Influence of the nature of a heterogeneous dopant on the transport and thermodynamic properties of composites based on n-methyl-n-butyl-piperidinium tetrafluoroborate
- Authors: Ulikhin A.S.1, Izmodenova A.V.1,2, Uvarov N.F.1
-
Affiliations:
- Institute of Solid State Chemistry and Mechanochemistry, Siberian Branch of the Russian Academy of Sciences
- Novosibirsk State University
- Issue: Vol 60, No 1 (2024)
- Pages: 85-92
- Section: Articles
- URL: https://bakhtiniada.ru/0424-8570/article/view/259417
- DOI: https://doi.org/10.31857/S0424857024010115
- EDN: https://elibrary.ru/GFDOCK
- ID: 259417
Cite item
Full Text
Abstract
Composite solid electrolytes based on n-methyl-n-butyl-piperidinium tetrafluoroborate [(CH3)(C4H9)C5H10N]BF4–A (where A is γ-Al2O3, SiO2) were synthesized and their thermal and electrically conductive properties have been studied. It was found that the conductivity of the [C10H22N]BF4–Al2O3 composites passes through a maximum at x~0.9 and reaches a value of 4.6·10-4 S/cm at 130оC for the 0.1[C10H22N]BF4–0.9Al2O3 composite. The absence of a thermal effect at the melting temperature of the ionic salt, which indicates a high ionic conductivity, indicates that at x ≥ 0.9, n-methyl-n-butyl-piperidinium tetrafluoroborate is in the amorphous state and ion transfer occurs along the ionic salt/oxide phase boundary. In the case of [C10H22N]BF4 – SiO2 composites, the effect of a heterogeneous dopant on ion transport is less significant and the conductivity is due to the ionic salt of the additive present in the pores.
Full Text
Влияние природы гетерогенного допанта на транспортные и термодинамические свойства композитов на основе тетрафторбората н-метил-н-бутил-пиперидиния1
ВВЕДЕНИЕ
В отличие от жидких электролитов, широко используемых в различных электрохимических устройствах, твердые электролиты обладают механической стабильностью, являются пожаробезопасными и низкотоксичными. Одними из перспективных материалов для использования в качестве твердых электролитов являются органические соли с пластической фазой, которая характеризуется высоким структурным беспорядком в кристаллической решетке [1, 2]. Наличие ориентационного разупорядочения и конформационных движений органических фрагментов позволяет таким соединениям пластически течь под нагрузкой, и называются они пластическими кристаллами [3]. Благодаря таким свойствам электролитов на основе органических пластических кристаллов может быть обеспечена механическая совместимость с электродами при изменении объема при сохранении разветвленного контакта на границе электрод/электролит.
Ранее было показано, что гетерогенное допирование оксидом алюминия тетрафторбората тетрабутиламмония приводит к стабилизации высокотемпературной ориентационно-разупорядоченной фазы, что способствует существенному росту ионной проводимости, достигающей значения 2.1·10-4 См/см при 130 оC [4, 5]. Использование высокопористого соединения MIL-101 (Cr) в качестве гетерогенного допанта также приводит к заметному росту ионной проводимости за счет стабилизации высокотемпературной фазы в порах допанта [6]. В работе [7] показано, что введение наноалмазов приводит к росту ионной проводимости тетра- фторбората триэтилметиламина (C2H5)3CH3NBF4. Пономарева с соавторами в своей работе показала, что использование в качестве гетерогенного допанта оксида кремния позволяет стабилизировать высокотемпературную фазу гидросульфата тетра- этиламмония (C2H5)4NHSO4 и получить твердые протонные электролиты с ионной проводимостью 7·10-3 См/см при 220 оC и 10-4 См/см при 110 оC [8].
В настоящей работе проведен синтез и исследование термических свойств и проводимости композиционных твердых электролитов на основе тетрафторбората н-метил-н-бутил-пиперидиния [(CH3)(C3H9)C5H10N]BF4, допированного оксидом алюминия γ-Al2O3, обладающего величиной удельной поверхности ~200 м2/г, и оксидом кремния SiO2 с величиной удельной поверхности ~450 м2/г.
ЭКСПЕРИМЕНТАЛЬНАЯ ЧАСТЬ
Соль тетрафторборат н-метил-н-пропил-пиперидиния синтезировали в две стадии:
получение бромида н-метил-н-пропил-пиперидиния из метилпиперидиния н-бутилбромида по реакции (1):
(CH3)C5H10N + C4H9Br → [(CH3)(C4H9)C5H10N]Br , (1)
получение тетрафторборат н-метил-н-пропил-пиперидиния путем замещения по реакции (2):
2[(CH3)(C4H9)C5H10N]Br + Pb(BF4)2 →
→ [(CH3)(C4H9)C5H10N]BF4 + PbBr2↓. (2)
Полученный продукт очищали путем перекристаллизации из спирта и сушили при 100 оC в вакуумном сушильном шкафу.
Оксид алюминия (γ-Al2O3 удельная поверхность 200 м2/г, спецификация ИКТ-02-6М, производство Catalyst Inc., Новосибирск, Россия) был предварительно выдержан при 600 оC в течение 2 ч для дегидратации. Оксид кремния (SiO2 мелкопористый марки КСМГ, удельная поверхность ~ 450 м2/г) был предварительно выдержан при 150 oC в вакуумном сушильном шкафу в течение 2 ч для дегидратации.
Композиты (1– x)[(CH3)(C4H9)C5H10N]BF4–xA (где A – γ-Al2O3, SiO2; x – мольная доля) были приготовлены в широком диапазоне составов (0 ≤ x ≤ 0.965 с шагом 0.05–0.1) из предварительно дегидратированных компонентов. Исходные компоненты были смешаны в расчетных соотношениях в агатовой ступке в сухом перчаточном боксе. Полученные смеси были нагреты в вакуумном сушильном шкафу до 170 оС, после чего выдерживались при данной температуре в течение 1 ч, после чего были охлаждены до комнатной температуры. Термические свойства соединений были изучены на дифференциальном сканирующем калориметре ДСК500 (скорость нагрева 10 град/мин). Образцы представляли собой таблетки, спрессованные под давлением 3.5 МПа вместе с двумя порошковыми серебряными электродами. Проводимость чистой ионной соли измерялась из расплава. Измерения проводили в вакууме 5·10-2 торр в диапазоне температур 30-160 оС на переменном токе с помощью прецизионного измерителя электрических параметров Hewlett Packard НР 4284А в диапазоне частот 30 Гц – 1 МГц. Проводимость рассчитывалась путем анализа годографов импеданса в координатах Найквиста Z ”–Z’.
РЕЗУЛЬТАТЫ И ОБСУЖДЕНИЕ
Термический анализ
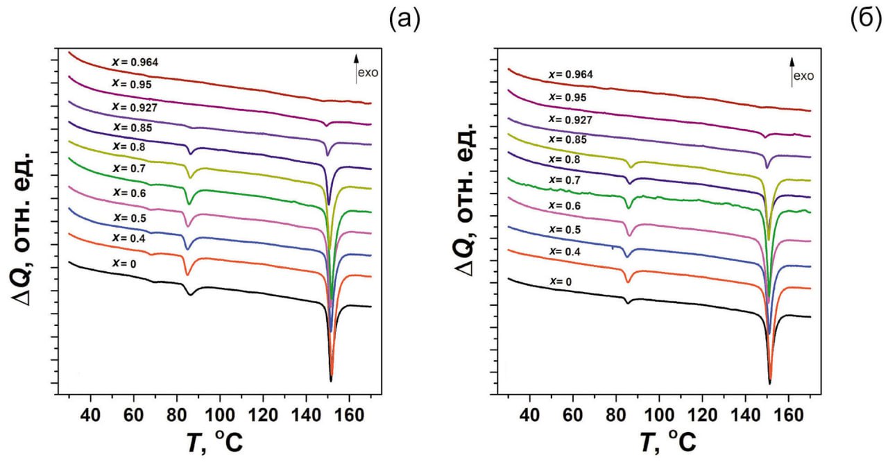
Из результатов исследования термических свойств композитов (1-x)[(CH3)(C4H9)C5H10N]BF4 – xAl2O3 методом дифференциальной сканирующей калориметрии (рис. 1) видно, что на первом нагреве в области низких температур (до 80 оС) при x > 0.8 наблюдается широкий пик, обусловленный удалением воды, сорбированной на поверхности оксида. При температурах ~80 и 150 оС наблюдаются эндотермические эффекты, обусловленные фазовым переходом в разупорядоченное состояние и плавлением соответственно, которые с увеличением концентрации оксида уменьшаются и при x ≥ 0.85 полностью исчезают. На втором нагреве тепловой эффект при T = 80 оС отсутствует, что может быть вызвано “замораживанием” высокотемпературной фазы, при этом тенденция уменьшения теплового эффекта плавления (и полное его исчезновение при x ≥ 0.85) с ростом концентрации оксида сохраняется, также наблюдается смещение температуры плавления в сторону низких температур, что обусловлено размерным эффектом [9]. Наблюдаемый эффект характерен для систем типа “ионная соль – оксид” и может быть связан с переходом ионной соли в аморфное состояние.
Рис. 1 . Результаты дифференциальной сканирующей калориметрии чистой ионной соли и композитов с различной концентрацией оксида алюминия для первого нагрева (а) и для второго нагрева (б).
Ранее подобные эффекты наблюдались в системах RbNO3–A (A=Al2O3 [10], SiO2 [11]), CsHSO4–SiO2 [12], AgI–Al2O3 [13–16] LiClO4–A (A=Al2O3 [17], MgO [18]), (CH3)2NH2Cl-Al2O3 [19], (C4H9)4NBF4–Al2O3 [4, 5]. С увеличением количества оксида алюминия в композитах наблюдается смещение эндотермических пиков плавления ионной соли в область низких температур. Данный эффект может быть обусловлен размерным эффектом [20].
Исследование термических свойств композитов методом дифференциальной сканирующей калориметрии систем (1-x)[(CH3)(C4H9)C5H10N]BF4–xSiO2 (рис. 2) показало, что введение гетерогенной добавки вплоть до x = 0.927 не приводит к снижению температуры плавления ионной соли, как в случае использования в качестве допанта оксида алюминия. Однако с увеличением концентрации наблюдается как уменьшение эндотермического теплового эффекта, обусловленного плавлением вплоть до полного исчезновения при x > 0.95 мол. доли, так и небольшое смещение температуры плавления в область низких температур.
Рис. 2. Результаты дифференциальной сканирующей калориметрии чистой ионной соли и композитов с различной концентрацией оксида кремния для первого нагрева (а) и для второго нагрева (б).
Ионная проводимость
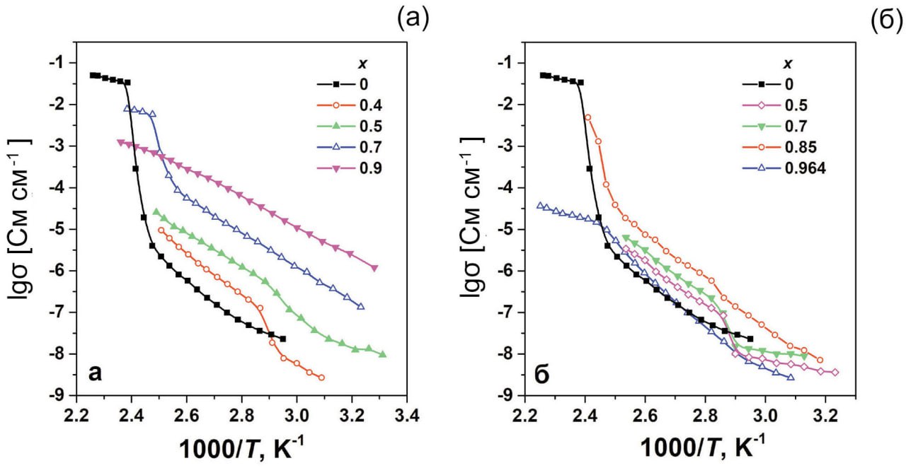
Температурные зависимости проводимости композитов (1-x)[(CH3)(C4H9)C5H10N]BF4–xAl2O3 представлены на рис. 3. Политермы проводимости для наглядности приведены в координатах lg(σ)-1/T. Проводимость чистого н-метил-н-бутил-пиперидиния тетрафторбората изменяется на два порядка (от 2.5·10-8 См/см до 2.0·10-6См/см) в диапазоне температур 80–150 oC. При температурах выше 150 oC наблюдается резкий скачок проводимости, связанный с плавлением ионной соли. Введение гетерогенной добавки приводит к росту ионной проводимости. Однако, в зависимости от типа допирующего агента, наблюдается разное влияние на удельную проводимость. Резкий рост проводимости при низких концентрациях при температуре ~80 oC соответствует переходу ионной соли в высокотемпературную ориентационно-разупорядоченную фазу. Значения проводимости хорошо воспроизводятся в циклах нагрев/охлаждение, что свидетельствует о том, что проводимость обусловлена ионами соли, а не протонами сорбированной на поверхности композитов воды. Видно, что добавка оксида алюминия приводит к более существенному росту ионной проводимости (рис. 3а) по сравнению с оксидом кремния (рис. 3б), несмотря на то, что значение удельной поверхности SiO2 выше. Помимо роста проводимости, можно видеть, что наблюдается снижение температуры начала скачка, обусловленного плавлением ионной соли. Возможной причиной этого является размерный эффект. Это приводит к тому, что резкий рост проводимости, связанный с плавлением, начинается при температурах ниже температуры плавления. Параметры ионной проводимости композитов [(CH3)(C4H9)C5H10N]BF4–A (где A –γ-Al2O3, SiO2) приведены в табл. 1. Значения рассчитывались из уравнения Аррениуса σT = Aexp(-Ea/RT) (A – предэкспоненциальный множитель, Ea – энергия активации проводимости) в области температур 80–130 oC.
Рис. 3 . Температурная зависимость проводимости композитов (1-x)[(CH3)(C4H9)C5H10N]BF4–xAl2O3 (а) и (1-x) [(CH3)(C4H9)C5H10N]BF4–xSiO2 (б).
Таблица 1. Параметры ионной проводимости композитов [(CH3)(C4H9)C5H10N]BF4–A
Соединение | σ100, См/см | Eа, эВ | lg A[Cм K/см] |
[C10H22N]BF4 | 2.04·10-7 | 1.19±0.02 | 11.93 |
0.5[C10H22N]BF4 - 0.5SiO2 | 5.78·10-7 | 1.01±0.02 | 10.08 |
0.4[C10H22N]BF4 - 0.6SiO2 | 8.11·10-7 | 1.06±0.02 | 10.80 |
0.3[C10H22N]BF4 - 0.7SiO2 | 1.04·10-6 | 1.08±0.02 | 11.19 |
0.15[C10H22N]BF4 - 0.85SiO2 | 2.56·10-6 | 1.06±0.02 | 11.39 |
0.073[C10H22N]BF4 - 0.927SiO2 | 2.70·10-6 | 1.17±0.02 | 12.91 |
0.036[C10H22N]BF4 - 0.964SiO2 | 2.51·10-7 | 1.35±0.02 | 14.30 |
0.6[C10H22N]BF4 - 0.4Al2O3 | 1.11·10-6 | 1.04±0.02 | 10.72 |
0.5[C10H22N]BF4 - 0.5Al2O3 | 3.94·10-6 | 0.94±0.02 | 9.84 |
0.3[C10H22N]BF4 - 0.7Al2O3 | 2.75·10-5 | 0.93±0.02 | 10.65 |
0.2[C10H22N]BF4 - 0.8Al2O3 | 1.48·10-4 | 0.94±0.02 | 12.24 |
0.1[C10H22N]BF4 - 0.9Al2O3 | 1.72·10-4 | 0.71±0.02 | 8.37 |
Из приведенных в таблице данных видно, что при использовании в качестве гетерогенного допанта оксида кремния энергия активации проводимости ряда составов 0.5 < x ≤ 0.85 практически не изменяется, при этом наблюдается незначительный рост проводимости с увеличением концентрации добавки. При x = 0.927 энергия активации проводимости композита соответствует энергии активации проводимости чистой ионной соли. Наблюдаемые эффекты обусловлены тем, что поверхностное взаимодействие между SiO2 и тетрафторборатом н-метил-н-бутил-пиперидиния очень мало. Таким образом, рост ионной проводимости в композитах [(CH3)(C4H9)C5H10N]BF4–SiO2 определяется уменьшением концентрации ионной соли, находящейся в свободном состоянии, и увеличением концентрации ионогенной компоненты, находящейся в порах допанта.
В случае композитов [(CH3)(C4H9)C5H10N]BF4–γ-Al2O3 наблюдается существенный рост ионной проводимости по сравнению с чистой ионной солью. Энергия активации проводимости в ряду составов 0.5 < x ≤ 0.8 практически не меняется, при этом наблюдается существенный рост проводимости с увеличением концентрации добавки. При этом энергия активации проводимости ниже по сравнению с композитами, в которых используется оксид кремния. Наблюдаемые эффекты связаны с тем, что поверхностное взаимодействие между тетрафторборатом н-метил-н-бутил-пиперидиния и оксидом алюминия приводит к аморфизации ионной соли. При x < 0.9 проводимость композитов лимитируется ионной солью, находящейся в свободном состоянии. При x = 0.9 ионный транспорт осуществляется вдоль межфазных границ.
В композитных твердых электролитах типа “ионная соль – оксид” ионный перенос реализуется вдоль интерфейса. Известно, что наиболее сильный эффект от гетерогенного допирования ионной соли нанокристаллическими оксидными добавками наблюдается для композитов, в которых в результате поверхностного взаимодействия происходит аморфизация ионной соли. Концентрационная зависимость ионной проводимости в подобных системах представляет собой куполообразный вид. Максимум проводимости в композитных твердых электролитах приходится на составы с наибольшим количеством межфазных границ. Как правило, это реализуется при объемном соотношении компонентов, близком к 1/1. Ввиду того, что гетерогенные добавки имеют разную молярную массу, то для корректного сравнения влияния природы допанта необходимо сравнивать концентрационные зависимости проводимости исследуемых композитов в зависимости от объемной доли оксида. На рис. 4 приведены изотермы проводимости в зависимости от объемной концентрации гетерогенной добавки. Для соединений, содержащих γ-Al2O3, концентрационная зависимость имеет вид, характерный для композитов, в которых ионный перенос реализуется вдоль границ раздела фаз, благодаря аморфизации ионной соли на поверхности гетерогенного допанта. Гетерогенное допирование н-метил-бутил-пиперидиния тетрафторбората оксида алюминия приводит к резкому увеличению удельной проводимости. Максимум ионной проводимости приходится на композиты с fAl2O3 ~0.5 об. доли γ-Al2O3. В случае композитов с SiO2, при введении гетерогенного допанта не наблюдается резкого увеличения ионной проводимости. Вплоть до fSiO2 ~0.27–0.30 об. доли концентрационная зависимость имеет практически линейный вид. При концентрациях оксида кремния fSiO2 > 0.3 и до 0.55 об. доли значения ионной проводимости практически не изменяются и зависимость проводимости от концентрации представляет собой плато. При концентрациях fSiO2 > 0.55 происходит резкое снижение проводимости.
Рис. 4. Концентрационные зависимости проводимости композитов [(CH3)(C4H9)C5H10N]BF4–A (где A –γ-Al2O3, SiO2) при T = 373 К.
Наблюдаемые эффекты могут быть обусловлены влиянием трех факторов:
- адгезия ионной соли к поверхности оксидной добавки;
- морфология оксидной добавки;
- размерный эффект.
В случае использования в качестве гетерогенного допанта оксида алюминия ключевое влияние на ионный перенос оказывает первый фактор, в то время как при использовании оксида кремния – второй. Размерный эффект наблюдается как в композитах с Al2O3, так и с SiO2, о чем свидетельствует смещение температуры плавления ионной соли в область низких температур с увеличением концентрации оксидной добавки.
Согласно данным дифференциальной сканирующей калориметрии и результатам исследования ионной проводимости, адгезия ионной соли к поверхности оксида алюминия существенно выше, чем к поверхности оксида кремния. В случае Al2O3 поверхностное взаимодействие приводит к аморфизации ионной соли на границе раздела фаз, что приводит к существенному росту ионной проводимости, достигая максимума при объемной доле оксида ~50 об. %. Оксид алюминия представляет собой агрегаты частиц размером ~7–10 нм, в то время как оксид кремния представляет собой крупные частицы с большим количеством пор. Ионная проводимость в системе [(CH3)(C4H9)C5H10N]BF4–SiO2 представляет собой сумму проводимости соли, находящейся в порах, и соли на поверхности оксида (в свободном состоянии). При низких концентрациях SiO2 основной вклад в ионную проводимость вносит соль, находящаяся в свободном состоянии. С увеличением содержания оксида происходит ее уменьшение и, как следствие, уменьшение вклада в общую проводимость, что обуславливает линейный рост ионной проводимости на изотермической кривой до концентрации оксида fSiO2 ~0.27–0.30 об. доли. Начиная с объемной концентрации оксида fSiO2 ~0.27–0.30 об. доли и до концентрации fSiO2 ~0.55 об. доли, проводимость обеспечивается ионной солью в порах добавки. При этом соль, находящаяся на поверхности, обеспечивает контакт с солью внутри пор. Тот факт, что удельная проводимость ионной соли в порах выше проводимости чистого соединения, говорит о том, что имеет место размерный эффект [9]. При концентрациях соли fSiO2 > 0.55 об. доли количество поверхностной соли становится мало для обеспечения непрерывного контакта, в результате чего происходит резкое снижение ионной проводимости. При высокой концентрации SiO2 (x = 0.964) скачка ионной проводимости не наблюдается, однако при температуре ~150 oC наблюдается уменьшение угла наклона кривой зависимости проводимости от температуры, что свидетельствует о сильном снижении энергии активации проводимости до значения энергии активации проводимости расплава. Это связано с тем, что происходит плавление ионной соли в порах гетерогенной добавки.
ЗАКЛЮЧЕНИЕ
Были синтезированы композиционные твердые электролиты [C10H22N]BF4–A (где A – γ-Al2O3, SiO2) в широком диапазоне составов и исследованы их термические и электропроводящие свойства. Обнаружено, что проводимость композитов [C10H22N]BF4 - Al2O3 проходит через максимум при x ~0.9 и достигает значения 4.6·10-4 См/см при 130 оС для композита 0.1[(CH3)(C4H9)C5H10N]BF4 - 0.9Al2O3. Отсутствие теплового эффекта при температуре плавления ионной соли, показывающего высокую ионную проводимость, свидетельствует о том, что при x ≥ 0.9 тетра- фторборат н-метил-н-бутил-пиперидиния находится в аморфном состоянии и ионный перенос осуществляется вдоль границы раздела фаз ионная соль/оксид. В случае композитов [(CH3)(C4H9)C5H10N]BF4 - SiO2 влияние гетерогенного допанта на ионный перенос менее значительно и можно выделить три области составов. В первой области проводимость обусловлена ионной солью в свободном состоянии, во второй области основной вклад в проводимость вносит соль, находящаяся в порах оксида кремния, и ионный перенос обусловлен размерным эффектом, в третьей области так же, как и во второй, проводимость реализуется за счет ионной соли в порах гетерогенного допанта, но при этом нарушается непрерывный контакт, что приводит к резкому снижению ионной проводимости.
ФИНАНСИРОВАНИЕ РАБОТЫ
Работа выполнена при финансовой поддержке РНФ (проект № 23-23-00556).
КОНФЛИКТ ИНТЕРЕСОВ
Авторы заявляют, что у них нет конфликта интересов.
1 Статья подготовлена по материалам доклада, представленного на Второй школе молодых ученых “Электрохимические устройства: процессы, материалы, технологии” (Новосибирск, 28–30 октября 2022 г.)
В написании фамилии одного из соавторов статьи “Специфическое поведение электрохимически генерируемого никельорганического сигма-комплекса…” (авторы И.Ф. Сахапов, З.Н. Гафуров, А.О. Кантюков, А.А. Кагилев, И.К. Михайлов, Е.М. Зуева, Д.Н. Бузюрова, В.М. Бабаев, С.А. Штейнгольц, Р.Р. Файзуллин, Г.Э. Бекмухамедов, Д.Г. Яхваров) Р.Р. Файзуллина (Russian Journal of Electrochemistry, 2022, vol. 58, no. 12, p. 1074–1082) https://doi.org/10.1134/S1023193522120060 допущена опечатка: фамилия Файзуллин должна быть транслитерирована Fayzullin, а не Faizullin.
About the authors
A. S. Ulikhin
Institute of Solid State Chemistry and Mechanochemistry, Siberian Branch of the Russian Academy of Sciences
Author for correspondence.
Email: ulikhin@solid.nsc.ru
Russian Federation, Novosibirsk
A. V. Izmodenova
Institute of Solid State Chemistry and Mechanochemistry, Siberian Branch of the Russian Academy of Sciences; Novosibirsk State University
Email: ulikhin@solid.nsc.ru
Russian Federation, Novosibirsk; Novosibirsk
N. F. Uvarov
Institute of Solid State Chemistry and Mechanochemistry, Siberian Branch of the Russian Academy of Sciences
Email: ulikhin@solid.nsc.ru
Russian Federation, Novosibirsk
References
- MacFarlane, D.R. and Forsyth, M., Plastic crystal electrolyte materials: new perspectives on solid state ionics, Adv. Mater., 2001, vol. 13, p. 957.
- Wang, X., Kerr, R., Chen, F., Goujon, N., Pringle, J.M., Mecerreyes, D., Forsyth, M., and Howlett, P.C., Toward High-Energy-Density Lithium Metal Batteries: Opportunities and Challenges for Solid Organic Electrolytes, Adv. Mater., 2020, vol. 32, p. 1905219.
- Timmermans, J., Plastic crystals: A historical review, J. Phys. Chem. Solids, 1961, vol. 18, p. 1.
- Улихин, А.С., Уваров, Н.Ф. Ионная проводимость композиционных твердых электролитов (C4H9)4NBF4–Al2O3. Электрохимия. 2021. Т. 57. С. 608. [Ulihin, A.S. and Uvarov, N.F., Ionic conductivity of composite solid electrolyte (C4H9)4NBF4–Al2O3, Russ. J. Electrochem., 2021, vol. 57, p. 1015.]
- Ulihin, A.S., Uvarov, N.F., Rabadanov, K.Sh., Gafurov, M.M., and Gerasimov, K.B., Thermal, structural and transport properties of composite solid electrolytes (1 – x)(C4H9)4NBF4–xAl2O3, Solid State Ionics, 2022, vol. 378, p. 115889.
- Ulikhin, A.S., Uvarov, N.F., Kovalenko, K.A., and Fedin, V.P., Ionic conductivity of tetra-n-butylammonium tetrafluoroborate in the MIL-101(Cr) metal-organic framework, Microporous and Mesoporous Materials, 2022, vol. 332, p. 111710.
- Алексеев, Д.В., Матейшина, Ю.Г., Уваров, Н.Ф. Влияние добавки наноалмазов на ионную проводимость органической соли (C2H5)3CH3NBF4. Электрохимия. 2022. Т.58. С. 394. [Alekseev, D.V., Mateyshina, Yu.G., and Uvarov, N.F., Effect of Nanodiamond Additives on the Ionic Conductivity of the (C2H5)3CH3NBF4 Organic Salt, Russ. J. Electrochem., 2022, vol. 58, p. 594.]
- Ponomareva, V.G., Bagryantseva, I.N., Dormidonova, D., and Uvarov, N.F., Stabilization of the (C2H5)4NHSO4 High-Temperature Phase in New Silica-Based Nanocomposite Systems, Molecules, 2022, vol. 27(24), p. 8805.
- Уваров, Н.Ф., Болдырев, В.В. Размерные эффекты в химии гетерогенных систем. Успехи химии. 2001. Т.70. С.307. [Uvarov, N.F. and Boldyrev, V.V., Size effects in chemistry of heterogeneous systems, Russ. Chem. Rev., 2001, vol. 70, p. 265.]
- Uvarov, N.F., Vanek, P., Yuzyuk, Yu.I., Zelezny, V., Studnicka, B.B., Bokhonov, B.B., Dulepov, E., and Petzelt, J., Properties of rubidium nitrate in ion-conducting RbNO3-Al2O3 nanocomposites, Solid State Ionics, 1996, vol. 90, p. 201.
- Lavrova, G.V., Ponomareva, V.G., and Uvarov, N.F., Nanocomposite ionic conductors in the system MeNO3–SiO2 (Me=Rb, Cs), Solid State Ionics, 2000, vol. 136–137, p. 1285.
- Ponomareva, V.G., Uvarov, N.F., Lavrova, G.V., and Hairetdinov, E.F., Composite protonic solid electrolytes in the CsHSO4-SiO2 system, Solid State Ionics, 1996, vol. 90, p. 161.
- Uvarov, N.F., Shastry, M.C.R., and Rao, K.J., Structure and ionic transport in aluminum oxide containing composites, Rev. Solid State Sci., 1990, vol. 4, p. 61.
- Uvarov, N.F., Hairetdinov, E.F., Bokhonov, B.B., and Bratel, N.B., High ionic conductivity and unusual thermodynamic properties of silver iodide in AgI-Al2O3 nanocomposites, Solid State Ionics, 1996, vol. 86–88, p. 573.
- Uvarov, N.F., Vanek, P., Savinov, M., Zelezny, V., Studnicka, J., and Petzelt, J., Percolation effect, thermodynamic properties of AgI and interface phases in AgI-Al2O3 composites, Solid State Ionics, 2000, vol. 127, p. 253.
- Tadanaga, K., Imai, K., Tatsumisago, M., and Minami, N., J. Electrochem. Soc., 2000, vol. 147, p. 4061.
- Ulihin, A.S., Uvarov, N.F., Mateyshina, Yu.G., Brezhneva, L.I., and Matvienko, A.A., Composite solid electrolytes LiClO4–Al2O3, Solid State Ionics, 2006, vol. 177, p. 2787.
- Улихин, А.С., Уваров, Н.Ф. Электрохимические свойства композиционных твердых электролитов LiClO4-MgO. Электрохимия. 2009. Т. 45. С. 755. [Ulihin, A.S. and Uvarov, N.F., Electrochemical properties of composition solid electrolytes LiClO4-MgO, Russ. J. Electrochem., 2009, vol. 45, p.707.]
- Улихин, А.С., Уваров, Н.Ф., Герасимов, К.Б., Искакова, А.А., Матейшина, Ю.Г. Физико-химические свойства композитов (CH3)2NH2Cl–Al2O3. Электрохимия. 2017. Т. 53. С. 936. [Ulikhin, A.S., Uvarov, N.F., Gerasimov, K.B., Iskakova, A.A., and Mateishina, Yu.G., Physicochemical properties of (CH3)2NH2Cl–Al2O3 composites, Russ. J. Electrochem., 2017, vol. 53, p. 834.]
- Uvarov, N.F. and Vanek, P., Stabilization of New Phases in Ion-Conducting Nanocomposites, J. Mater. Synthesis and Processing, 2000, vol. 8, p. 319.
Supplementary files






