THE INFLUENCE OF THE SYNHTETIC WAY OF LAYERED-TYPE MANGANSESE DIOXIDE ON THE PROPERTIES OF CATHODE MATERIALS FOR AQUEOUS ZINC-ION BATTERIES
- Authors: Kamenskii M.A.1, Popov A.J.1, Eliseeva S.N.1, Kondratiev V.V.1
-
Affiliations:
- Institute of chemistry, Saint Petersburg State University
- Issue: Vol 59, No 12 (2023)
- Pages: 856-866
- Section: Articles
- URL: https://bakhtiniada.ru/0424-8570/article/view/232697
- DOI: https://doi.org/10.31857/S042485702312006X
- EDN: https://elibrary.ru/QBSQGV
- ID: 232697
Cite item
Full Text
Abstract
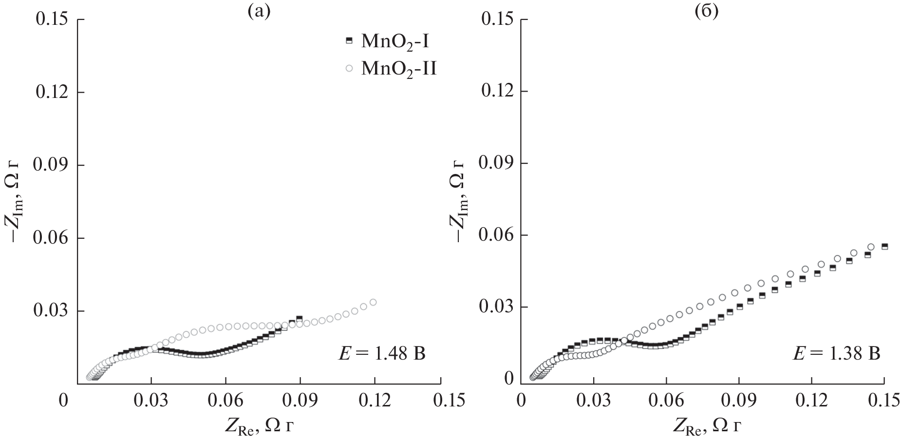
This research presents an analysis of physico-chemical, structural and electrochemical properties of cathode materials for aqueous zinc-ion batteries based on manganese dioxide with birnessite-type structure in dependence on the conditions of hydrothermal synthesis. The manganese oxides obtained are capable to the reversible zin ions intercalation into the crystal lattice because of large interlayer distances. They were considered two approaches of synthesis: a reaction between manganese sulfate and potassium permanganate at 160 °С (MnO2-I) and a hydrothermal treatment of potassium permanganate solution at 220 °С (MnO2-II). From the structural analysis it was shown that both methods allow obtaining the birnessite-type manganese dioxide. At the same time, electrochemical properties of cathodes obtained differ in the models of aqueous zinc-ion batteries. MnO2-II material demonstrate higher initial specific capacity (180 mAh∙g-1 at current density 0.3 A∙g-1) while its cyclic stability is on 40% lower than for MnO2-I material. This can be explained with higher surface area of the active material and lower crystallinity.
About the authors
M. A. Kamenskii
Institute of chemistry, Saint Petersburg State University
Email: vkondratiev@mail.ru
St Petersburg, Russia
A. Ju. Popov
Institute of chemistry, Saint Petersburg State University
Email: vkondratiev@mail.ru
St Petersburg, Russia
S. N. Eliseeva
Institute of chemistry, Saint Petersburg State University
Email: vkondratiev@mail.ru
St Petersburg, Russia
V. V. Kondratiev
Institute of chemistry, Saint Petersburg State University
Author for correspondence.
Email: vkondratiev@mail.ru
St Petersburg, Russia
References
- Hwang, J.Y., Myung, S.T., and Sun, Y.K., Sodium-ion batteries: Present and future, Chem. Soc. Rev., 2017, vol. 46, p. 3529.
- Xie, J. and Zhang, Q., Recent progress in multivalent metal (Mg, Zn, Ca, and Al) and metal-ion rechargeable batteries with organic materials as promising electrodes, Small, 2019, vol. 15, p. 1805061.
- Liang, Y., Dong, H., Aurbach, D., and Yao, Y., Current status and future directions of multivalent metal-ion batteries, Nat. Energy, 2020, vol. 5, p. 646.
- Borchers, N., Clark, S., Horstmann, B., Jayasayee, K., Juel, M., and Stevens, P., Innovative zinc-based batteries, J. Power Sources, 2021, vol. 484, p. 229309.
- Zhou, T., Zhu, L., Xie, L., Han, Q., Yang, X., Chen, L., Wang, G., and Cao, X., Cathode materials for aqueous zinc-ion batteries: A mini review, J. Colloid Interface Sci., 2022, vol. 605, p. 828.
- Selvakumaran, D., Pan, A., Liang, S., and Cao, G., A review on recent developments and challenges of cathode materials for rechargeable aqueous Zn-ion batteries, J. Mater. Chem. A, 2019, vol. 7, p. 18209.
- Chen, L., An, Q., and Mai, L., Recent advances and prospects of cathode materials for rechargeable aqueous zinc-ion batteries, Adv. Mater. Interfaces, 2019, vol. 6, p. 1900387.
- Mathew, V., Sambandam, B., Kim, S., Kim, S., Park, S., Lee, S., Alfaruqi, M.H., Soundharrajan, V., Islam, S., Putro, D.Y., Hwang, J.-Y., Sun, Y.-K., and Kim, J., Manganese and vanadium oxide cathodes for aqueous rechargeable zinc-ion batteries: a focused view on performance, mechanism, and developments, ACS Energy Lett., 2020, vol. 5, p. 2376.
- Guo, X., Yang, S., Wang, D., Chen, A., Wang, Y., Li, P., Liang, G., and Zhi, C., The energy storage mechanisms of MnO2 in batteries, Curr. Opin. Electrochem., 2021, vol. 30, p. 100769.
- Zhang, Z., Li, W., Shen, Y., Wang, R., Li, H., Zhou, M., Wang, W., Wang, K., and Jiang, K., Issues and opportunities of manganese-based materials for enhanced Zn-ion storage performances, J. Energy Storage, 2022, vol. 45, p. 103729.
- Post, J.E., Manganese oxide minerals: Crystal structures and economic and environmental significance, Proc. Natl. Acad. Sci., 1999, vol. 96, p. 3447.
- Jin, Y., Zou, L., Liu, L., Engelhard, M.H., Patel, R.L., Nie, Z., Han, K.S., Shao, Y., Wang, C., Zhu, J., Pan, H., and Liu, J., Joint charge storage for high-rate aqueous zinc–manganese dioxide batteries, Adv. Mater., 2019, vol. 31, p. 1900567.
- Alfaruqi, M.H., Islam, S., Putro, D.Y., Mathew, V., Kim, S., Jo, J., Kim, S., Sun, Y-K., Kim, K., and Kim, J., Structural transformation and electrochemical study of layered MnO2 in rechargeable aqueous zinc-ion battery, Electrochim. Acta, 2018, vol. 276, p. 1.
- Li, G., Huang, Z., Chen, J., Yao, F., Liu, J., Li, O.L., Sun, S., and Shi, Z., Rechargeable Zn-ion batteries with high power and energy densities: A two-electron reaction pathway in birnessite MnO2 cathode materials, J. Mater. Chem. A, 2020, vol. 8, p. 1975.
- Wang, F., Lai, Y., Zhang, Y., Ou, P., Wu, P., Zhu, H., Chen, Z., and Li, S., Preparation of novel hollow δ-MnO2 composite sphere for supercapacitors and degradation of bisphenol A, Mater. Res. Bull., 2019, vol. 115, p. 257.
- Wang, H., Liang, M., Gao, J., Ma, C., He, Z., Zhao, Y., and Miao, Z., Robust structural stability of flower-like δ-MnO2 as cathode for aqueous zinc ion battery, Colloids Surfaces A Physicochem. Eng. Asp., 2022, vol. 643, p. 128804.
- Peng, H., Fan, H., Yang, C., Tian, Y., Wang, C., and Sui, J., Ultrathin δ-MnO2 nanoflakes with Na+ intercalation as a high-capacity cathode for aqueous zinc-ion batteries, RSC Adv., 2020, vol. 10, p. 17702.
- Егорова, А.А., Бушкова, Т.М., Колесник, И.В., Япрынцев, А.Д., Котцов, С.Ю., Баранчиков, А.Е. Селективный синтез полиморфных модификаций диоксида марганца гидротермальной обработкой водных растворов KMnO4. Журн. неорган. химии. 2021. Т. 66. С. 141. [Egorova, A.A., Bushkova, T.M., Kolesnik, I.V., Yapryntsev, A.D., Kottsov, S.Y., and Baranchikov, A.E., Selective synthesis of manganese dioxide polymorphs by the hydrothermal treatment of aqueous KMnO4 solutions, Russ. J. Inorg. Chem., 2021, vol. 66, p. 146.]
- Wu, Y., Fee, J., Tobin, Z., Shirazi-Amin, A., Kerns, P., Dissanayake, S., Mirich, A., and Suib, S.L., Amorphous manganese oxides: an approach for reversible aqueous zinc-ion batteries, ACS Appl. Energy Mater., 2020, vol. 3, p. 1627.
- Yang, X., Makita, Y., Liu, Z.H., Sakane, K., and Ooi, K., Structural characterization of self-assembled MnO2 nanosheets from birnessite manganese oxide single crystals, Chem. Mater., 2004, vol. 16, p. 5581.
- Soundharrajan, V., Sambandam, B., Kim, S., Islam, S., Jo, J., Kim, S., Mathew, V., Sun, Y., and Kim, J., The dominant role of Mn2+ additive on the electrochemical reaction in ZnMn2O4 cathode for aqueous zinc-ion batteries, Energy Storage Mater., 2020, vol. 28, p. 407.
- Qiu, C., Zhu, X., Xue, L., Ni, M., Zhao, Y., Liu, B., and Xia, H., The function of Mn2+ additive in aqueous electrolyte for Zn/δ-MnO2 battery, Electrochim. Acta, 2020, vol. 351, p. 136445.
- Zhang, S., Liu, Z., Li, L., Tang, Y., Li, S., Huang, H., and Zhang, H., Electrochemical activation strategies of a novel high entropy amorphous V-based cathode material for high-performance aqueous zinc-ion batteries, J. Mater. Chem. A, 2021, vol. 9, p. 18488.
- Zhang, Y., Huang, R., Wang, X., Wang, Z., Song, B., Du, Y., Lu, Q., Chen, X., and Sun, J., Facile large-scale preparation of vanadium pentoxide -polypyrrole composite for aqueous zinc-ion batteries, J. Alloys Compd., 2022, vol. 907, p. 164434.
- Huang, C., Wu, C., Zhang, Z., Xie, Y., Li, Y., Yang, C., and Wang, H., Crystalline and amorphous MnO2 cathodes with open framework enable high-performance aqueous zinc-ion batteries, Front. Mater. Sci., 2021, vol. 15, p. 202.
- Liu, D.-S., Mai, Y., Chen, S., Liu, S., Ang, E.H., Ye, M., Yang, Y., Zhang, Y., Geng, H., and Li, C.C., A 1D–3D interconnected δ-MnO2 nanowires network as high-performance and high energy efficiency cathode material for aqueous zinc-ion batteries, Electrochim. Acta, 2021, vol. 370, p. 137740.
- Huang, J., Wang, Z., Hou, M., Dong, X., Liu, Y., Wang, Y., and Xia, Y., Polyaniline-intercalated manganese dioxide nanolayers as a high-performance cathode material for an aqueous zinc-ion battery, Nat. Commun., 2018, vol. 9, p. 2906.
- Efremova, A.O., Volkov, A.I., Tolstopyatova, E.G., and Kondratiev, V.V., EQCM study of intercalation processes into electrodeposited MnO2 electrode in aqueous zinc-ion battery electrolyte, J. Alloys Compd., 2022, vol. 892, p. 162142.
- Tan, Y., An, F., Liu, Y., Li, S., He, P., Zhang, N., Li, P., and Qu, X., Reaction kinetics in rechargeable zinc-ion batteries, J. Power Sources, 2021, vol. 492, p. 229655.
- Zhang, R., Liang, P., Yang, H., Min, H., Niu, M., Jin, S., Jiang, Y., Pan, Z., Yan, J., Shen, X., and Wang, J., Manipulating intercalation-extraction mechanisms in structurally modulated δ-MnO2 nanowires for high-performance aqueous zinc-ion batteries, Chem. Eng. J., 2022, vol. 433, p. 133687.
Supplementary files











