Investigation of the stability of microtube membranes based on Ba0.5Sr0.5Co0.8 – xFe0.2MoxO3 – δ oxides
- Authors: Shubnikova E.V.1, Bragina O.A.1, Nemudry A.P.1
-
Affiliations:
- Institute of Solid State Chemistry and Mechanochemistry, Siberian Branch of Russian Academy of Sciences
- Issue: Vol 60, No 1 (2024)
- Pages: 57-63
- Section: Articles
- URL: https://bakhtiniada.ru/0424-8570/article/view/259409
- DOI: https://doi.org/10.31857/S0424857024010071
- EDN: https://elibrary.ru/GJMEPP
- ID: 259409
Cite item
Full Text
Abstract
The present article is devoted to the study of the stability of microtubular membranes based on Ba0.5Sr0.5Co0.8 – xFe0.2MoxO3 – δ oxides obtained by the phase inversion method. The work shows that MT membranes of the composition BSCFMx exhibit long-term stability and resistance to thermal cycling in an air/helium gradient. The maximum oxygen fluxes were achieved using an MT membrane of composition Ba0.5Sr0.5Co0.75Fe0.2Mo0.05O3 – δ (JO2 =7.6 ml*cm-2min-1 at Т=850 oС and pO2.1 = 0.21 atm). In this work, a detailed equilibrium phase diagram for the BSCFM5 oxide has been obtained. The absence of unwanted phase transitions has been demonstrated.
Full Text
Исследование стабильности микротрубчатых мембран на основе Ba0.5Sr0.5Co0.8 – xFe0.2MoxO3 – δ-оксидов1
ВВЕДЕНИЕ
Перовскиты, имеющие состав Ba0.5Sr0.5Co0.8Fe0.2O3 – δ (BSCF), являются перспективными электродами для создания твердооксидных электролизеров (ТОЭ), топливных элементов (ТОТЭ), а также мембран для очистки кислорода в каталитических реакторах [1, 2]. На сегодняшний день электродные материалы для ТОТЭ из перовскитов BSCF, в сравнении с другими электродами, имеют наилучшие значения по объемному и поляризационному сопротивлениям, а мембраны демонстрируют одни из самых высоких значений кислородной проницаемости. Тем не менее экспериментально доказано, что при T ≥ 850 oC для BSCF-оксида характерен фазовый переход с образованием гексагональной структуры [3, 4]. А это, в свою очередь, сопровождается значительным снижением транспортных характеристик материалов: согласно долговременным исследованиям, кислородный поток BSCF-оксида при T = 750 оС уменьшился в два раза по сравнению с исходным спустя ~250 ч [4].
Очевидно, что подобные фазовые превращения, сопровождающиеся уменьшением кислородной подвижности, снижают целесообразность применения BSCF в качестве электродного материала для ТОТЭ, а также как материала в каталитических мембранных реакторах, где необходима химическая устойчивость и стабильность процессов кислородного транспорта.
В работах [5–8] продемонстрировано, что введение в BSCF высокозарядных катионов Mo/W позволяет подавлять фазовые переходы за счет образования специфической микроструктуры, состоящей из структурно различных доменов нестехиометрического перовскита и двойного перовскита. Также, согласно работам [5, 6, 8], допирование BSCF высокозарядными катионами W6+ и Mo6+ приводит к стабилизации кислородных потоков на воздухе и в атмосфере СО2.
В последнее время значительный интерес вызывают мембраны на основе BSCF оксида микротрубчатой (МТ) формы [9, 10]. Микроструктура МТ-мембраны состоит из тонкого газоплотного слоя, который расположен между пористыми слоями. Это обеспечивает механическую стабильность мембраны, а развитые поверхности пористых слоев и малая толщина газоплотного слоя могут приводить к значительному увеличению кислородных потоков. В работе [7] продемонстрировано, что МТ-мембраны на основе Ba0.5Sr0.5Co0.75Fe0.2Mo0.05O3 – δ -оксидов обладают высокими значениями кислородных потоков, которые в несколько раз превышают потоки кислорода МТ-мембраны на основе BSCF. Актуальными задачами являются определение границ фазовой устойчивости материалов на основе BSCFMx, а также исследование термической и долговременной стабильности МТ BSCFMx-мембран.
Целью данной работы является синтез МТ-мембран состава Ba0.5Sr0.5Co0.8Fe0.2MoxO3 – δ (BSCFMx, x = 0; 2; 5; 10% ат.) с помощью метода фазовой инверсии, а также исследование термоциклической и долговременной стабильности полученных материалов в градиенте воздух/гелий.
ЭКСПЕРИМЕНТАЛЬНАЯ ЧАСТЬ
Оксиды состава BSCFMx, x = 0; 2; 5; 10 ат. %, были синтезированы твердофазным методом из смеси карбонатов бария/стронция и соответствующих оксидов металлов в стехиометрических соотношениях [7]. МТ-мембраны состава BSCFMx были изготовлены с помощью метода фазовой инверсии. Полисульфон (PESf), N-метил-2-пирролидон (NMP) использовали в качестве связующего и растворителя соответственно. В качестве внутреннего и внешнего коагулянтов использовали воду. Подробная методика изготовления МТ-мембран представлена в работе [7].
Кристаллическую структуру материалов BSCFMx исследовали на дифрактометре BrukerD8 Advance с высокоскоростным детектором LynxEye (СuKα-излучение). Наборы данных записывали в режиме пошагового сканирования в диапазоне 2θ 10–80о с интервалами 0,02o. Высокотемпературные дифракционные исследования проводились в высокотемпературной камере Anton Paar HTK-1200. Для изменения парциального давления в высокотемпературной камере использовали смесь газов O2/He в различных соотношениях, контролируемых с помощью газового смесителя УФПГС-4. Общий поток газовой смеси составлял 200 мл/мин. Качественный фазовый анализ выполнен с использованием базы данных ICDDPDF-4+ (2011). Уточнение параметров элементарной ячейки образцов BSCFMx проводили методом Ритвельда с использованием программы TOPAS 4.2 (Bruker, Германия) и базы данных ICDDPDF-4+ (2011 г.).
Исследование морфологии и микроструктуры МТ-мембран проводили с помощью метода сканирующей электронной микроскопии (СЭМ) на электронном микроскопе HIТACHI S3400N (разрешающая способность 3 нм; ускоряющее напряжение 30 кВ).
Эксперименты по кислородной проницаемости МТ BSCFMx-мембран проводили с помощью резистивного нагрева МТ-мембран пропусканием через них переменного электрического тока [11]. Со стороны высокого парциального давления кислорода pO2.1 МТ-мембрана обдувалась воздушной смесью O2/N2 со скоростью 150 мл/мин; со стороны низкого давления кислорода pO2.2 – гелием со скоростью 90 мл/мин. Расход газов контролировали с помощью газового смесителя УФПГС-4. Входные каналы были соединены с МТ-мембраной с помощью полимерных трубок. Серебряные контакты обеспечивали надежный контакт между МТ-мембраной и источником питания переменного тока. Температуру МТ-мембраны определяли с точностью до 0.1o с помощью инфракрасного пирометра IMPACIGA 300 через разрез в корпусе реактора, который герметизировали жаростойкой полимерной пленкой. Регулятор переменного тока, связанный с пирометром, позволил осуществлять контролируемый нагрев образца. Калибровку эксперимента проводили относительно воздуха.
Фазовая диаграмма 3-δ–lgpO2–T для BSCFMx (x = 0.05) в интервале температур 600-900 oС получена методом квазиравновесного выделения кислорода, подробно описанном в работах [12, 13].
РЕЗУЛЬТАТЫ И ОБСУЖДЕНИЯ
Структурные исследования МТ-мембран
На рис. 1 показаны данные сканирующей электронной микроскопии для микротрубчатых BSCFM5-мембран, полученных методом фазовой инверсии. Исследуемая мембрана имеет асимметричную структуру, которая состоит из центрального газоплотного слоя толщиной 20–50 мкм, расположенного между слоями с порами овальной формы длиной 60–170 мкм. Микрофотография поверхности МТ-мембраны после испытаний представлена на рис. 1г. Как можно увидеть, морфология и микроструктура поверхности МТ-мембраны после измерения кислородной проницаемости сохраняются.
Рис. 1. а, б, в – СЭМ-изображения поперечного сечения МТ-мембраны BSCFM5, изготовленной с помощью метода фазовой инверсии; г – СЭМ-изображение МТ-мембраны BSCFM5 после испытаний.
Подробные геометрические характеристики полученных МТ-мембран (состава BSCFMx, x = 0; 2; 5; 10 ат. %) суммированы в табл. 1.
Таблица 1. Геометрические параметры МТ-мембран
Параметры | BSCF | BSCFM2 | BSCFM5 | BSCFM10 |
Внутренний диаметр, мм | 0.9±0.1 | 1.25 | 1.1 | 1.04 |
Внешний диаметр, мм | 1.7±0.1 | 1.94 | 1.95 | 1.7 |
Длина, мм | 25±5 | 25 | 30 | 22 |
Толщина газоплотного слоя, мкм | 20–50 | 20–30 | 20–40 | 20–40 |
Рабочая область, см2 | 0.74–0.85 | 0.64–0.68 | 0.77–0.80 | 0.72–0.83 |
На рис. 2 представлены рентгенограммы микротрубчатых BSCFMx-мембран до и после долговременных исследований. По данным рентгенофазового анализа, BSCFMx-материалы являются однофазными и имеют структуру кубического перовскита . При увеличении количества допанта Mo5+/6+ более 10% происходит формирование второй фазы двойного перовскита (Ba/Sr)CoMoO6 с тетрагональной структурой I4/m, что согласуется с работой [5]. Согласно данным, представленным в работе [5], изоморфное замещение катионов Co2+/3+ на катионы Mo6+ в структуре оксида состава BSCF приводит к образованию композиционного материала, состоящего из наноразмерных доменов двойного перовскита, равномерно распределенных в матрице нестехиометрического кубического перовскита. Авторами продемонстрировано, что подобные эффекты наноструктурирования приводят к повышению фазовой стабильности и значительному увеличению транспортных свойств материалов на основе BSCF [5, 7, 14, 15].
Рис. 2. Рентгенограммы МТ-мембран состава BSCFMx (x = 0; 2, 5, 10%) до (1) и после (2) испытаний, фаза двойного перовскита (Ba/Sr)CoMoO6 обозначена *.
Из представленных результатов видно, что после испытаний МТ BSCFMx-мембран в градиенте воздух/He в течение ~160 ч фазовый состав не меняется.
Исследование долговременной стабильности кислородных потоков МТ BSCFМх-мембран
На рис. 3 представлены исследования долговременной стабильности МТ BSCFMх-мембран в градиенте воздух/He при температуре 850 оС. Согласно полученным данным, кислородные потоки через МТ BSCFMх-мембраны (x = 2, 5, 10%) оставались стабильными в течение 160 ч в сравнении с BSCF-мембраной, где поток кислорода уменьшился в 1.3 раза в течение 100 ч. Как отмечалось ранее, оксид BSCF нестабилен при температурах ниже 850 оC в обогащенной кислородом атмосфере и претерпевает фазовый переход, приводящий к образованию гексагональной фазы. Этот переход сопровождается уменьшением скорости кислородного обмена оксида с газовой фазой, что приводит к деградации потоков кислорода [3, 4]. Согласно [5–8], допирование оксида BSCF высокозарядными катионами приводит к подавлению фазового перехода “кубический-гексагональный перовскит”. Таким образом, введение в структуру ВSCF-оксида катионов Mo6+ увеличивает долговременную производительность МТ-мембран в результате стабилизации кубической структуры перовскита. Следует также отметить, что среди МТ-мембран на основе BSCFMх-оксидов максимальные кислородные потоки были достигнуты при использовании МТ BSCFM5-мембраны (JO2 = 7.6 мл см-2мин-1 при T = 850 oС и pO2.1 = 0.21 атм). Поэтому дальнейшие исследования были проведены для состава BSCFM5.
Рис. 3. Исследования долговременной стабильности: зависимость потоков кислорода через МТ BSCFMx-мембраны от времени. Условия эксперимента: T = 850 оС; парциальное давление с внешней (питающей) стороны 0.21 атм.
Термоциклирование МТ-мембран на основе BSCFM5
В работах [11, 16] продемонстрирован новый способ нагрева МТ-мембран со смешанной кислород-электронной проводимостью до рабочей температуры пропусканием через них переменного тока (АС). Показано, что в этом случае мембрана одновременно служит и самонагревателем, и сепаратором кислорода. Прямой нагрев МТ-мембран током обеспечивает адресный подвод тепла к газоплотному слою, в котором локализованы детерминирующие стадии, что приводит к повышению производительности и энергоэффективности процесса кислородной сепарации.
Поскольку нагрев током позволяет осуществлять быстрый нагрев и охлаждение МТ-мембран, в ходе работы были проведены эксперименты по термоциклированию. На рис. 4а и 4б приведены циклы нагрев–охлаждение МТ-мембран состава BSCFM5 в течение ~52 ч со скоростью V = 35o/мин. Как видно из представленных графиков, поток кислорода через МТ-мембраны состава BSCFM5 оставался стабильным на протяжении всего эксперимента и составлял 7.4–7.6 мл см-2мин-1 и 1.7–1.9 мл см-2мин-1 при T = 850 и 600 oС соответственно.
Рис. 4. Зависимость кислородных потоков BSCFM5-мембраны от времени в циклах нагрев–охлаждение в температурном интервале 600–850 оС (а), увеличенный фрагмент термоциклирования (б). Условия эксперимента: парциальное давление с внешней стороны 0.21 атм, скорость нагрева образца при циклировании 35о/мин; общий расход смеси кислорода и азота 150 мл/мин; расход гелия 90 мл/мин.
Фазовая стабильность BSCFM5-оксида
Для исследования фазовой стабильности BSCFM5-материала была построена фазовая диаграмма “3 – δ –pO2–T” (рис. 5) с помощью метода квазиравновесного выделения кислорода. В качестве опорных точек использовались данные, рассчитанные из термогравиметрического анализа. Как можно увидеть из рис. 5а, при температурах выше 750 оС на кривых наблюдаются характерные ступеньки. Подобные особенности были обнаружены ранее для BSCF-оксида [8] и отнесены к изосимметричному фазовому переходу из кубической фазы P1 со структурой в высокотемпературную фазу P2 ().
Рис. 5. Равновесная диаграмма “3-δ – lg (pO2) - T” для BSCFM5-оксида. ● – данные, полученные из термогравиметрических экспериментов (а). Трехмерная визуализация фазовой диаграммы “3 – δ – lg (pO2) - T” для BSCFM5 (б).
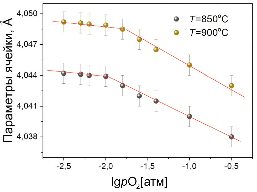
Для более детального исследования изосимметричного фазового перехода из кубической фазы P1 в высокотемпературную фазу P2 были проведены in situ дифракционные эксперименты. На рис. 6 представлены зависимости параметров элементарной ячейки от давления кислорода при температурах T = 850 и 900 оС. На представленном графике можно выделить излом при 3 – δ = 2.5, который относится к изосимметричному фазовому переходу P1-P2. Полученные данные также указывают на отсутствие нежелательных фаз, таких как “браунмиллерит” или “гексагональный перовскит”. Это, в свою очередь, согласуется с данными, полученными в работе [5]. Таким образом, можно сказать, что при допировании BSCF-оксида катионами молибдена происходит увеличение фазовой стабильности материала за счет подавления нежелательных фазовых переходов.
Рис. 6. Зависимость параметров элементарной ячейки оксида BSCFM5 от парциального давления кислорода при T = 850 и 900 оС в области фазового перехода “P1-P2”.
ЗАКЛЮЧЕНИЕ
С помощью метода фазовой инверсии BSCFMx (x = 0; 2; 5; 10 %) изготовлены МТ- мембраны, имеющие ассиметричную структуру, которая состоит из газоплотного слоя толщиной 20–50 мкм, расположенного между двумя пористыми слоями. Проведенные исследования кислородной проницаемости МТ BSCFMх-мембран в градиенте воздух/гелий в течение 160 ч при T = 850 оС показали, что исследуемые BSCFMх МТ-мембраны обладают высокими кислородными потоками и долговременной стабильностью в данных условиях. Эксперименты по термоциклированию МТ-мембран в градиенте воздух/гелий в температурном интервале 600–850 оС демонстрируют устойчивость МТ BSCFM5-мембран к термошоку. С помощью метода квазиравновесного выделения кислорода получена непрерывная равновесная фазовая диаграмма оксида Ba0.5Sr0.5Co0.75Fe0.2Mo0.05O3 – δ. С помощью in situ высокотемпературной рентгенографии показано, что ступенька на кривых “3 – δ – lg(pO2)” обусловлена изосимметричным фазовым переходом из кубической фазы P1 в высокотемпературную фазу P2. Продемонстрировано отсутствие нежелательных фазовых переходов. Таким образом, показано, что оксиды на основе BSCFMx (x = 2; 5; 10%) обладают фазовой стабильностью, высокими значениями кислородной проницаемости, долговременной стабильностью и устойчивостью к термоциклированию и являются перспективными кислород-проницаемыми мембранами и электродными материалами ТОТЭ/ТОЭ.
ФИНАНСИРОВАНИЕ РАБОТЫ
Работа выполнена в рамках государственного задания ИХТТМ СО РАН по соглашению № 075-03-2022-424/3 (Молодежная лаборатория “Материалы и технологии водородной энергетики”).
КОНФЛИКТ ИНТЕРЕСОВ
Авторы заявляют, что у них нет конфликта интересов.
1 Статья подготовлена по материалам доклада, представленного на Второй школе молодых ученых “Электрохимические устройства: процессы, материалы, технологии” (Новосибирск, 28–30 октября 2022 г.)
About the authors
E. V. Shubnikova
Institute of Solid State Chemistry and Mechanochemistry, Siberian Branch of Russian Academy of Sciences
Author for correspondence.
Email: artimonovalena@yandex.ru
Russian Federation, 630128, Novosibirsk
O. A. Bragina
Institute of Solid State Chemistry and Mechanochemistry, Siberian Branch of Russian Academy of Sciences
Email: artimonovalena@yandex.ru
Russian Federation, 630128, Novosibirsk
A. P. Nemudry
Institute of Solid State Chemistry and Mechanochemistry, Siberian Branch of Russian Academy of Sciences
Email: artimonovalena@yandex.ru
Russian Federation, 630128, Novosibirsk
References
- Shao, Z., Yang, W., Cong, Y., Dong, H., Tong, J., and Xiong, G., Investigation of the permeation behavior and stability of a Ba0.5Sr0.5Co0.8Fe0.2O3 − δ Shao, Z.P. and Haile, S.M., A high-performance cathode for the next generation of solid-oxide fuel cells, Nature, 2004, vol. 431, p. 170. doi: 10.1038/nature02863
- Yaremchenko, A.A., Patrakeev, M.V., Naumovich, E.N., and Khalyavin, D.D. p(O2) - T stability domain of cubic perovskite Ba0.5Sr0.5Co0.8Fe0.2O3 − δ, Phys. Chem. Chem. Phys., 2018, vol. 20, p. 4442. doi: 10.1039/C7CP07307K
- Efimov, K., Xu, Q., and Feldhoff, A., Transmission Electron Microscopy Study of Ba0.5Sr0.5Co0.8Fe0.2O3 − δ Perovskite Decomposition at Intermediate Temperatures, Chem. Mater., 2010, vol. 22, p. 5866. doi: 10.1021/cm101745v
- Shubnikova, E.V., Bragina, O.А., and Nemudry, A.P., Mixed conducting molybdenum doped BSCF materials, J. Industrial and Engineering Chem., 2017, vol. 59, p. 242. doi: 10.1016/j.jiec.2017.10.029
- Gasparyan, H., Claridge, J.B., and Rosseinsky, M.J., Oxygen permeation and stability of Mo-substituted BSCF membranes, J. Mater. Chem., 2015, vol. 3, p. 18265. doi: 10.1039/C5TA04046A
- Shubnikova, E.V., Popov, M.P., Bychkov, S.F., Chizhik, S.A., and Nemudry, A.P., The modeling of oxygen transport in MIEC oxide hollow fiber membranes, Chem. Engineering J., 2019, vol. 372, p. 251. doi: 10.1016/j.cej.2019.04.126
- Popov, M.P., Starkov, I.A., Bychkov, S.F., and Nemudry, A.P., Improvement of Ba0.5Sr0.5Co0.8Fe0.2O3 − δ functional properties by partial substitution of cobalt with tungsten, J. Membr. Sci., 2014, vol. 469, p. 88. doi: 10.1016/j.memsci.2014.06.022
- Wan, Z., Kathiraser, Y., Soh, T., and Kawi, S., Ultra-high oxygen permeable BaBiCoNb hollow fiber membranes and their stability under pure CH4 atmosphere, J. Membrane Sci., 2014, vol. 465, p.151. doi: 10.1016/j.memsci.2014.04.025
- Leo, A., Motuzas, J., Yacou, C., Liu, S., Serra, J.M., Navarrete, L., Drennan, J., Julbe, A., and Diniz da Costa, J.C., Copper oxide - perovskite mixed matrix membranes delivering very high oxygen fluxes, J. Membrane Sci., 2017, vol. 526, p. 323. doi: 10.1016/j.memsci.2016.12.035
- Popov, M.P., Bychkov, S.F., and Nemudry, A.P., Direct AC heating of oxygen transport membranes, Solid State Ionics, 2017, vol. 312, p. 73. doi: 10.3390/en13010030
- Starkov, I.A., Bychkov, S.F., Chizhik, S.A., and Nemudry, A.P., Oxygen release from grossly nonstoichiometric SrCo0.8Fe0.2O3 − δ perovskite in isostoichiometric mode, Chem. Mat, 2014, vol. 26(6), p. 2113. doi: 10.1021/cm4040775
- Chizhik, S.A. and Nemudry, A.P., Nonstoichiometric oxides as a continuous homologous series: linear free-energy relationship in oxygen exchange, Phys. Chem. Chem. Phys., 2018, vol. 20, p. 18447. doi: 10.1039/C8CP02924E
- Demont, A., Sayers, R., Tsiamtsouri, M.A., Romani, S., Chater, P.A., Niu, H., Martí-Gastaldo, C., Xu, Z., Deng, Z., Bréard, Y., Thomas, M.F., Claridge, J.B., and Rosseinsky, M. J., Single sublattice endotaxial phase separation driven by charge frustration in a complex oxide, J. Amer. Chem. Soc., 2013, vol. 135, p. 10114. doi: 10.1021/ja403611s
- Shin, F., Xu, W., Zanella, M., Dawson, K., Savvin, S.N., Claridge, J.B., and Rosseinsky, M. J., Self-assembled dynamic perovskite composite cathodes for intermediate temperature solid oxide fuel cells, Nature Energy, 2017, vol. 2, p. 1624. doi: 10.1038/nenergy.2016.214
- Popov, M.P., Bychkov, S.F., Bulina, N.V., and Nemudry, A.P., In situ high-temperature X-Ray diffraction of hollow fiber membranes under operating conditions, J. European Ceram. Soc., 2019, vol. 39, p. 1717. doi: 10.1016/j.jeurceramsoc.2018.12.008
Supplementary files








