал плотность энергии 10.5 Втч/кг при плотности мощности 500 Вт/кг. Высокие характеристики при низких температурах, вероятно, связаны с концепцией незамерзающей воды вблизи гидрофильных полимерных цепей, что может мотивировать будущие исследования фазового поведения воды вблизи полиамфолитных цепей. Был сделан вывод, что комбинация электрода BC-ВОГ и полиамфолитного гидрогелевого электролита перспективна для суперконденсаторов с гибкой электроникой и для низкотемпературных сред.
На основе вертикально ориентированных графеновых ионгелевых электродов (GI-EC) в [80] был разработан сверхбыстродействующий ЭХСК, который показал превосходные характеристики фильтрации в сети переменного тока как с термостойкостью до +150 °C, так и с широким диапазоном напряжений 4 В. Из-за того, что особо ориентированные нанолисты графена индуцируют перенос быстрых ионов, этот ионный электрохимический конденсатор продемонстрировал высокую удельную плотность энергии 1784 мкФ В2/cм2 с фазовым углом –80.0° (120 Гц) при +150 °C, что больше, чем у большинства известных ЭХСК. Кроме того, он может фильтровать сигналы произвольной формы для сглаживания сигналов постоянного тока и хорошо работает в широком диапазоне частот от 10 до 104 Гц. Простая интеграция GI-EC в последовательную или параллельную цепь также может обеспечить желаемую емкость или высокое напряжение. GI-EC с высокими характеристиками, широким диапазоном напряжений и способностью адаптироваться к высоким температурам представляет большие перспективы для универсальных фильтрующих конденсаторов.
Гибкие суперконденсаторы вызывают все больший интерес из-за их высокой удельной мощности, длительного срока службы и надежной безопасности. Как и другие накопители энергии, гибкие ЭХСК демонстрируют серьезное снижение производительности, когда они работают в экстремально холодном и/или жарком климате, что значительно ограничивает их практическое применение. В [81] был разработан полимерный гидрогель с высокой ионной проводимостью для гибких ЭХСК с высокой производительностью и отличной климатической устойчивостью. Широкая температурная адаптируемость полимерного гидрогеля обеспечивается введением добавки диметилсульфоксида, который может образовывать многочисленные водородные связи с молекулами воды и функциональными группами молекул полимера. Оптимизированный гидрогель продемонстрировал высокую ионную проводимость 0.82 и 1.12 См/м при –20 и +100 °C соответственно, что сравнимо с проводимостью при комнатной температуре. Используя полимерный гидрогель в качестве электролита, полученные ЭХСК не только показали высокие электрохимические характеристики, но также сохраняли высокую емкость до 91 и 85% относительно комнатной температуры как при низких (–20 °C), так и при высоких (+100 °C) температурах, соответственно. Кроме того, разработанные суперконденсаторы обладают отличной механической гибкостью даже при –20 °С. Полимерные гидрогели с широким температурным диапазоном могут быть легко функционализированы и широко использованы для других гибких энергетических устройств и электроники, работающих в суровых условиях.
ЭХСК привлекли значительное внимание из-за их высокой удельной мощности, быстрой скорости заряда-разряда и длительного срока службы. В последнее время с развитием науки и техники применение ЭХСК расширилось за пределы традиционных областей: крупномасштабное производство, распределение возобновляемой энергии и железнодорожные перевозки, новые поколения высокоточных электронных устройств, высокоточное военное оружие и устройства в других областях, связанных с экстремальными условиями труда. Экстремальные условия работы, такие как экстремально высокие/низкие температуры и высокое растяжение/сжатие, поставили новые задачи и требования к структуре и составу ЭХСК [82]. Среди них электролит является ключевым компонентом, влияющим на работу, срок службы и безопасность ЭХСК. Полимерные электролиты с легким весом, высокой механической стабильностью, высокой гибкостью и безопасностью, а также хорошим межфазным контактом являются идеальными кандидатами для изготовления безопасных и гибких ЭХСК. В [82] рассматривается ход исследований полимерных электролитов для работы ЭХСК в экстремальных условиях с точки зрения воздействия высокой/низкой температуры, высокого растяжения/сжатия и высокой/низкой влажности. Кроме того, анализируются и обсуждаются ключевые проблемы, возникающие при разработке угольных электродов и полимерных электролитов для ЭХСК, работающих в экстремальных условиях, и будущие направления развития, которые могут дать новый импульс развитию и практическому применению суперконденсаторов.
Создание гидрогелевых электролитов со сбалансированной проводимостью, механической прочностью и гибкими свойствами остается сложной задачей, не говоря уже о способности работать в широком диапазоне температур и потенциалов. В основном это происходит из-за неизбежного замерзания и диссоциации большого количества молекул воды в полимерной матрице при отрицательных температурах и высоких потенциалах, что приводит к ухудшению электронных и механических характеристик. В [83] были разработаны анионные гели λ-каррагин (LC) и этиленгликоль в гидрогеле поливинилового спирта) для получения растяжимого и эластичного органо-гидрогеля с фиксированным каналом ионов K+. Он обеспечивает высокую ионную проводимость 8.3 См/м при комнатной температуре, 3.18 См/м при –40 °C и 9.67 См/м при +60 °C, демонстрируя превосходную антифризную способность и термическую стабильность, превосходящую большинство ранее опубликованных результатов для проводящих гидрогелей и органо-гидрогелей. Изготовленный ЭХСК показал высокую удельную емкость (113.6 Ф/г при –40 °С и 331.8 Ф/г при +60 °С при плотности тока 3 А/г), очень высокую удельную энергию (24.3 Вт ч/кг) с широким ОЭС (до 1.5 В). Еще более впечатляющим является то, что гибкое устройство может питать электронные часы в чрезвычайно суровых условиях, таких как сжатие, сгибание, а затем погружение в ледяную воду без упаковки. Таким образом, анионный органо-гидрогель с фиксированными катионными (K+) каналами открывает эффективный способ получения выдающегося гидрогелевого электролита для высокоэффективных гибких ЭХСК.
3. Комбинированный электролит
В работе [84] был представлен новый эвтектический электролит для суперконденсаторов, полученный путем смешивания хлорида холина и этиленгликоля. Было установлено, что молярное соотношение хлорида холина и этиленгликоля оказывает решающее влияние на вязкость, электропроводность и емкостные характеристики в экстремальных условиях (–40 ... +115 °C). С повышением температуры вязкость электролита уменьшается c повышением электропроводности; аналогичное явление также имеет место в отношении емкостного поведения в экстремальных условиях. Электролит с молярным соотношением 1 : 2 (хлорид холина:этиленгликоль) при температуре +115 °C имеет удельную емкость 362 Ф/г (при плотности энергии 50.33 Втч/кг), которая становится равной 102 Ф/г (с плотностью энергии 14.13 Втч/кг) даже при −40 °C. Данный эвтектический растворитель с участием хлорида холина и этиленгликоля может быть использован и для других электролитов, особенно для суперконденсаторов с широким диапазоном температур.
Электролиты вода-в-соли (WIS) вызывают повышенный интерес как альтернатива обычным водным или органическим электролитам. Электролиты WIS обладают интересным сочетанием безопасности, благодаря своему водному характеру и расширенному диапазону электрохимической стабильности, благодаря сильной координации между молекулами воды и ионами соли. Тем не менее стоимость, склонность к осаждению солей и медленный ионный перенос, приводящий к низкой скорости работы устройств, являются некоторыми внутренними недостатками электролитов WIS, которые еще необходимо устранить для их технологической реализации [85]. Стоит отметить, что отсутствие “свободных” молекул воды также может быть достигнуто добавлением определенного сорастворителя, способного координироваться с водой. Это случай эвтектической смеси, образованной между диметилсульфоксидом (ДМСО) и Н2О с молярным соотношением 1 : 2 и температурой плавления до –140 °С. Интересно, что добавление солей в условиях, близких к насыщению, также приводило к повышению температуры кипения полученного раствора. В работе [85] была использована эвтектическая смесь ДМСО и Н2О для растворения LiTFSI в диапазоне моляльности 1.1–8.8. Полученный электролит (например, так называемая водная эвтектика в соли) продемонстрировал высокие электрохимические характеристики ЭХСК в широком диапазоне экстремальных температур окружающей среды: от очень низких как –35 °C до очень высоких как +65 °С.
4. Водные электролиты с низкой температурой замерзания
Экстремальные условия, такие как исследование космоса и жизнь в полярных регионах, требуют, чтобы электрохимические накопители энергии хорошо работали при сверхнизких температурах. Суперконденсаторы на водной основе (ASC) привлекли большое внимание из-за их надежной безопасности, высокой производительности и длительного срока службы. Однако их применение в условиях низких температур также сильно ограничено недостаточно низкой температурой замерзания электролита на водной основе. В статье [86], основываясь на способности к координации между ионами Ni2+ и Cl– ограничивать продольный рост Ni(OH)2 вдоль кристаллической плоскости (0 0 1) и присущей водному раствору NaCl очень низкой температуре замерзания, экономичная соль NaCl была изучена на предмет ее способности как регулировать приготовление одномерных (1D) наностержней Ni(OH)2, так и участвовать в создании для ASC электролита с двумя растворенными веществами, устойчивого к сверхнизким температурам. Одномерные наностержни Ni(OH)2 состояли из пучков тонких наностержней диаметром около 16 нм, которые могут сократить расстояние транспортировки ионов ОН– и электронов, обеспечивая достаточное деформационное пространство для их взаимодействия друг с другом. Как трехэлектродная система, так и собранные ASC с использованием электродного материала из наностержней 1D Ni(OH)2, были применены для измерения удельных емкостей, и было обнаружено, что этот материал может давать значения в 1.6 раза выше, чем у 2D Ni(OH)2 нанолистов при соответствующих скоростях сканирования или плотности тока. С помощью двухрастворного электролита сохранение емкости указанного ЭХСК при –30 °C составляло до 61.1% от 0.5 до 10 А/г и 90.21% после 10 000 циклов при 5 А/г. Эти результаты демонстрируют не только потенциальное применение недорогого NaCl в системах хранения энергии, но и применение ASC в условиях сверхнизких температур.
Исследована работоспособность симметричных ЭХСК с электродами из АУ, полученными из микросфер ацетата целлюлозы в качестве прекурсора, с использованием нейтральных водных растворов сульфата натрия в качестве электролитов. Хотя электролиты на водной основе могут безопасно работать в широком диапазоне температур, исследования суперконденсаторов за пределами обычных условий комнатной температуры довольно ограничены, в то время как большинство исследований сосредоточено на ионных жидкостях в качестве электролитов. Однако, поскольку вода представляет собой дешевый, простой в обращении и экологически безопасный растворитель, важное значение имеют детальные температурные исследования ЭХСК с водными электролитами. В [87] было исследовано поведение суперконденсаторов с электролитами, имеющими различные концентрации Na2SO4, в диапазоне температур от 0 °С до +60 °С. Поскольку стабильная и безопасная работа суперконденсаторов с угольными электродами зависит исключительно от свойств электролита в этих условиях, электролиты были охарактеризованы в отношении их проводимости и вязкости при различных температурах. Активированные углеродные материалы были получены методом одностадийной карбонизации микросфер из ацетата целлюлозы с использованием КОН в качестве активатора, который добавляли к микросферам из ацетата целлюлозы в виде раствора для лучшей гомогенизации. ЭХСК с нейтральным 1 М раствором Na2SO4 в качестве лучшего состава электролита были испытаны при температурах от 0 до +60 °C и показали удельную емкость от 91 Ф/г до 117 Ф/г, продемонстрировав хорошую стабильность при циклировании с сохранением не менее 95% начальной емкости за 2000 циклов. Плотность энергии 16.6 Втч/кг при удельной мощности 16 кВт/кг обеспечивалась при 25 °C, тогда как плотность энергии повышалась при +60 °C до 21.5 Втч/кг при несколько меньшей удельной мощности 13.7 кВт/кг. Никаких признаков электрохимической коррозии корпусов батарей после циклирования не наблюдалось, в отличие от кислотных электролитов с H2SO4, протестированных для сравнения.
5. Ацетонитрил в качестве растворителя электролита
Хотя электролиты типа вода-в-соли (WIS) значительно расширили диапазон напряжений аккумуляторов и суперконденсаторов на водной основе, неизбежное осаждение высококонцентрированных солей при низких температурах приводит к снижению производительности и даже выходу из строя устройств. Введение органического сорастворителя может эффективно устранить этот существенный недостаток; однако основной механизм оставался неясным. В работе [88] было проведено исследование механизма подавления осаждения солей ацетонитрилом в электролитах WIS на основе NaClO4 путем сочетания теоретического моделирования и экспериментальных измерений. Молекулы AN прочно координируются с ионами Na+, изменяя сольватную структуру комплекса катион-анион с агрегатов на контактные ионные пары и/или ионные пары, разделенные растворителем, ослабляя взаимодействие между анионами и катионами и тем самым подавляя осаждение NaClO4. Кроме того, с использованием гибридного электролита ЭХСК на основе углерода достигает окна напряжения 2.3 В. Впечатляет, что он также сохраняет при сверхнизкой температуре –50 °С 86.5% емкости от таковой при комнатной температуре и демонстрирует высокую скорость и термостойкость.
Электрохимические характеристики при низких температурах были исследованы для коммерческого суперконденсатора (SC)600F с электролитами на основе ацетонитрила и смешанных электролитов AN + метилацетат (MA) [89]. От –40 до +20 °C AN электролит показал несколько более высокую емкость, чем у смешанных электролитов AN + МА (25 и 33 об. % МА). Однако при –55 °C электролит AN вообще не циклировался, в то время как смешанный электролит с MA нормально циклировался с небольшим уменьшением их емкости. Из измерений спектроскопии электрохимического импеданса было обнаружено, что общее сопротивление для элементов на основе AN при –55 °C примерно в 10 000 раз выше, чем при +20 °C, в то время как для электролита AN + MA было получено только 40-кратное увеличение сопротивления элемента.
6. Глина в качестве твердого электролита
Рабочие температуры современных электрохимических накопителей энергии ограничены электролитом вследствие деградации и нестабильности сепаратора при высоких температурах. В [90] было показано, что адаптированная смесь материалов может облегчить работу суперконденсаторов при рекордных температурах, достигающих +200 °С. Композитная конструкция электролита/сепаратора из природной глины и ионных жидкостей с углеродными электродами демонстрируют стабильную работу ЭХСК при +200 оC с хорошей циклируемостью. Такие высокотемпературные композитные электролитные системы могут стать универсальными для высокотемпературного преобразования и хранения энергии. При этом нужно учитывать, что определенные сорта природной глины обладают ионообменными свойствами.
На рис. 2 приведены циклические вольтамперограммы для ЭХСК на основе электролита глины марки RTIL при 60 мВ/с и с окном потенциалов 5 В при различных температурах; кривые циклической стабильности конденсатора RGO| Глина:RTIL |RGO (где RGO это ВОГ) при +200 оC с окнами напряжения 2 В и 2.5 В; зависимости плотности энергии от плотности мощности конденсатора RGO | Глина:RTIL |RGO при различных температурах с окнами напряжения 2.0 В и 2.5 В; профили саморазряда ЭХСК на основе электролита глина:RTIL после заряжения до 2 В при постоянном токе и поддержания напряжения на уровне 2 В в течение 2 ч с последующим саморазрядом ЭХСК.
Рис. 2. (а) Циклические вольтамперограммы для ЭХСК на основе электролита глины: RTIL при 60 мВ/с и с окном потенциалов 5 В при различных температурах. (б) Циклическая стабильность конденсатора RGO| Глина: RTIL |RGO при +200 оC с окнами напряжения 2 В и 2.5 В. (в) Плотность энергии против плотности мощности конденсатора RGO | Глина: RTIL |RGO при различных температурах с окнами напряжения 2.0 В и 2.5 В. (г) Профили саморазряда ЭХСК на основе электролита глина: RTIL после заряжения до 2 В при постоянном токе, поддержания напряжения на уровне 2 В в течение 2 ч и последующего саморазрядка ЭХСК [90]. RGO – это восстановленный оксид графена (ВОГ).
Из этого рисунка видно, данный суперконденсатор успешно функционирует при высоких температурах, включая +200 оC.
Помимо относительно низкой плотности энергии, явление быстрого саморазряда также сильно ограничивает применение суперконденсаторов для периодического накопления энергии и электропитания. В работе [91] была предложена новая стратегия создания высокоэффективного твердотельного электролита на основе бентонитовой глины и ионной жидкости (BISE), которая может эффективно решить проблему саморазряда суперконденсаторов. ЭХСК на основе BISE демонстрируют чрезвычайно низкие характеристики саморазряда с падением потенциала разомкнутой цепи всего на 28.9% в течение 60 ч, что намного лучше, чем у обычных суперконденсаторов (40.1% за 12 ч). Что еще более важно, даже при высокой температуре +75 °C суперконденсаторы могут по прежнему обеспечивать низкое падение напряжения на 40% в течение 12 ч и могут стабильно обеспечивать высокое напряжение >1.5 В, что гарантирует высокотемпературное преобразование и хранение энергии. Было также показано, что механизм низкого саморазряда возникает из-за удерживающего эффекта кремний-кислородных связей глины, которые подавляют челночный эффект переноса катионов железа и способствуют избирательному проникновению анионов электролита, вследствие анионообменных свойств глины. Следовательно, заметное снижение, как омической утечки, так и фарадеевского процесса, контролируемого диффузией, может резко ослабить характеристики саморазряда. На основе BISE были также разработаны суперконденсаторы в мягкой упаковке с низким значением саморазряда 23.6% за 20 ч. Очевидно, что данный метод может открыть путь к использованию суперконденсаторов с чрезвычайно низким саморазрядом в широком диапазоне температур путем более глубокого понимания механизма саморазряда и, кроме того, для эффективного накопления энергии суперконденсаторов.
7. Твердотельные суперконденсаторы
Повышение устойчивости к низким температурам электрохимических накопителей энергии (например, суперконденсаторов, аккумуляторных батарей) в холодном климате важно для автомобилей, носимых устройств и интеллектуальных сетей, используемых в высокогорных районах и полярных регионах. В последнее время большое внимание уделяется долговечности и производительности ЭХСК в различных температурных условиях, особенно при низких температурах. Однако до сих пор медленная диффузия ионов, вызванная замерзанием электролита, ограничивает низкотемпературные характеристики и долговечность суперконденсаторов. В [92] был изготовлен инновационный “ледяной гель” (IG) с электропроводностью (1.79 × 10–4 См/см при –15 °C), подходящей гибкостью и значительной устойчивостью к низким температурам. Были использованы поливиниловый спирт и соль CuSO4·5H2O при сверхбыстрой заморозке жидким азотом. После этого был собран ЭХСК симметричной конфигурации с двумя гибкими электродами и электролитами IG. Электролит IG является особым твердотельным ионным проводником, который может обеспечить эффективную транспортировку ионов в ЭХСК при экстремально низких температурах с высокими электрохимическими характеристиками. Например, даже при температуре –80 °C ЭХСК показал хорошие результаты с коэффициентом сохранения емкости 91.8% после 7000 циклов. Кроме того, замечательные механические свойства, обеспечиваемые IG, также придают суперконденсатору большую долговечность при различных резких деформациях при отрицательных температурах. Эта работа открывает новые возможности для разработки универсальных твердогелевых электролитов с широким диапазоном рабочих температур в суровых условиях для портативных и носимых накопителей энергии.
Электрохимические свойства большинства суперконденсаторных устройств быстро ухудшаются при отклонении рабочей температуры от комнатной. Чтобы использовать потенциал восстановленного оксида графена в суперконденсаторах при экстремальных температурах, требуется эластичный электролит, работающий в широком диапазоне температур. В работе [93] в ЭХСК с симметричными электродами из ВОГ была использована гибкая мембрана из твердого электролита с низким сопротивлением (SSEM) для работы в диапазоне температур от –70 до +220 °C. SSEM состоит из смеси поликатиона-полибензимидазола, легированного фосфорной кислотой (H3PO4), и этот материал продемонстрировал очень высокие значения проводимости в диапазоне от 50 до 278 мСм/см в диапазоне температур от –25 до 220 °C. Изготовленный ЭХСК имел максимальную емкость 6.8 мФ/см2 при +100°С. Плотности энергии и мощности варьировались от 0.83 до 2.79 мВт ч см–2 и от 90 до 125 мВт см–2 соответственно. Работа при высоких температурах обеспечивается за счет поликатиона в SSEM, закрепляющего анионы фосфатного типа, предотвращающего испарение H3PO4. Низкотемпературная работа суперконденсатора с SSEM объясняется тем, что матрица SSEM снижает температуру замерзания H3PO4 для поддержания структурной диффузии протонов.
Электрохромные асимметричные суперконденсаторы (ЭAС) в последние годы привлекли огромное внимание из-за их потенциала для гражданской портативной и интеллектуальной электроники следующего поколения. Однако получение полностью твердотельных ЭAС с низким уровнем саморазряда и эффективной совместимостью с окружающей средой остается серьезной проблемой. В работе [94] были изготовлены высокоэффективные полностью твердотельные ЭАС на основе положительного электрохромного электрода MnO2 и отрицательного электрохромного электрода WO3. Полученные ЭАС обладают высокими мощностью/энергоемкостью (991.2 Вт/кг //117 Вт ч/кг и 15 840 Вт/кг//44.3 Вт ч/кг), превосходной электрохимической долговечностью (после 2000 циклов остается 98.4% от исходной емкости). Непрерывные циклы осуществлялись даже при +60 °C). Примечательно, что изготовленный ЭAС по прежнему может поддерживать стабильное и обратимое изменение цвета даже в суровых условиях, когда рабочие температуры постоянно меняются от –20 до +60 °C. Механизм саморазряда, контролируемый диффузией, преобладает в начальном процессе саморазряда при высоких рабочих температурах (например, 60 °C), в то время, как перераспределение заряда, так и механизм, контролируемый диффузией, вносят одинаковый вклад при более низких рабочих температурах (например, при –20 °C). Впечатляет то, что ЭАС демонстрирует небольшую потерю напряжения (ниже 18%) в течение 10 ч при работе в условиях экстремальных температур. Эта работа может способствовать разработке электрохромных устройств с низким саморазрядом в широком диапазоне рабочих температур для эффективного накопления энергии.
Гелевые электролиты имеют большое значение для суперконденсаторов, работающих при высоких температурах. Однако принципиальной проблемой для ЭХСК, использующих водно-гелевые электролиты при повышенных температурах, является обеспечение хорошей долговечности за счет испарения воды. В [95] сообщается о гелеобразном электролите “вода-в-соли”, который демонстрирует превосходную водоудерживающую и даже водопоглощающую способность. Примечательно, что квазитвердотельный ЭХСК на гелевом электролите способен работать и демонстрировать длительный циклический ресурс в широком диапазоне температур от комнатной до +120 °C в экстремально сухой атмосфере, что является лучшим показателем среди ЭХСК на основе водного геля.
Хотя рабочие температуры имеют решающее влияние на производительность суперконденсаторов, однако влияние температуры на псевдоемкостное поведение редко изучается для гибких высокопроизводительных волоконных ЭХСК. В [96] систематически исследовали при различных температурах окружающей среды от –5 до +55 °С электрохимические реакции полностью твердотельных ЭХСК на основе волокон, состоящих из электродов из углеродных нанотрубок (УНТ), декорированных пористыми УНТ/полианилин (ПАНи) и гелевым электролитом. Результаты показали, что емкость ЭХСК сначала увеличивается при повышении температуры ниже +40 °C и снижается при +55 °C. Внутреннее сопротивление постепенно снижается, а саморазряд ускоряется при высоких рабочих температурах. Суперконденсаторы с гибкими волокнами, модифицированные УНТ/ПАНи, также являлись успешными при испытаниях на стабильность при циклировании в условиях высоких температур. После 5000 циклов заряда-разряда при +55 °C емкость сохраняется только на уровне 43.86%, что намного ниже аналогичного показателя при низких температурах. Это исследование обеспечивает фундаментальное понимание температурной зависимости псевдоемкостного поведения волоконных суперконденсаторов на основе ПАНи.
Гелевые электролиты в настоящее время вызывают значительный интерес для гибких суперконденсаторов. Обычные гидрогелевые электролиты имеют ограниченную пригодность при низких/высоких температурах, так как содержат большое количество воды. Это затрудняет их применение в ЭХСК в суровых условиях. В [97] была изготовлена новая мембрана из гель-полимерного электролита (ГПЭ) на основе системы PVdF-HFP/EMITf/Al(Tf)3. Оптимизированная мембрана ГПЭ демонстрирует высокую ионную проводимость ~1.6 × 10–3 См/см при комнатной температуре с высоким значением ~0.8 × 10–3 См/см, при температуре замерзания –20 °C. Приготовленная мембрана ГПЭ также имеет широкий диапазон электрохимической стабильности (~5.6–4.2 В) в диапазоне температур от –20 до +60 °C. Суперконденсаторы с мембраной ГПЭ и графеновыми нанопластинчатыми электродами продемонстрировали очень высокие емкостные характеристики (323.9 Ф/г при 2 В) и стабильность при циклировании (более 50 000 циклов) при комнатной температуре. При температуре –20 °C суперконденсаторы по-прежнему сохраняют многообещающие емкостные характеристики и выдающуюся стабильность при циклировании. Кроме того, разработанные гибкие суперконденсаторы обеспечивают высокую производительность при различных условиях изгиба и сохраняют устойчивость к низким температурам. Сделан вывод, что устойчивая к низким температурам мембрана ГПЭ на основе системы PVdF-HFP/EMITf/Al(Tf)3 потенциально может применяться в гибких суперконденсаторах в суровых условиях.
В [98] с использованием пористых углеродных электродов и твердого электролита был изготовлен полностью твердотельный двойнослойный конденсатор, работающий при высоких температурах. Такой подход открывает путь к более безопасным и гибким устройствам. Ионогель использовался в качестве твердого электролита и одновременно в качестве сепаратора в этом полностью твердом ДСК. Синтезированный ионогель обладает высокой ионной проводимостью в широком диапазоне температур от 4 мСм/см при 20 °С до 26 мСм/см при 100 °С. Приготовленный таким образом полностью твердотельный ДСК был способен выдерживать рабочую температуру до +100 °C при напряжении элемента 2.5 В. Длительное циклирование гальваностатического заряда-разряда более 25 000 циклов было осуществлено при +100 °C, что продемонстрировало очень хорошее сохранение емкости. Таким образом, ДСК на основе ионогеля являются подходящими для высокотемпературных сред.
8. Электроды с оптимизированной пористой структурой
Работа суперконденсаторов в широком диапазоне температур важна для возможности их эффективной работы в суровых условиях. Тем не менее суперконденсаторы для экстремальных условий по-прежнему представляют собой серьезную проблему из-за неизбежного снижения производительности, вызванного медленной диффузией ионов и увеличением неиспользуемой поверхности, создаваемой микропорами. В работе [99] сообщается о стратегии модификации углеродных материалов для широкотемпературных электродов суперконденсаторов. Поливинилпирролидон создает проводящие углеродные мостики между углеродными нанотрубками и мезопористыми углеродными сферами и образует хорошо взаимосвязанную углеродную сеть. Высокая электропроводность и термостабильность полностью углеродного электрода обеспечивают сохранение высокой емкости в диапазоне температур от –40 до +80 °С. Полностью углеродные электроды без связующего вещества обладают превосходной долговременной стабильностью с высокой механической прочностью при непрерывном изгибе от 0 до 360°. В работе демонстрируется конструкция полностью углеродных электродов с переплетением аморфного углерода для ЭХСК с высокими характеристиками как при низких, так и при высоких температурах.
Трехмерные сотообразные пористые углеродные материалы с иерархической пористой структурой, легированной N/S, были получены в [100] из хитозанпротонной соли (([Chit][HSO4])) комбинированным методом двойного шаблона и самосборки без растворителя. Ключ к этой стратегии приготовления: не используются никакие растворители или катализаторы; материал F127 и додецилсульфат натрия используются соответственно в качестве мезопористых и макропористых темплатов, а ([Chit][HSO4]) может использоваться не только в качестве источника углерода, источника N/S, но и в качестве микропористого порообразователя при карбонизации. Одновременно существуют черты уникальной сотовой иерархической структуры пор c большой площадью удельной поверхности до 927 м2/г и эффективного легирования гетероатомами (N: 5.13 ат. %, S: 2.51 ат. %), что значительно улучшает электрохимические характеристики полученных углеродных электродов. С электролитом KOH была получена высокая емкость 302 Ф/г и превосходная стабильность при циклировании с сохранением 99% емкости в течение 5000 циклов. Примечательно, что собранные симметричные гибкие твердотельные ЭХСК сохраняют отличные емкостные свойства и стабильность при экстремальных температурах от –20 до +100 °C и при изгибе (0°~180°). Кроме того, в электролите Na2SO4 суперконденсаторы демонстрируют высокую плотность энергии 17.6 Вт ч/кг при плотности мощности 250 Вт/кг. Очень высокая производительность в большой степени обеспечивает большой потенциал для высокоэффективного накопления энергии для пористых углеродных материалов типа N/S (азот/сера) с трехмерной сотоподобной иерархической структурой. На рис. 3 приведены распределения пор по радиусам для трех разработанных электродов, легированных N/S, со следующими величинами УП: HPSM (927 м2/г); PCM (356 м2/г) и CM (293 м2/г).
Рис. 3. Распределения пор по радиусам для трех электродов, легированных N/S, со следующими величинами УП: HPSM (927 м2/г), PCM (356 м2/г) и CM (293 м2/г) [100].
Влияние температуры и характеристик материала сепаратора (состав, пористость, структура) на работоспособность ЭХСК на основе микропористых углеродных электродов, изготовленных из карбида титана, в 1 М растворе тетрафторбората триэтилметиламмония в смеси диметилкарбоната, этиленкарбоната и пропиленкарбоната с объемным соотношением 1 : 1 : 1, было исследовано методами циклической вольтамперометриии и спектроскопии электрохимического импеданса при температурах от +24 до –30 °С [101]. Из растворов поливинилиденфторида в N,N-диметилацетамиде или смеси N,N-диметилформамида и ацетона (массовое соотношение 8 : 2) методом электроформования были изготовлены сепараторные материалы. Было исследовано влияние температуры, пористости и химического состава сепаратора на форму циклических вольтамперометрических кривых и графиков Найквиста, низкочастотную предельную последовательную емкость и сопротивление, параллельную емкость и сопротивление, постоянную времени, комплексные составляющие мощности, удельную энергию и мощность ЭХСК.
9. Использование графеновых электродов
Термически стабильные накопители энергии с длительным циклированием, способные работать при высоких температурах, привлекают большое внимание из-за их важности для повышения термической безопасности и долговечности электронных устройств и дальнейшего расширения областей применения. В [102] были разработаны высокопроизводительные и термостабильные ЭХСК, работающие при высоких температурах, которые изготавливались путем интеграции графеновых аэрогелевых электродов, легированных SnO2, и композитных электролитов на основе ионной жидкости. Крошечные наночастицы SnO2 химически связывались с листами графена без дополнительного отжига, что инициирует электрохимический синергетический эффект при высоких температурах. Кроме того, добавление наночастиц пирогенного кремнезема в композитные электролиты не только улучшает ионную проводимость полимерной матрицы, но и повышает термическую стабильность. В результате очень хорошее сочетание пористого графенового аэрогелевого электрода и композитного электролита улучшает межфазную стабильность и позволяет получить высокоэффективный ЭХСК с высокими удельной емкостью 541Ф/г и плотностью энергии 160 Вт ч/кг при +125 °C. Кроме того, суперконденсаторные устройства демонстрируют чрезвычайно долговременную стабильность без значительной потери емкости после 10 000 циклов даже при высоких температурах. Это исследование предлагает рациональную стратегию для высокопроизводительных, долговечных и высокотемпературных систем накопления энергии, которые обеспечивают подачу электроэнергии в суровых условиях.
Гибкие ЭХСК быстро развивались в последние годы и способствовали развитию носимой электроники. Однако рабочая температура гибких суперконденсаторов обычно находится в узком диапазоне из-за ограничений материалов электродов и электролитов. В [103] сообщается о гибком суперконденсаторе, который может работать при экстремальных температурах (от –40 до +200 °C) с отличными электрохимическими свойствами и высокой долговечностью. Этот ЭХСК обеспечивал максимальную удельную емкость 330 мФ/см2 и 2 Ф/см3 а также плотность энергии 1.7 мВтч/см3. Высокая стабильность этого ЭХСК обеспечивала сохранение 90% емкости после 105 циклов. Более того, деформация при экстремальных температурах не снижала его способность накапливать энергию. Гибкая гибридная пленка ВОГ/УНТ для ЭХСК изготавливалась в [103] методом вакуумной фильтрации. Согласно данным сканирующей электронной микроскопии, в гибридной пленке восстановленный оксид графена сосуществует с углеродными нанотрубками и УНТ чередуются между листами ВОГ. В результате гибридная пленка имеет более высокую механическую прочность и проводимость, чем у одиночной пленки ВОГ. Электрохимические характеристики предлагаемого гибкого суперконденсатора были проверены на электрохимической рабочей станции с гибридной пленкой в качестве электродного материала и 1-бути1-2,3-бис(трифторметилсульфонил)имид диметилимидазолия ([EMMI][TFSI]) в качестве электролита в виде ионной жидкости. Установлено, что форма ЦВА-кривой для гибридной пленки при скорости сканирования 20 мВ/с почти прямоугольная, т.е. это равновесная форма заряжения двойного электрического слоя (ДЭС). Кривая гальваностатического заряда/разряда подтверждает хорошее свойство накопления энергии пленки.
10. Псевдоемкостные электроды
В работе [104] было проведено исследование суперконденсаторов на основе псевдоемкостных электродов с электронопроводящими полимерами (ЭПП) в широком диапазоне температур от −18 до +60 °C. Высокоэффективный электродный материал ЭХСК, состоящий из ядра нанокуба TiC и ламеллярной оболочки из конформного кристаллического полипиррола (PPy)/ПВС, был синтезирован путем гетерогенной межфазной кристаллизации, вызванной зародышеобразованием. Полипиррол индуцирует кристаллизацию на отрицательно заряженных поверхностях нанокубов TiC посредством сильных межфазных взаимодействий. В этом органо-неорганическом гибридном нанокомпозите длинноцепочечный ПВС обеспечивает увеличенный срок службы благодаря улучшенным механическим свойствам, а нанокуб TiC не только повышает электронную проводимость, но также определяет морфологию/кристалличность PPy для максимизации зарядно-разрядных характеристик. Кристаллический слой PPy/ПВС на нанокубе TiC обладает очень высокой емкостью (>350 Ф/г при 300 мВ/с и ΔV = 1.6 В) и стабильностью при циклировании в диапазоне температур от –18 до +60 °C. Представленная стратегия гибридного наполнителя и межфазной кристаллизации может быть применена для разработки материалов для суперконденсаторов нового поколения с высокой мощностью проводящего полимера.
В работе [105] было исследовано влияние повышенной рабочей температуры на снижение емкости для двух псевдоемкостных электродов полиморфной модификации MnO2, а именно криптомелана и бернессита, в водном электролите K2SO4. Было показано, что эти два полиморфа демонстрируют заметно различное поведение при увеличении и сокращении объема во время циклирования. Повышение температуры циклирования с +25 до +50 °C резко увеличивало скорость изменения характеристик для обоих электродов, но основные механизмы были разными. Для криптомеланового электрода, в котором структура MnO2 претерпевает незначительные объемные изменения при циклировании, повышение рабочей температуры увеличивает необратимую деформацию структуры, возникающую из-за ян-теллеровского искажения октаэдров MnO6. Искажение структуры препятствовало протеканию окислительно-восстановительных реакций, связанных с внедрением катионов К+ в решетку MnO2, и приводило к значительному увеличению сопротивления переносу заряда на границе твердое тело/электролит, что ускоряло снижение емкости. Для бернесситового электрода циклирование приводило к заметному увеличению удельного электрического сопротивления активного слоя. Это увеличение удельного сопротивления связано с большими циклическими изменениями объема в структуре бернессита, которые вызывают нарушение связи связующего с частицами, составляющими электрод. Ускоренное снижение емкости в результате повышения рабочей температуры связано со снижением механической прочности.
В работе [106] иерархические нанолисты псевдоемкостного оксида δ-MnO2 в качестве электроактивных материалов были непосредственно нанесены на подложку из вспененного никеля однократным водным методом с хелатированием. Процесс морфологической эволюции был подробно исследован с помощью сканирующей электронной микроскопии в разные промежутки времени. Электроды на основе δ-MnO2 с иерархической пористой структурой, которые синтезировались и функционировали при +30, +40 и +50 °C, были исследованы с помощью циклической вольтамперометрии, гальваностатического заряда-разряда и электрохимической импедансной спектроскопии. Вертикально ориентированные нанолисты δ-MnO2, которые были синтезированы при 30 °C, демонстрировали самую высокую емкость 325 Ф/г при плотности тока 1 А/г. Потеря емкости составляла менее 15% после 1000 циклов при скорости сканирования 30 мВ/с. Кроме того, обнаружено, что эквивалентное последовательное сопротивление и сопротивление переноса заряда электрода составляли 0.36 Ом и 1.7 Ом соответственно. Такие очень высокие электрохимические характеристики электрода, изготовленного путем прямого выращивания пористых нанолистов δ-MnO2 на пеноникелевой пене, делают его очень многообещающим для применения в высокопроизводительных суперконденсаторах.
Сульфиды переходных металлов и их композиты привлекают внимание в качестве материала для псевдоемкостных электродов в устройствах накопления энергии из-за их превосходных свойств, таких как отличная проводимость, большая площадь поверхности и высокая пористость. В работе [107] сообщается об исследовании при различных температурах электрохимических характеристик бинарного псевдоемкостного композита MoS2@TiO2 в симметричном ЭХСК. Для приготовления бинарного композита MoS2@TiO2 использовался простой гидротермальный метод. Структурно-морфологический анализ показал, что высококристаллический композит, содержащий MoS2, образуется в виде лепестков цветка, тогда как TiO2 получается в виде наностержней. Среди трех электродов MoS2@TiO2 была продемонстрирована максимальная удельная емкость 210 Ф/г при 10 мВ/с с превосходной циклической стабильностью (98%-ное сохранение емкости после 2000 циклов) при температуре окружающей среды. Был сделан вывод, что однофазная мезопористая структура является ключевой причиной улучшенных характеристик по сравнению с другими электродами. Кроме того, наблюдалось улучшение зарядно-разрядных характеристик на 200% при + 60 °C, что объясняется низкой энергией активации и более быстрой динамикой ионов при повышенных температурах. Спектроскопический анализ импеданса показал значительное снижение межфазного импеданса, что приводило к очень высокой емкости в сочетании с благоприятной динамикой электрохимического заряда. Сообщается, что самая высокая плотность энергии составляла 21 Втч/кг при плотности мощности 1300 Вт/кг в симметричном ЭХСК. Синергетический эффект бинарной системы наряду с уникальной морфологией поверхности и накоплением заряда с последующим интеркалированием и емкостным механизмом приводит к повышению производительности суперконденсатора с MoS2@15%TiO2. Таким образом, бинарный композит MoS2@TiO2 представляется перспективным кандидатом на роль накопителя энергии, работающего в широком диапазоне температур (от –25 до +60 °C).
В работе [108], используя простой гидротермальный метод, были выращены цветкообразные псевдоемкостные оксиды NiCo2O4, состоящие из игольчатых кристаллитов. Электрохимические свойства электродов NiCo2O4 были исследованы методами циклической вольтамперометрии, гальваностатического заряда-разряда и спектроскопии электрохимического импеданса. Характерные пары окислительно-восстановительных волн наблюдались при ЦВА измерениях. Эти волны относились к окислительно-восстановительным парам Co (II) /Co (III) и Ni (II) /Ni (III). Очень высокая удельная емкость до 845 Ф/г была получена для электрода NiCo2O4 в электролите KOH. Исследовано потенциальное применение разработанного электрода NiCo2O4 для гибких ЭХСК в условиях высоких температур. Измерения методами циклической вольтамперометрии и гальваностатического заряда-разряда показали высокую циклическую стабильность и гибкость. Зарядная емкость устройства была улучшена на ~150% за счет повышения температуры с +20 до +60 °С. Наблюдавшееся значение удельной емкости NiCo2O4 значительно ниже, чем у лучшего суперконденсаторного псевдоемкостного материала RuO2. Однако стоимость NiCo2O4 незначительна по сравнению с RuO2, что делает NiCo2O4 перспективным материалом с потенциальной практической полезностью.
В работе [109] были описаны высокоэффективные материалы для псевдоемкостных электродов суперконденсаторов на основе α-Fe2O3. Большие величины УП, образованные полыми структурами, подобными наночелнокам, не только обеспечивают более активные центры для фарадеевских реакций, но также облегчают диффузию электролита в электродах. В результате были получены оптимизированные электроды с высокой емкостью 249 Ф/г при плотности тока разряда 0.5 А/г и с хорошей циклической стабильностью. Кроме того, была исследована взаимосвязь между накоплением заряда и рабочей температурой. Удельная емкость не претерпевает существенных изменений при увеличении рабочей температуры с +20 до +60 °C (например, 203 и 234 Ф/г при +20 и +60 °C соответственно), что свидетельствует о том, что электроды могут работать стабильно в широком диапазоне температур. Эти результаты показывают, что полые наночелноки α-Fe2O3 могут применяться в качестве многообещающего электродного материала ЭХСК для эффективного накопления энергии при различных температурах.
11. Использование солнечных элементов
Преобразование солнечного света в тепло привлекает значительное внимание из-за его низкой стоимости и высокой эффективности преобразования. Микросуперконденсаторы представляют собой многообещающий класс источников питания для микроэлектронных устройств, но низкотемпературная работа представляет собой огромную проблему для их потенциального применения из-за медленной скорости диффузии. В работе [110] демонстрируется простая стратегия наклеивания графеновой фототермической пленки на заднюю сторону модельного МСК для реализации саморазогрева устройства при низких температурах. При экстремально низкой температуре окружающей среды –50 °С графеновая пленка может увеличить фактическую рабочую температуру МСК до –16.5 °С при облучении солнцем. Самонагрев от солнечной энергии привел к увеличению удельной емкости в 4.5 раза, увеличению скорости процессов в 2.7 раза и увеличению плотности энергии в 2.8 раза без ущерба для циклической стабильности. В этой работе представлено новое применение солнечной энергии и новый подход к улучшению общей производительности МСК при низких температурах.
Солнечно-термическое преобразование является наиболее прямой стратегией использования солнечной энергии, и оксиды переходных металлов типа шпинели в качестве материалов для фототермического преобразования (ФТП) привлекают большое внимание из-за их благоприятных оптических свойств и долговременной стабильности при сильном солнечном свете в суровых температурных условиях. ЭХСК являются важными электрохимическими накопителями энергии, но слабая подвижность ионов и замерзание электролитов при низких температурах приводят к низкой или даже отсутствующей емкости. В работе [111] сообщается об эффективной стратегии восстановления способности накопления заряда суперконденсаторами сэндвич-типа за счет использования ряда покрытий ФТП шпинели. При солнечном облучении эти покрытия ФТП могут эффективно улавливать солнечный свет и преобразовывать его в тепловую энергию, тем самым повышая фактическую рабочую температуру суперконденсаторных устройств. При низких температурах окружающей среды (–20 и –30 °С) устройства, покрытые пленкой Cu1.5Mn1.5O4, показали наибольший прирост температуры (около 60 °С) из-за лучшего эффекта ФТП. В результате было достигнуто значительное повышение емкости (от близкого к нулю до желаемых значений), что позволило устройствам хорошо работать при низких температурах окружающей среды. Эта работа предлагает высокоэффективный метод улучшения низкотемпературных характеристик ЭХСК и, одновременно, обеспечивает новое применение ФТП-покрытий типа шпинели для повышения эффективности электрохимических накопителей энергии.
Преобразование солнечной энергии в тепловую стало перспективной стратегией увеличения емкости накопителей энергии за счет повышения их рабочей температуры, особенно в условиях низких температур. В отличие от традиционных накопителей энергии, к циклической стабильности электродов солнечных тепловых устройств предъявляются более высокие требования. В [112] была разработана новая светопоглощающая структура электродов ЭХСК, состоящая из трехмерного пористого графена и полипиррола. Однородная композитная структура и соответствующие характеристики теплового расширения композитного электрода обеспечивают изготовленному солнечно-тепловому микросуперконденсатору (СТ-MСК) очень высокую емкость и стабильность при циклировании. При одном солнечном облучении температура СТ-МСК повышается до +60 °С, что приводит к увеличению удельной емкости и плотности энергии в 4.8 раза (до 2754 мФ/см2 и 646.6 мкВт ч/см2, соответственно). СТ-MСК продемонстрировали превосходную циклическую стабильность с сохранением емкости на уровне 85.8% после 10 000 циклов, что намного лучше, чем у большинства описанных СТ-MСК. Более того, при низкой температуре –30 °C существенно сниженная емкость СТ-MСК значительно повышается при одном солнечном облучении до уровня, близкого к таковому при комнатной температуре. Эта работа предлагает новую стратегию проектирования солнечных тепловых электродов и производных от них высокоэффективных накопителей энергии.
12. Комбинированные приемы создания суперконденсаторов для экстремальных температур
В предыдущих разделах обзора использовались практически однозначные приемы для создания ЭХСК, которые могут работать в условиях экстремальных температур. В данном же разделе рассматриваются суперконденсаторы, в которых используются сразу несколько таких приемов или факторов.
ЭХСК на основе полимеров (ПСК) имеют потенциал для крупномасштабного практического применения из-за их высокой теоретической емкости. Влияние температуры окружающей среды на практическое применение ПСК и лежащий в его основе механизм долгое время игнорировалось. В [113] был создан нанокомпозит графен-серебро-полипиррол (ПП) экологически безопасным методом гидротермальной полимеризации для работы при температурах от –45 до +80 °C. Тройные гибридные нанокомпозиты продемонстрировали высокую удельную емкость 611.5 Ф/г и 586 Ф/г при плотности тока 1.0 A/г и замечательную стабильность при циклировании: 93% и 82.4%-ное сохранение емкости соответственно после 3000 циклов. Кроме того, они также достигли превосходной гибкости в широком диапазоне температур как полностью твердотельные суперконденсаторы. Выдающиеся электрохимические характеристики графен-серебро-полипиррольных суперконденсаторов в таком широком диапазоне температур превосходят характеристики аналогичных суперконденсаторов на основе полипиррола, о которых сообщалось ранее. Кроме того, они также достигли превосходной гибкости в широком диапазоне температур как полностью твердотельные ЭХСК. На рис. 4 приведены ЦВА-кривые, измеренные при 200 мВ/с для нанокомпозитного электрода ПП/AgGN при различных температурах.
Рис. 4. ЦВА-кривые, измеренные при 200 мВ/с для нанокомпозитного электрода ПП/AgGN при различных температурах [113].
Таким образом, в данной работе был создан широкотемпературный ЭХСК, в котором используются сразу два приема: применение графенового и псевдоконденсаторного полипирррольного электродов. В следующей работе [114] были использованы те же два приема.
В [115] с помощью метода введения кислорода и интеркаляции полианилина были синтезированы массивы нанолистов с гибридной фазой 1T/2H на восстановленном оксиде графена для высокоэффективных ЭХСК, работающих при экстремальных температурах окружающей среды. Введение кислорода и псевдоемкостного дисульфида MoS2 с гибридной фазой 1T/2H а также интеркаляция псевдоемкостного полианилина обеспечивают очень высокую емкость. Многослойный массив нанолистов MoS2 /полианилин с включенным кислородом и восстановленным оксидом графена, создавая достаточную гетерограницу между полианилином и проводящей сетью, эффективен для переноса заряда и стабильности структуры. Полученные иерархические нанолисты MoS2/полианилин/ВОГ с введенным кислородом продемонстрировали очень высокую емкость 752.0 Ф/г при 1 А/г в 1М H2SO4 в трехэлектродной электрохимической ячейке. После 50 000 циклов при 50 А/г сохраняется 80.4% емкости от начального цикла. Материал показывает отличные эксплуатационные характеристики в чрезвычайно широком диапазоне температур. Симметричная ячейка имела емкости 79.6; 100.1 и 122.0 Ф/г при 2 А/г при 0°C, комнатной температуре и +50 °C и поддерживала 89.9, 86.1 и 73.9 % от начальной емкости соответственно после 30 000 циклов.
Для применения в экстремальных условиях требуются ЭХСК с широким диапазоном рабочих температур, особенно с возможностью работы при низких температурах (ниже –50 °C). В статье [116] представлен высокопроизводительный ЭХСК, состоящий из высоко ориентированного нанопористого графена (A-NPG) с эвтектической смесью ионных жидкостей, тетрафторбората 1-бутил-4-метилпиридиния (BMPBF4) в 1-бутил-3-тетрафторборат метилимидазолия (BMPBF4), который продемонстрировал высокие емкостные характеристики в диапазоне температур от –50 до +80 °C. Результаты экспериментов показали снижение температуры плавления Tпл эвтектической смеси до –74 °С по сравнению с –39 °С для BMPBF4. Повышенная ионная проводимость и пониженная Tпл эвтектической смеси в сочетании с электродами A-NPG сверхвысокой плотности позволили суперконденсатору продемонстрировать высокую емкость 125 Ф/см3 при комнатной температуре и 106 Ф/см3 при –50 °C. Напротив, суперконденсатор с чистым BMPBF4 показал емкость 119 Ф/см3 и 16.5 Ф/см3 при комнатной температуре и при –50°C соответственно.
Таким образом, в данной работе использованы графены и ионные жидкости.
Для практического применения в аэрокосмической области и для и робототехники гибкие накопители энергии должны быть устойчивыми к температурам окружающей среды и к различным деформациям. В работе [117] механически стабильный ЭХСК для суровых температур окружающей среды синтезировался путем полимеризации полианилина (ПАНи) на гидрогелевом электролите с двойной сеткой из сшитого ПВС и полиакриламида/акриловой кислоты (ПАМ/АК). Высокоинтегрированная структура наделяет ЭХСК беспрецедентными механическими характеристиками. Устройства могут выдерживать растяжение до 608% и растягиваться до 50% без заметного гистерезиса, демонстрируя усталостную прочность и сопротивление разрушению при тысячах циклических нагрузок. Благодаря универсальной конфигурации за счет бесшовной интеграции электрода из ПАНи суперконденсатор показал высокую удельную емкость 95.8 мФ/см2. Он также может работать как универсальное устройство и сохранять стабильную производительность при сложных деформациях, даже физических повреждениях. Кроме того, устройство обеспечивает отличную адаптируемость к окружающей среде благодаря стабильным электрохимическим характеристикам после работы при экстремальных температурах от –60 до +100 °C. Такой универсальный ЭХСК годится для потенциального применения в интегрированных гибких электронных системах для питания функциональных устройств в суровых условиях. Таким образом, в данном ЭХСК применяется как гидрогелевый электролит, так и псевдоконденсаторный электрод на основе ПАНи.
В работе [118] на основе экспериментальных данных была разработана математическая модель (MISO), позволяющая прогнозировать электрохимические характеристики ЭХСК при их работе при разных токах и температурах. Модель MISO может прогнозировать различные рабочие параметры ЭХСК. Параметры обновления модели MISO выполняются с использованием метода Левенберга–Марквардта, чтобы минимизировать ошибку между прогнозируемыми и эксперименальными характеристиками ЭХСК. Эта методология с использованием MISO может предоставлять полезную информацию о переходном поведении суперконденсаторов с учетом тепловых воздействий. Экспериментальные результаты подтвердили результаты моделирования.
ЗАКЛЮЧЕНИЕ
В данном обзоре рассмотрена литература по электрохимическим суперконденсаторам, работающим при экстремальных температурах от –80 до + 220 оС, что очень важно для практики. Рассмотрено влияние следующих приемов и факторов на эффективность работы ЭХСК при экстремальных температурах: использование в качестве электролита ионных жидкостей, модифицированного гелевого электролита, комбинированного электролита, водных электролитов с низкой температурой замерзания; применение ацетонитрила в качестве растворителя электролита; использование глины в качестве твердого электролита; применение твердотельных ЭХСК; применение электродов с оптимизированной пористой структурой; использование графеновых и псевдоемкостных электродов; использование солнечных элементов и комбинированных приемов создания ЭХСК для работы при экстремальных температурах.
Во многих публикациях рассматривается только один прием для создания широкотемпературных ЭХСК, например, использование ИЖ или графеновых электродов. Однако, каждый из этих приемов имеет свои ограничения, например ограничения по использованию соответствующей оптимизированной пористой структуры электродов для ЭХСК с ИЖ или ограничения по подбору наиболее подходящего электролита для ЭХСК с графеновыми электродами. Поэтому наиболее правильным подходом для решения данной проблемы является использование комбинированных приемов создания широкотемпературных ЭХСК, например, использование электролита на основе ИЖ и псевдоемкостных электродов на основе электронопроводящих полимеров. При этом можно учитывать не только требуемый диапазон температур ЭХСК, но и другие важные критерии, например, стоимость ЭХСК, его электрохимические характеристики, экологичность и др. Именно использование комбинированных приемов для создания широкотемпературных ЭХСК является наиболее перспективным направлением работ по данной теме.
Несомненно, данный обзор будет представлять большой интерес как для фундаментальной электрохимии, так и для практики.
КОНФЛИКТ ИНТЕРЕСОВ
Автор заявляет об отсутствии конфликта интересов.
БЛАГОДАРНОСТЬ
Работа выполнена при финансовой поддержке Министерства науки и высшего образования Российской Федерации.
About the authors
Yu. M. Volfkovich
A.N. Frumkin Institute of Physical Chemistry and Electrochemistry Russian Academy of Sciences
Author for correspondence.
Email: yuvolf40@mail.ru
Russian Federation, Moscow
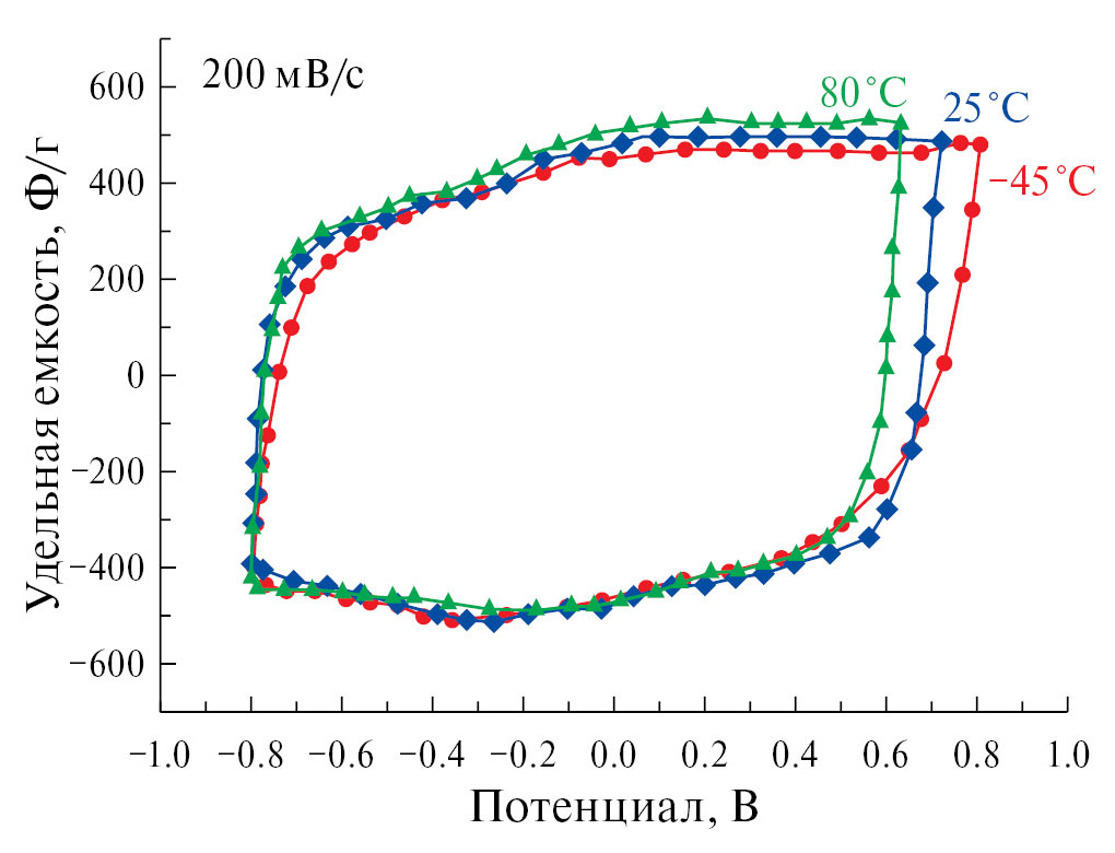
References
- Conway, B., Electrochemical Supercapacitors: Scientific Fundamentals and Technological Applications, Berlin, Germany. Springer Science & Business Media, 2013, 636 р.
- Bagotsky, V.S., Skundin, A.M., and Volfkovich, Yu. M., Electrochemical Power Sources. Batteries, Fuel Cells, Supercapacitors. N.J.: Jhon Wiely & Sons Inc. Publisher, 2015, 372 р.
- Вольфкович, Ю.М. Электрохимические суперконденсаторы (обзор). Электрохимия. 2021. Т. 57. С. 197. [Volfkovich, Yu. M., Electrochemical Supercapacitors (a Review), Russ. J. Electrochem., 2021, vol. 57, p. 311.]
- Nithya, V.D. and Arul, N.S., Review on a-Fe2O3 based negative electrode for high performance supercapacitors, J. Power Sources, 2016, vol. 327, p. 97.
- Yue-feng, S., Feng, W., Li-ying, B., and Zhao-hui,Y., /activated carbon composites as a positive electrode in an alkaline electrochemical capacitor, New Carbon Materials, 2007, vol. 22, p. 53.
- Zhanga, W.J. and Huang, K.G., A review of recent progress in molybdenum disufide-based supercapacitors and batteries, Inorg. Chem. Front, 2017, vol. 4, p. 1602.
- Snook, G.A., Kao, P., and Best, A.S., Conducting-polymer-based supercapacitor devices and electrodes, J. Power Sources, 2011, vol. 196, p. 1.
- Huang, Z., Li, L., Wang, Y., Zhang, C., and Liu, T., Polyaniline/graphene nanocomposites towards high-performance supercapacitors: A review, Composites Commun., 2018, vol. 8, p. 83.
- Kim, B.C., Kwon, J.S., Ko, J.M., Park, J.H., Too, C.O., and Wallace, G.G., Preparation and enhanced stability of flexible supercapacitor prepared from Nafion/polyaniline nanofiber, Synthetic Metals, 2010, vol. 160, p. 94.
- Cong, H.P., Ren, X.C., Wang, P., and Yu, S.H., Flexible graphene–polyaniline composite paper for high-performance supercapacitor, Energy Environ. Sci., 2013, vol. 6, p.1185.
- Yang, M., Cheng, B., Song, H., and Chen, X., Preparation and electrochemical performance of polyaniline-based carbon nanotubes as electrode material for supercapacitor, Electrochim. Acta, 2010, vol. 55, p. 7021.
- Vorotyntsev, M.A., Konev, D.V., Devillers, Ch.H., Bezverkhyy, I., and Heintz, O., Electroactive polymeric material with condensed structure on the basis of magnesium (II) polyporphine, Electrochim. Acta, 2011, vol. 56, p. 3436.
- Volfkovich, Yu.M., Sergeev, A.G., Zolotova, T.K., Afanasiev, S.D., Efimov, O.N., and Krinichnaya, E.P., Macrokinetics of polyaniline based electrode: effects of porous structure, microkinetics, diffusion, and electrical double layer, Electrochim. Acta, 1999, vol. 44, p. 1543.
- Algharaibeh, Z. and Pickup, P.G., An asymmetric supercapacitor with anthraquinone and dihydroxybenzene modified carbon fabric electrodes, Electrochem. Commun., 2011, vol. 13, p. 147.
- Beliakov, A.I. and Brintsev, A.M., Hybrid supercapacitor NiOOH / KOH/C/. Proc. 9th Int. Seminar on Double Layer Capacitors and Similar Energy Storage Devices. Deerfield Beach. Florida, 1999, V. 9.
- Volfkovich, Yu.M. and Shmatko, P.A., Electric Double Layer Capacitor, Patent US 6, 628, 504, 2003.
- Banerjee, A., Ravikumar, M.K., Jalajakshi, A., Kumar, P.S., Gaffoor, S.A., and Shukla, A.K., Substrate integrated Lead-Carbon hybrid ultracapacitor with flooded, absorbent glass mat and silica-gel electrolyte configurations, J. Chem. Sci., 2012, vol.124, p. 747.
- Kosova, N.V., Kulova, T.L., Nikolskaya, N.F., Podgornova, O.A., Rychagov, A.Yu., Sosenkin, V.E., and Volfkovich, Yu.M., Effect of porous structure of Li on its performance in hybrid supercapacitor, J. Solid State Electrochem., 2019, vol. 23, p. 1981.
- Singh, M.K. and Hashmi, S.A., Performance of solid-state hybrid supercapacitor with /AC composite cathode and as anode, Ionics, 2017, vol. 23, p. 1.
- Li, H., Cheng, L., and Xia, Y.A., Hybrid electrochemical supercapacitor based on a 5 V Li-Ion battery cathode and active carbon, Electrochem. Solid-State Lett., 2005, vol. 8, p. A433.
- Genc, R., Alas, M.O., Harputlu, E., Repp, S., Kremer, N., Castellano, M., Colak, S.G., Ocakoglu, K., and Erdem, E., High-Capacitance Hybrid Supercapacitor Based on Multi-Colored Fluorescent Carbon-Dots, 2017, Scientific reports 7. Article number: 11222, p. 1.
- Cai, J.J., Kong, L.B., Zhang, J., Luo, Y.C., and Kang, L., A novel polyaniline/mesoporous carbon nano-composite electrode for asymmetric supercapacitor, Chinese Chem. Lett., 2010, vol. 21, p. 1509.
- Lu, Y., Zhang, S., Yin, J., Bai, C., Zhang, J., Li, Y., Yang, Y., Ge, Z., Zhang, M., Wei, L., Ma, M., Ma,Y., and Chen, Y., Mesoporous activated carbon materials with ultrahigh mesopore volume and effective specific surface area for high performance supercapacitors, Carbon, 2017, vol. 124, p. 64.
- Efimov, M.N., Sosenkin, V.E., Volfkovich, Yu.M., Vasilev, A.A., Muratov, D.G., Baskakov, S.A., Efimov, O.N., and Karpacheva, G.P., Electrochemical performance of polyacrylonitrile-derived activated carbon prepared via IR pyrolysis, Electrochem. Commun., 2018, vol. 96, p. 98.
- Borenstein, A., Hanna, O., Attias, R., and Luski, S., Thierry Brousse and Doron Aurbach. Carbon-based composite materials for supercapacitor electrodes: a review, J. Mater. Chem., A, 2017, vol. 5, p. 12653.
- Volfkovich, Yu.M., Bograchev, D.A., Mikhalin, A.A., and Bagotsky, V.S., Supercapacitor carbon electrodes with high capacitance, J. Solid State Electrochem., 2014, vol. 18, p. 1351.
- Ariyanto, T., Glaesel, J., Kern, A., Zhang, G., and Etzold, B.J., Improving control of carbide-derived carbon microstructure by immobilization of a transition-metal catalyst within the shell of carbide/carbon core–shell structures, Beilstein J. Nanotechnol., 2019, vol. 10, p. 419.
- Krüner, B., Odenwald, C., Tolosa, A., Schreiber, A., Aslan, M., Kickelbick, G., and Presser, V., Carbide-derived carbon beads with tunable nanopores from continuously produced polysilsesquioxanes for supercapacitor electrodes, Sustainable Energy Fuels, 2017, vol. 1, p. 1588.
- Dhaka, T.P., Chapter 8 - Simple Parallel-Plate Capacitors to High–Energy Density Future Supercapacitors: A Materials Review (Carbide-Derived Carbon- an overview), Emerging Materials for Energy Conversion and Storage, 2018, p. 247.
- Yang, X., Fei, B., Ma, J., Liu, Liu, X., Yang, S., Tian, G., Jiang, Z., Yang, S., Tian, G., and Jiang, Z., Porous nanoplatelets wrapped carbon aerogel by pyrolysis of regenerated bamboo cellulose aerogels as supercapacitor electrodes, Carbohydrate Polymers, 2018, vol. 180, p. 385.
- Yang, Z., Tian, J., Yin, Z., Cui, C., Qian, W., and Wei, F., Carbon nanotube- and graphene-based nanomaterials and applications in high-voltage supercapacitor: A review, Carbon, 2019, vol. 141, p. 467.
- Chee, W.K., Lim, W.K., Zainal, H.N, Huang, Z., Harrison, N.M., and Andou, Y., Flexible Graphene-Based Supercapacitors: A Review, J. Phys. Chem. C, 2016, vol. 120, p. 4153.
- Eftekhari, A., Shulga, Y.M., Baskakov, S.A., and Gutsev, G.L., Graphene oxide membranes for electrochemical energy storage and conversion, Intern. J. Hydrogen Energy, 2018, vol. 43, p. 2307.
- Shulga, Yu.M., Baskakov, S.A., Baskakova, Yu.V., Lobach, A.S., Kabachkov, E.N., Volfkovich, Yu.M., Sosenkin, V.E., Shulga, N.Yu., Nefedkin, S.I., Kumar, Y., and Michtchenko, A., Preparation of graphene oxide-humic acid composite-based ink for printing thin film electrodes for micro-supercapacitors, J. Alloys and Compounds, 2018, vol. 730, p. 88.
- Shulga, Yu.M., Baskakov, S.A., Baskakova, Y.V., Lobach, A.S., Volfkovich, Yu.M., Sosenkin, V.E., Shulga, N.Y., Parkhomenko, Y.N., Michtchenko, A., and Kumar, Y., Hybrid porous carbon materials derived from composite of humic acid, Microporous and Mesoporous Mater., 2017, vol. 245, p. 24.
- Kryazhev, Yu.G., Volfkovich, Yu.M., Mel’nikov, V.P., Rychagov, A.Yu., Trenikhin, M.V., Solodovnichenko, V.S., and Likholobov, V.A., Synthesis and study of electrochemical properties of nanocomposites with graphene-like particles integrated into a high-porosity carbon matrix, Protection of Metals and Phys. Chem. of Surfaces, 2017, vol. 53, p. 422.
- Ke, Q. and Wang, J., Graphene-based materials for supercapacitor electrodes e A review, J. Materiomics, 2016, vol. 2, p. 37.
- Lee, H. and Lee, K.S., Interlayer distance controlled graphene, supercapacitor and method of producing the same, Patent US 10, 214, 422 B2, 2019.
- Mohammadi, A., Arsalani, N., Tabrizi, A.G., Moosavifard, S.E., Naqshbandi, Z., and Ghadimi, L.S., Engineering rGO-CNT wrapped Co3S4 nanocomposites for high-performance asymmetric supercapacitors, Chem. Engineering J., 2018, vol. 334, p. 66.
- Volfkovich, Yu. M., Lobach, A.S., Spitsyna, N.G., Baskakov, S. A., Sosenkin, V.E., Rychagov, A.Yu., Kabachkov, E.N., Sakars, A., Michtchenko, A., and Shulga, Yu.M., Hydrophilic and Hydrophobic Pores in Reduced Graphene Oxide Aerogel, J. Porous Mater. 2019, vol. 26, p. 1111.
- Langendahl, P.-A., Roby, H., Potter, S., and Cook, M., Smoothing peaks and troughs: Intermediary practices to promote demand side response in smart grids, Energy Res. Soc. Sci., 2019, vol. 58, 101277.
- Chapaloglou, S., Nesiadis, A., Iliadis, P., Atsonios, K., Nikolopoulos, N., Grammelis, P., Yiakopoulos, C., Antoniadis, I., and, Kakaras, E., Smart energy management algorithm for load smoothing and peak shaving based on load forecasting of an island’s power system, Appl. Energy, 2019, vol. 238, p. 627.
- Reihani, E., Motalleb, M., Ghorbani, R., and Saad Saoud, L., Load peak shaving and power smoothing of a distribution grid with high renewable energy penetration, Renew. Energy. 2016, vol. 86, p. 1372.
- Shabshab, S.C., Lindahl, P.A., Nowocin, J.K., Donnal, J., Blum, D., Norford, L., and Leeb, S.B., Demand Smoothing in Military Microgrids through Coordinated Direct Load Control, IEEE Trans. Smart Grid, 2020, vol. 11, p. 1917.
- Yadav, N., Yadav, Ne., and Hashmi, S.A., Ionic liquid incorporated, redox-active blend polymer electrolyte for high energy density quasi-solid-state carbon supercapacitor, J. Power Sources, 2020, vol. 451, p. 1.
- Eftekhari, A., Supercapacitors tilizing ionic liquids, Energy Storage Mater., 2017, vol. 9, р.47.
- Bodin, C., Mourad, E., Zigah, D., Le, S., Vot, S.A., Freunberger, F., Favier, and Fontaine, O., Biredox ionic liquids: new opportunities toward high performances supercapacitors, Faraday Discussions, 2017, vol. 22, p.1.
- Lu, Y., Zhang, S., Yin, J., Bai, C., Zhang, J., Li, Y., Yang, Z., Ge, M., Zhang, L., Wei, M., Ma, M., Ma, Y., and Chen, Y., Mesoporous activated carbon materials with ultrahigh mesopore volume and effective specific surface area for high performance supercapacitors, Carbon, 2017, vol. 124, р. 64.
- Denshchikov, K.K., Izmaylova, M.Y. Zhuk, A.Z., Vygodskii, Y.S., Novikov, V.T., and Gerasimov, A.F., 1-Methyl-3-butylimidazolium tetraflouroborate with activated carbon for electrochemical double layer supercapacitors, Electrochim. Acta, 2010, vol.55, p. 7506.
- Budkov, Y.A., Kolesnikov, A.L., Goodwin, Z.A., Kiselev, M.G., and Kornyshev, A.A., Theory of electrosorption of water from ionic liquids, Electrochim. Acta, 2018, vol. 284, p. 346.
- Lin, Z., Barbara, D., Taberna, P.L, Katherine, Van Aken, L., Anasori, B., Gogotsi, Y., and Simon, P., Capacitance of Ti3C2TxM. Xene in ionic liquid electrolyte, J. Power Sources, 2016, vol. 326, p. 575.
- Yochelis, A., Transition from non-monotonic to monotonic electrical diffuse layers: impact of confinement on ionic liquids, Phys. Chem. Chem. Phys., 2014, vol.16, p. 2836.
- Ruiz, V., Huynh,T., Sivakkumar, S.R., and Pandolfo, A.G. Ionic liquid–solvent mixtures as supercapacitor electrolytes for extreme temperature operation, RSC Adv., 2012, vol. 2, p. 5591.
- Newell, R., Faure-Vincent, J., Iliev, B., and Schubert, T., A new high performance ionic liquid mixture electrolyte for large temperature range supercapacitor applications (− 70° C to 80° C) operating at 3.5 V cell voltage, Electrochim. Acta, 2018, vol. 267, p. 15.
- Zaccagnini, P., Serrapede, M., Armandi, M., and Bianco, S., A High-Temperature High-Pressure Supercapacitor based on Ionic Liquids for harsh environment applications, Electrochim. Acta, 2023, vol. 447, 142124.
- Huang, P., Pech, D., Lin, R., McDonough, J.K., On-chip micro-supercapacitors for operation in a wide temperature range, Electrochem. Commun., 2013, vol. 36, p.53.
- Chodankar, N.R., Patil, S.J., and Hwang, S.K., Supercapacitors operated at extremely low environmental temperatures, J. Mater. Chem., A, 2021, vol. 9, 26603.
- Zaccagnini, P., di Giovanni, D., Gomez, M.G., and Passerini, S., Flexible and high temperature supercapacitor based on laser-induced graphene electrodes and ionic liquid electrolyte, a de-rated voltage analysis, Electrochim. Acta, 2020, vol. 357, 136838.
- Dagousset, L., Pognon, G., Nguyen, G.T., and Vidal, F., Electrochemical characterisations and ageing of ionic liquid/γ-butyrolactone mixtures as electrolytes for supercapacitor applications over a wide temperature range, J. Power Sources, 2017, vol. 359, p. 242.
- Lee, J.H., Chae, J.S., Jeong, J.H., and Ahn, H.J., An ionic liquid incorporated in a quasi-solid-state electrolyte for high-temperature supercapacitor applications, Chem. Commun., 2019, vol. 55, p.15081.
- Shen, B., Guo, R., Lang, J., Liu, L., and Liu, L., A high-temperature flexible supercapacitor based on pseudocapacitive behavior of FeOOH in an ionic liquid electrolyte. J. Mater.Chem., A, 2016, vol. 4, p. 8316.
- Lu, N., Na, R., Li, L., Zhang, C., and Chen, Z. Rational design of antifreezing organohydrogel electrolytes for flexible supercapacitors, ACS Appl. Energy Mater., 2020, vol. 3, p. 1944.
- Wang, Z., Cheng, J., Zhou, J., Zhang, J., Huang, H., and Yang, J., All-climate aqueous fiber-shaped supercapacitors with record areal energy density and high safety, Nano Energy, 2018, vol. 50, p. 106.
- Jung, G., Lee, H., Park, H., Kim, J., Kim, J.W., and Kim, D.S. Temperature-tolerant flexible supercapacitor integrated with a strain sensor using an organohydrogel for wearable electronics, Chem. Engineering J., 2022, vol. 450, 138379.
- Zheng, Q., Li, X., Yang, Q., Li, C., Liu, G., and Wang, Y., High performance solid-state supercapacitors based on highly conductive organogel electrolyte at low temperature, J. Power Sources, 2022, vol. 524, 231102.
- Chen, M., Shi, X., Wang, X., Liu, H., Wang, S., and Meng, C., Low-temperature and high-voltage planar micro-supercapacitors based on anti-freezing hybrid gel electrolyte, J. Energy Chem., 2022, vol. 72, p.195.
- Yang, L., Zhou, G., Jin, Y., Sun, Y., Liu, Q., and Chen, C., Spatially confined building of environmental-adaptive hydrogel electrolyte for supercapacitors, J. Power Sources, 2022, vol. 548, 232015.
- Peng, K., Zhang, J., Yang, J., Lin, L., and Gan, Q., Green Conductive Hydrogel Electrolyte with Self-Healing Ability and Temperature Adaptability for Flexible Supercapacitors, ACS Appl. Mater. Interfaces, 2022, vol. 14, p. 39404.
- Liu, Z., Zhang, J., Liu, J., Long, Y., and Fang, L., Highly compressible and superior low temperature tolerant supercapacitors based on dual chemically crosslinked PVA hydrogel electrolytes, J. Mater. Chem., A, 2020, vol. 8, p. 6219.
- Wang, X., Zhang, Q., Zhao, L., and Hadi, M.K., A renewable hydrogel electrolyte membrane prepared by carboxylated chitosan and polyacrylamide for solid-state supercapacitors with wide working temperature, J. Power Sources, 2023, vol. 560, 232704.
- Wang, J., Gao, C., Hou, P., Liu, Y., Zhao, J., and Huo, P., All-bio-based, adhesive and low-temperature resistant hydrogel electrolytes for flexible supercapacitors, Chem. Engineering J., 2023, vol. 455, 140952.
- Wu, Y., Wang, S., Sang, M., Shu, Q., Zhang, J., and Xuan, S., A safeguarding and high temperature tolerant organogel electrolyte for flexible solid-state supercapacitors, J. Power Sources, 2021, vol. 505, 230083.
- Ye,W., Wang, H., Ning, J., Zhong, Y., and Hu, Y., New types of hybrid electrolytes for supercapacitors, J. Energy Chem., 2021, vol. 57, p. 219.
- Qian, Y., Yu, Y., Wu, M., Fan, Q., and Chai, C., Wide‐Temperature Flexible Supercapacitor of Organohydrogel Electrolyte and Its Combined Electrode, Chem. Europ. J., 2023, e202300123.
- Jiang,Y., Ma, K., Sun, M., Li,Y., and Liu, J., All‐Climate Stretchable Dendrite‐Free Zn‐Ion Hybrid Supercapacitors Enabled by Hydrogel Electrolyte Engineering, Energy and Environmental Mater., 2022, vol. 6, e12357.
- Lu, С. and Chen, X., All-temperature flexible supercapacitors enabled by antifreezing and thermally stable hydrogel electrolyte, Nano Lett., 2020, vol. 20, p. 1907.
- Hu, Q., Cui, S., Sun, K., Shi, X., Zhang, M., and Peng, H., An antifreezing and thermally stable hydrogel electrolyte for high-performance all-in-one flexible supercapacitor, J. Energy Storage, 2022, vol. 50, 104231.
- Xu, J., Jin, R., Ren, X., and Gao, G., A wide temperature-tolerant hydrogel electrolyte mediated by phosphoric acid towards flexible supercapacitors, Chem. Engineering J., 2021, vol. 413, 127446.
- Li, X., Liu, L., Wang, X., Ok, Y.S., Elliott, J.A., and Chang, S.X., Flexible and self-healing aqueous supercapacitors for low temperature applications: polyampholyte gel electrolytes with biochar electrodes, Scientific reports, 2017, vol. 7, 1685.
- Chi, F., Hu, Y., He, W., Weng, C., Cheng, H., Li, C., and Qu, L., Graphene Ionogel Ultra‐Fast Filter Supercapacitor with 4 V Workable Window and 150° C Operable Temperature, Nano- Micro Small, 2022, vol. 18, 2200916.
- Liu, Y., Li, H., Wang, X., Lv, T., Dong, K., and Chen, Z., Flexible supercapacitors with high capacitance retention at temperatures from− 20 to 100° C based on DMSO-doped polymer hydrogel electrolytes, J. Mater. Chem., A, 2021, vol. 9, p. 12051.
- Zhang, X., Chang, Y.U., and Jinhe, Y.U., Recent progress of polymer electrolytes for supercapacitors under extreme environments, Energy Storage Sci. and Technol., 2022, vol. 11, p. 3808.
- Yang, Y., Wang, K.P., Zang, Q., Shi, Q., and Wang, Y., Anionic organo-hydrogel electrolyte with enhanced ionic conductivity and balanced mechanical properties for flexible supercapacitors, J. Mater. Chem., A, 2022, vol. 10, p. 11277.
- Zhong, M., Tang, Q.F., Zhu, Y.W., and Chen, X.Y., An alternative electrolyte of deep eutectic solvent by choline chloride and ethylene glycol for wide temperature range supercapacitors, J. Power Sources, 2020, vol. 452, 227847.
- Lu, X., Jiménez-Riobóo, R.J., and Leech, D., Aqueous-Eutectic-in-Salt Electrolytes for High-Energy-Density Supercapacitors with an Operational Temperature Window of 100° C, from− 35 to+ 65° C, ACS Appl. Mater. Interfaces, 2020, vol. 12, p. 29181.
- Wei,W., Chen, W., Mi, L., Xu, J., and Zhang, J., High-rate performance aqueous-based supercapacitors at− 30° C driven by novel 1D Ni (OH) 2 nanorods and a two-solute electrolyte, J. Mater. Chem., A, 2021, vol. 9, p. 23860.
- Fischer, J., Pohle, B., Dmitrieva, E., and Thümmler, K., Symmetric supercapacitors with cellulose-derived carbons and Na2SO4 electrolytes operating in a wide temperature range, J. Energy Storage, 2022, vol. 55, 105725.
- Sun, Y., Wang, Y., Liu, L., Liu, B., Zhang, Q., and Wu, D., Towards the understanding of acetonitrile suppressing salt precipitation mechanism in a water-in-salt electrolyte for low-temperature supercapacitors, J. Mater. Chem., A, 2020, vol. 8, 17998.
- Iwama, E., Taberna, P.L., Azais, P., and Brégeon, L., Characterization of commercial supercapacitors for low temperature applications, J. Power Sources, 2012, vol. 219, p. 235.
- Borges, R.S., Reddy, A.L., Rodrigues, M.T., and Gullapalli, H., Supercapacitor operating at 200 degrees celsius, Scientific reports, 2013, http://creativecommons.org/licenses/by-nc-sa/3.0
- Wang, Z., Chu, X., Xu, Z., Su, H., Yan, C., and Liu, F., Extremely low self-discharge solid-state supercapacitors via the confinement effect of ion transfer, J. Mater. Chem., A, 2019, vol. 7, p. 8633.
- Tu, J., Pan, J., Liu, X., Yan,Y., Shi,Y., and Yu, X., A flexible solid-state supercapacitor with extreme low-temperature tolerance based on an ion conducting ice gel electrolyte, J. Mater. Chem., A, 2022, vol. 10, p. 7036.
- Chaichi, A., Venugopalan, G., and Devireddy, R., A solid-state and flexible supercapacitor that operates across a wide temperature range, ACS Appl. Energy Mater., 2020, vol. 3, p. 5693.
- Liu, L., Liu, C., Wang, M., Li, B., Wang, K., Fan, X., and Li, N., Low self-discharge all-solid-state electrochromic asymmetric supercapacitors at wide temperature toward efficient energy storage, Chem. Engineering J., 2023, vol. 456, 141022.
- Liu, L., Dou, Q., Sun, Y., Lu,Y., Zhang, Q., and Meng, J., A moisture absorbing gel electrolyte enables aqueous and flexible supercapacitors operating at high temperatures, J. Mater. Chem., A, 2019, vol. 7, p. 20398.
- Hong, J., Liu, J., Xiong, Qin, S., Xu, X., and Meng, X., Temperature-dependent pseudocapacitive behaviors of polyaniline-based all-solid-state fiber supercapacitors, Electrochem. Commun., 2023, vol. 148, 107456.
- Liu, J., Khanam, Z., Ahmed, S., Wang, and Wang, T., A study of low-temperature solid-state supercapacitors based on Al-ion conducting polymer electrolyte and graphene electrodes, J. Power Sources, 2021, vol. 488, 229461.
- Asbani, B., Douard, C., Brousse, T., and Le Bideau, J., High temperature solid-state supercapacitor designed with ionogel electrolyte, Energy Storage Mater., 2019, vol. 21, p. 439.
- Qiu, Y., Wang, Z., Jin, M., Chen, J, Miao, C., Zhang, S., and Lai, L., Amorphous carbon interweaved mesoporous all-carbon electrode for wide-temperature range supercapacitors, Electrochim. Acta, 2022, vol. 424, 140622.
- Sun, L., Zhou,Y., Li, L., Zhou, H., Liu, X., and Zhang, Q., Facile and green synthesis of 3D honeycomb-like N/S-codoped hierarchically porous carbon materials from bio-protic salt for flexible, temperature-resistant supercapacitors, Appl. Surface Sci., 2019, vol. 467–468, p. 382.
- Tõnurist, K., Thomberg, T., and Jänes, A., Specific performance of supercapacitors at lower temperatures based on different separator materials, J. Electrochem. Soc., 2013, vol. 160, p. A449.
- Kim, D.W., Jung, S.M., and Jung, H.Y., Long term thermostable supercapacitor using in-situ SnO2 doped porous graphene aerogel, J. Power Sources, 2020, vol. 448, 227422.
- Zang, X., Zhang, R., Zhen, Z., Lai, W., Yang, C., and Kang, F., Flexible, temperature-tolerant supercapacitor based on hybrid carbon film electrodes, Nano Energy, 2017, vol. 40, p. 224.
- Weng, Y.T., Pan, H.A., Wu, N.L., and Chen, G.Z., Titanium carbide nanocube core induced interfacial growth of crystalline polypyrrole/polyvinyl alcohol lamellar shell for wide-temperature range supercapacitors, J. Power Sources, 2015, vol. 274, p. 1118.
- Pan, H.A., Ghodbane, O., and Weng, Y.T., Investigating mechanisms underlying elevated-temperature-induced capacity fading of aqueous MnO2 polymorph supercapacitors: cryptomelane and birnessite, J. Electrochem. Soc., vol. 162, p. A5106.
- Pang, M., Long, G., Jiang, S., Ji, Y., Han, W., Wang, B., and Liu, X., One pot low-temperature growth of hierarchical δ-MnO2 nanosheets on nickel foam for supercapacitor applications, Electrochim. Acta, 2015, vol. 161, p. 297.
- Iqbal, M., Saykar, N.G., Arya, A., and Banerjee, I., High-performance supercapacitor based on composite for wide range temperature application, J. Alloys and Compounds, 2021, vol. 883, 160705.
- Gupta, R.K., Candler, J., Palchoudhury, S., and Ramasamy, K., Flexible and High Performance Supercapacitors Based on for Wide Temperature Range Applications, Scientific reports, 2015, vol. 5, 15265.
- Sun,Y., Ma, P., Liu,L., Chen, J., Zhang, X., and Lang, J., Solar‐thermal driven self‐heating of micro‐supercapacitors at low temperatures, Solar RRL, 2018, vol. 2, 1800223.
- Ma, P., Sun, Y., Zhang, X., Chen, J., Yang, B., and Zhang, Q., Spinel-type solar-thermal conversion coatings on supercapacitors: An effective strategy for capacitance recovery at low temperatures, Energy Storage Materials, 2019, vol. 23, p. 159.
- Yu, X., Li, N., Zhang, S., Liu, C., Chen, L., and Xi, M., Enhancing the energy storage capacity of graphene supercapacitors via solar heating, J. Mater.Chem., A, 2022, vol. 10, p. 3382.
- Wu, X., Meng, L., Wang, Q., Zhang, W., and Wang, Y., Outstanding performance supercapacitor based on the ternary graphene-silver-polypyrrole hybrid nanocomposite from− 45 to 80°C, Mater. Chem. and Phys., 2018, vol. 206, p. 259.
- Chao, J., Yang, L, Liu, J., Hu, R., and Zhu, M., Oxygen-Incorporated and Polyaniline-Intercalated 1T/2H Hybrid MoS2 Nanosheets Arrayed on Reduced Graphene Oxide for High-Performance Supercapacitors, J. Phys. Chem. C, 2018, vol. 122, 15, p. 8128.
- Zhou, Y., Ghaffari, M., Lin, M., Xu, H., Xie, H., and Koo, C.M., High performance supercapacitor under extremely low environmental temperature, RSC Adv., 2015, vol. 5, p. 71699.
- Huang, J., Han, S., Zhu, J., Wu, Q., and Chen, H., Mechanically Stable All Flexible Supercapacitors with Fracture and Fatigue Resistance under Harsh Temperatures, Advanced Functional Mater., 2022, vol. 32, 2205708.
- Kumaravel, V., Bartlett, J., and Pillai, S.C., Solid electrolytes for high‐temperature stable batteries and supercapacitors, Advanced Energy Mater., 2021, vol. 11, 2002869.
- Kim, D.W., Jung, S.M., and Jung, H.Y., A super-thermostable, flexible supercapacitor for ultralight and high performance devices, J. Mater. Chem., A, 2020, vol. 8, p. 532.
- Marie-Francoise, J.N., Gualous, H., and Berthon, A., Supercapacitor thermal-and electrical-behaviour modelling using ANN, IEE Proceedings-Electric Power Appl., 2006, vol. 153, p. 255.
Supplementary files






