REACTIVITY OF ANION RADICAL AND DIANION OF ORGANIC COMPOUNDS (REVIEW)
- Authors: Mendkovich A.S.1, Rusakov A.I.2
-
Affiliations:
- N. D. Zelinsky Institute of Organic Chemistry, Russian Academy of Sciences
- P. G. Demidov Yaroslavl State University
- Issue: Vol 59, No 12 (2023)
- Pages: 753-789
- Section: Articles
- URL: https://bakhtiniada.ru/0424-8570/article/view/232689
- DOI: https://doi.org/10.31857/S0424857023120071
- EDN: https://elibrary.ru/QBSEHG
- ID: 232689
Cite item
Full Text
Abstract
The results of experimental and theoretical studies of π*-anion radicals and π*-dianions reactions are analyzed. Particular attention is paid to their role in electrochemical reduction processes. By the example of three most typical reactions for these particles, the main factors determining their reactivity are considered.
About the authors
A. S. Mendkovich
N. D. Zelinsky Institute of Organic Chemistry, Russian Academy of Sciences
Email: asm@free.net
Russian Federation
A. I. Rusakov
P. G. Demidov Yaroslavl State University
Author for correspondence.
Email: asm@free.net
Yaroslavl, Russian Federation
References
- Weitz, E.Z., Zur theorie der chinhydrone, Electrochem., 1928, vol. 34, p. 538.
- Greenberg, M.M., Ed., Radical and Radical Ion Reactivity in Nucleic Acid Chemistry, Wiley, Hoboken, 2009, 472 p.
- Squella, J.A., Bollo, S., and Nunez-Vergara, L.J., Recent developments in the electrochemistry of some nitro compounds of biological significance, Current Organic Chem., 2005, vol. 9, p. 565.
- Migliore, A., Polizzi, N.F., Therien, M.J., and Beratan, D.N., Biochemistry and theory of proton-coupled electron transfer, Chem. Rev., 2014, vol. 114, p. 3381.
- Born, M., Ingemann, S., and Nibbering, N.M.M., Formation and chemistry of radical anions in the gas phase, Mass Spectrometry Rev., 1997, vol. 16, p. 181.
- Laurent, A., Benzoyl und Benzimid, Ann. Chem., 1836, vol. 17, p. 88.
- Berthelot, M., Ueber die Einwirkung des Kaliums auf die Kohlenwasserstoffe, Justus Liebigs Annalen der Chemie, 1867, vol. 143, p. 97.
- Berthelot, M., Les carbures d’hydrogène, 1851—1901. Recherches expèrimentales. Paris: Gauthier-Villars, 1901. 3 vo1s.
- Fittig, R., Ueber einige metamorphosen des acetones de essigisäure, Justus Liebigs Annalen der Chemie, 1859, vol. 110, p. 23.
- Geerlings, P., De Proft, F., and Langenaeker, W., Conceptual density functional theory, Chem. Rev., 2003, vol. 103, p. 1793.
- Parr, R.G. and Yang, W., Density Functional Theory of Atoms and Molecules. New York: Oxford University Press, 1989. p. 142–197.
- Li, Y. and Evans, N.S., The Fukui function: a key concept linking frontier molecular orbital theory and the hard-soft-acid-base principle, J. Amer. Chem. Soc., 1995, vol. 117, p. 7756.
- Domingo, L.R., Ríos-Gutiérrez, M., and Pérez, P., Applications of the conceptual density functional theory indices to organic chemistry reactivity, Molecules, 2016, vol. 21, p. 748.
- Chandrakumar, K.R.S. and Pal, S., The concept of density functional theory based descriptors and its relation with the reactivity of molecular systems: A semi-quantitative study, Int. J. Mol. Sci., 2002, vol. 3, p. 324.
- York, D.M. and Yang, W., A chemical potential equalization method for molecular simulations, J. Chem. Phys.,1996, vol. 104, p. 159.
- Liu, S., De Proft, F., and Parr, R.G., Simplified models for hardness kernel and calculations of global hardness, J. Phys. Chem. A., 1997, vol. 101, p. 6991.
- Perez, P., Domingo, L.R., Aurell, M., and Contreras, J.R., Quantitative characterization of the global electrophilicity pattern of some reagents involved in 1,3-dipolar cycloaddition reactions, Tetrahedron, 2003, vol. 59, p. 3117.
- Gazquez, J.L., Cedillo, A., and Vela, A., Electrodonating and electroaccepting powers, J. Phys. Chem. A, 2007, vol. 111, p. 1966.
- Yang, W. and Parr, R.G., Hardness, softness, and the fukui function in the electronic theory of metals and catalysis, . Proc. Natl. Acad. Sci. USA, 1984, vol. 82, p. 6723.
- Ayers, P.W., De Proft, F., Borgoo, A., and Geerlings, P., Computing Fukui functions without differentiating with respect to electron number. I. Fundamentals, J. Chem. Phys., 2007, vol. 126, p. 224107.
- Costentin, C. and Savéant, J.-M., Dimerization of electrochemically generated ion radicals: mechanisms and reactivity factors, J. Electroanal. Chem., 2004, vol. 564, p. 99.
- Михайлов, М.Н., Мендкович, А.С., Кузьминский, М.Б., Капранов, В.А., Русаков, А.И. Исследование строения анион-радикала 1,3-динитробензола многоконфигурационными методами. Изв. АН. Сер. хим. 2005. vol. 12. С. 2645. [Mikhailov, M.N., Mendkovich, A S., Kuzґminskii, M.B., Kapranov, V.A., and Rusakov, A.I., Electronic structure of 1,3-dinitrobenzene radical anion: a multiconfigurational quantum chemical study, Russ. Chem. Bull., 2005, vol. 54, p. 2735.]
- Mikhailov, M.N., Mendkovich, A.S., Kuzminsky, M.B., and Rusakov, A. I., A multiconfigurational study of anion-radical and dianion of 1,3-dinitrobenzene, J. Mol. Struct.(Theochem), 2007, vol. 847, p. 103.
- Михайлов, М.Н., Мендкович, А.С., Кузьминский М.Б., Русаков, А.И. Исследование строения дианиона 1,3-динитробензола многоконфигурационными методами. Изв. АН. Сер. хим. 2007. С. 1408. [Mikhailov, M.N., Mendkovich, A.S., Kuz’minskii, M.B., and Rusakov, A.I., Structure of the 1,3-dinitrobenzene dianion studied by multiconfigurational methods, Russ. Chem. Bull., 2007, vol. 56, p. 1461.]
- Мендкович, А.С., Гультяй, В.П. Теоретические основы химии органических анион-радикалов. М.: Наука, 1990, 152 с. [Mendkovich, A.S., Gultyai, V.P., The theoretical basis of chemistry of organic anion-radicals (in Russian), Moscow: Nauka, 1990. 152 p.]
- Русаков, А.И., Мендкович, А.С., Гультяй, В.П., Орлов, В.Ю. Структура и реакционная способность органических анион-радикалов, М.: Мир, 2005, 294 с. [Rusakov, A.I., Mendkovich, A.S., Gultyai, V.P., and Orlov, V.Yu., Structure and reactivity of organic anion radicals, (in Russian), Moscow: Mir, 2005. 294 p.]
- Плисс, Е.М., Русаков, А.И., Мендкович, А.С., Сирик, А.В. Эффекты сольватации в жидкофазных реакциях нейтральных и отрицательно заряженных парамагнитных частиц. М.: Мир, 2012. 251 с. [Pliss, E.M., Rusakov, A.I., Mendkovich, A.S., and Sirik, A.V., Solvation effects in liquid-phase reactions of neutral and negatively charged paramagnetic species, (in Russian), Moscow: Mir, 2012. 251 p.
- Dewar, M., The PMO theory of organic chemistry, New York: Springer Science & Business Media, 2012. 592 c.
- Rauk, A., Orbital Interaction Theory of Organic Chemistry, Second Edition. New York: John Wiley & Sons, Inc., 2001. 360 p.
- Albright, T.A., Burdett, J.K., and Whangbo, M.H., Orbital interactions in chemistry. Chichester: John Wiley & Sons, 2013. 819 p.
- Mendkovich, A.S., Mikhalchenko, L.V., and Gultyai, V.P., Study of the reactions of 9-nitroanthracene anion radicals and dianions in dimethylformamide by the controlled potential constant-voltage electrolysis method, J. Electroanal. Chem., 1987, vol. 224, p. 273.
- Михальченко, Л.В., Мендкович, А.С., Гультяй, В.П. Природа продуктов реакций анион-радикала и дианиона 9-нитроантрацена. Изв. АН СССР. Сер. хим. 1985. С. 2158. [Mikhal’chenko, L.V., Mendkovich, A.S., and Gul’tyai, V.P., Nature of the products of the reactions of radical-anion and dianion of 9-nitroanthracene, Bull. Acad. Sci. USSR, Division of chemical science, 1985, vol. 34, p. 1998.]
- Гультяй, В.П., Мендкович, А.С., Рубинская, Т.Я. К вопросу об электрохимической гидродимеризации карбонильных соединений в апротонных средах. Изв. АН СССР. Сер. хим. 1987. С. 1576. [Gul’tyai, V.P., Mendkovich, A.S., and Rubinskaya, T.Y., Electrochemical hydrodimerization of carbonyl compounds in aprotic media. Bull. Acad. Sci. USSR, Division of chemical science, 1987, p. 1455.]
- Mendkovich, A.S., Sosonkin, I.M., and Gultyai, V.P., Some Features of Dimerization Reactions Involving Aromatic Compound Radical Anions, Abstr. commun. XIII Sandbjerg meeting on organic electrochemistry, Sandbjerg, Aarhus, Denmark, 1987, p. 17.
- Мендкович, А.С., Мартынова, Л.В., Лейбзон, В.Н., Гультяй, В.П. Использование зависимостей ток-время для определения механизма электродных процессов. Взаимодействие деполяризатора с продуктом восстановления. Электрохимия. 1983. Т. 19. С. 264. [Мендкович, А.С., Martynova, L.V., Leibzon, V.N., and Gultyai, V.P., Use of Current-time Curves to Ascertain Electrode Process Mechanism Reaction of a Depolarizer with an Electroreduction Product, Sov. Electrochem., 1983, vol. 19, p. 242.]
- Parker, V.D., The study of reactive intermediates by electrochemical methods, Adv. Phys. Org. Chem., 1983, vol. 19, p. 131.
- McNeil, R.I., Shiotani, M., Williams, F., and Yim, M.B., Novel cycloaddition of tetrafluoroethylene to the tetrafluoroethylene radical anion at 95 K: direct observation by EPR studies, Chem. Phys. Lett., 1977, vol. 51, p. 438.
- Mendkovich, A. S. and Rusakov, A. I., Consideration of electrochemical dimerization reactions in terms of the perturbation molecular orbital theory: Part II. Determination of the parameters of the correlation equation, J. Electroanal. Chem., 1986, vol. 209, p. 43.
- Mendkovich, A.S., Churilina, A.N., Michalchenko, L.V., and Gultyai, V.P., Reactions of Anion-Radicals and Dianions with the Parent Compounds in Cathodic Processes, Abstr. Commun. Sundbjerg Meeting 1982 on Organic Electrochem., Aurhus, 1982, p. 23.
- Puglisi, V.J. and Bard, A.J., Electrohydrodimerization Reactions: II. Rotating Ring-Disk Electrode, Voltammetric and Coulometric Studies of Dimethyl Fumarate, Cinnamonitrile, and Fumaronitrile, J. Electrochem. Soc., 1972, vol. 119, p. 829.
- Staples, T.L., Jagur-Grodzinski, J., and Swarc, M., Dimerization of the radical anions of 1, 1-diphenylethylene, J. Amer. Chem. Soc., 1969, vol. 91, p. 3721.
- Kraiya, C., Singh, P., Todres, V.Z., and Evans, D.H., Voltammetric studies of the reduction of cis-and trans-α-nitrostilbene, J. Electroanal. Chem., 2004, vol. 563, p. 171.
- Childs, V.W., Maloy, J.T., Keszthelyi, C.P., and Bard, A.J., Voltammetric and coulometric studies of the mechanism of electrohydrodimerization of diethyl fumarate in dimethylformamide solutions, J. Electrochem. Soc., 1971, vol. 118, p. 874.
- Puglisi, V.J. and Bard, A.J., Electrohydrodimerization Reactions: III. Rotating Ring-Disk Electrode, Voltammetric and Coulometric Studies of Mixed Reductive Coupling of Dimethyl Fumarate in the Presence of Cinnamonitrile and Acrylonitrile in Dimethylformamide Solution, J. Electrochem. Soc., 1973, vol. 120, p. 748.
- Goldberg, I.B., Boyd, D., Hirasawa, D.R., and Bard, A.J., Simultaneous electrochemical-electron spin resonance measurements. III. Determination of rate constants for second-order radical anion dimerization, J. Phys. Chem., 1974, vol. 78, p. 295.
- Lamy, E., Nadjo, L., and Saveant, J.-M., Electrodimerization. X. Solvation and protonation in the EHD of activated olefins in low acidity media, J. Electroanal. Chem., 1974, vol. 50, p. 141.
- Saveant, J.-M., Kinetics and mechanisms of electrochemical dimerizations, Acta Chem. Scand. Ser. B, 1983, vol. 37, p. 365.
- Bezilla, B.M. and Maloy, J.T., Low Temperature Studies of Electrochemical Kinetics: III. The Use of Concentration Studies in Determining the Rates, Mechanisms, and Apparent Reaction Orders of Electrohydrodimerization Reactions, J. Electrochem. Soc., 1979, vol. 126, p. 579.
- Mikesell, P., Schwaebe, M., DiMare, M., and Little R.D., Electrochemical Reductive Coupling Reactions of Aliphatic Nitroalkenes, Acta Chem. Scand., 1999, vol. 53, p. 792.
- Гультяй, В.П., Коротаева, Л.М., Мендкович, А.С., Проскуровская, И.В. Роль компонентов среды в реакциях электрохимически генерируемых анион-радикалов. Сообщение 2. Электрохимическая гидродимеризация α-тиофенальдегида в органических растворителях. Изв. АН СССР. Сер. хим. 1981. Т. 30. С. 834. [Gul’tyai, V.P., Korotaeva, L.M., Mendkovich, A.S., and Proskurovskaya, I.V., Role of components of the reaction medium in reactions of electrochemically generated radical anions: 2. Electrochemical hydrodimerization of α-thiophene aldehyde in organic solvents, Bull. Acad. Sci. USSR, Division of chemical science, 1981, vol. 30, p. 615.]
- Мендкович, А.С., Чурилина, А.П., Русаков, А.И., Гультяй, В.П. Экспериментальное изучение реакции димеризации анион-радикалов ароматических карбонильных соединений. Изв. АН СССР. Сер. хим. 1991. Т. 40. С. 1777. [Mendkovich, A.S., Churilina, A.P., Rusakov, A.I., & Gul’tyai, V.P., Experimental study of dimerization of radical anions of aromatic carbonyl compounds, Bull. Acad. Sci. USSR, Division of chemical science, 1991, vol. 40, p. 1572.]
- Andre, F., Hapiot, P., and Lagrost, C., Dimerization of ion radicals in ionic liquids. An example of favourable “Coulombic” solvation, Phys. Chem. Chem. Phys., 2010, vol. 12, p. 7506.
- Кривенко, А.Г., Курмаз, В.А., Коткин, А.С., Симбирцева, Г.В., Гультяй, В.П. Генерирование и исследование превращений фенилметильных радикалов в водных растворах. Электрохимия. 2008. Т. 44. С. 1482. [Krivenko, A.G., Kurmaz, V.A., Kotkin, A. S., Simbirtseva, G.V., and Gultyai, V.P., Generation of phenylmethylketyl radicals in aqueous solutions and study of their transformation, Russ. J. Electrochem., 2008, vol. 44, p. 1382.]
- Doherty, A.P. and Brooks, C.A., Electrosynthesis in room-temperature ionic liquids: benzaldehyde reduction, Electrochim. Acta, 2004, vol. 49, p. 3821.
- Lagrost, C., Hapiot, P., and Vaultier, M., The influence of room-temperature ionic liquids on the stereoselectivity and kinetics of the electrochemical pinacol coupling of acetophenone, Green Chem., 2005, vol. 7, p. 468.
- Macias-Ruvalcaba, N.A. and Evans, D.H., Electrochemical reduction of 2-fluorenecarboxaldehyde: A mechanism with a grandparent–grandchild reaction, J. Electroanal. Chem., 2005, vol. 585, p. 150.
- Lipsztajn, M., Krygowski, T.M., Laren, E., and Galus, Z., Electrochemical investigations of intermediates in electroreduction of aromatic nitro and nitroso compounds in N, N-dimethylformamide: Part II. Electrochemical behaviour of nitrosobenzene, J. Electroanal. Chem., 1974, vol. 57, p. 339.
- Steudel, E., Posdorfer, J., and Schindler, R.N., Intermediates and products in the electrochemical reduction of nitrosobenzene. A spectroelectrochemical investigation, Electrochim. Acta, 1995, vol. 40, p. 1587.
- Nunez-Vergara, L.J., Squella, J.A., Olea-Azar, C., Bollo, S., Navarrete-Encina, P.A., and Sturm, J.C., Nitrosobenzene: electrochemical, UV-visible and EPR spectroscopic studies on the nitrosobenzene free radical generation and its interaction with glutathione, Electrochim. Acta, 2000, vol. 45, 3555.
- Asirvatham, M.R. and Hawley, M.D., Electron-transfer processes: the electrochemical and chemical behavior of nitrosobenzene, J. Electroanal. Chem., 1974, vol. 57, p. 179.
- Михальченко, Л.В., Сыроешкин, М.А., Леонова, М.Ю., Мендкович, А.С., Русаков, А.И., Гультяй, В.П. Реакция димеризации и протонирования анион-радикалов нитрозобензолов. Электрохимия. 2011. Т. 47. С. 1289. [Mikhal’chenko, L.V., Syroeshkin, M.A., Leonova, M.Y., Mendkovich, A.S., Rusakov, A.I., and Gul’tyai, V.P., Dimerization and protonation reactions of nitrosonitrobenzenes radical anions, Russ. J. Electrochem., 2011, vol. 47, p. 1205.]
- Wawzonek, S. and Wearring, D., Polarographic Studies in Acetonitrile and Dimethylformamide. IV. Stability of Anion-free Radicals, J. Amer. Chem. Soc., 1959, vol. 81, p. 2067.
- Гультяй, В.П., Мендкович, А.С., Чурилина, А.П., Рубинская, Т.Я., Коротаева, Л.М. Механизм электровосстановления эфиров ароматических кислот. Изв. АН СССР. Сер. хим. 1984. Т. 33. С. 91. [Gul’tyai, V. P., Mendkovich, A.S., Churilina, A.P., Rubinskaya, T.Y., and Korotaeva, L.M., Mechanism of the electroreduction of esters of aromatic acids, Bull. Acad. Sci. USSR, Division of chemical science, 1984, vol. 33, p. 78.]
- Amatore, C., Pinson, J., and Saveant, J.-M., Are anion radicals unable to undergo radical-radical dimerization? J. Electroanal. Chem., 1982, vol. 137, p. 143.
- Hammerich, O. and Parker,V.D., Are low or negative activation enthalpies consistent with the alleged one step mechanism for the dimerization of 9-substituted anthracene anion radicals, Acta Chem. Scand. Ser. B, 1983, vol. 37, p. 379.
- Lasia, A. and Rami, A., Mechanism of electroreduction of 9-anthraldehyde, Can. J. Chem., 1987, vol. 65, p. 744.
- Mendkovich, A.S., Michalchenko, L.V., and Gultyai, V.P., Study of the reactions of 9-nitroanthracene anion radicals and dianions in dimethylformamide by the controlled potential constant-voltage electrolysis method, J. Electroanal. Chem., 1987, vol. 224, p. 273.
- Гультяй, В.П., Рубинская, Т.Я., Мендкович, А.С., Русаков, А.И. Электрохимическая димеризация 9-ацетилантрацена. Изв. АН СССР. Сер. хим. 1987. Т. 36. С. 2812. [Gul’tyai, V.P., Rubinskaya, T.Y., Mendkovich, A.S., & Rusakov, A.I., Electrochemical dimerization of 9-acetylanthracene, Bull. Acad. Sci. USSR, Division of chemical science, 1987, vol. 36, p. 2609.]
- Мендкович, А. С., Чурилина, А. П., Михальченко, Л. В., Гультяй, В. П. Влияние структуры ароматической системы на скорость димеризации анион-радикалов ароматических нитросоединений. Изв. АН СССР. Сер. хим. 1990. Т. 39. С. 1492. [Mendkovich, A.S., Churilina, A.P., Mikhal’chenko, L.V., and Gul’tyai, V.P., Effect of the structure of the aromatic system on the rate of dimerization of radical anions of aromatic nitro compounds, Bull. Acad. Sci. USSR, Division of chemical science, 1990, vol. 39, p. 1348.]
- Macias-Ruvalcaba, N.A., Telo, J.P., and Evans, D.H., Studies of the electrochemical reduction of some dinitroaromatics, J. Electroanal. Chem., 2007, vol. 600, p. 294.
- Crooks, R.M. and Bard, A.J., Electrochemistry in near-critical and supercritical fluids: Part V. The dimerization of quinoline and acridine radical anions and dianions in ammonia from –70°C to 150°C, J. Electroanal. Chem., 1988, vol. 240, p. 253.
- Macías-Ruvalcaba, N.A. and Evans, D.H., Reversible dimerization of anion radicals: Studies of two cyanopyridines, J. Electroanal. Chem., 2011, vol. 660, p. 243.
- Strasser, P. and Ata, M., Electrochemical synthesis of polymerized LiC60 films, J. Phys. Chem. B, 1998, vol. 102, p. 4131.
- Gallardo, I., Guirado, G., and Marquet, J., Mechanistic studies on the reactivity of halodinitrobenzene radical-anion, J. Electroanal. Chem., 2000, vol. 488, p. 64.
- Gultyai, V.P. and Mendkovich, A.S., Reactions of cathodic dimerization in nonaqueous media: Consideration in terms of the theory of molecular orbital perturbations, J. Electroanal. Chem., 1983, vol. 145, p. 201.
- Mendkovich, A.S. and Gultyai, V.P., Consideration of electrochemical dimerization reactions in terms of the perturbation molecular orbital theory: Part I. General, J. Electroanal. Chem., 1984, vol. 169, p. 1.
- Мендкович, А.С., Русаков, А.И., Гультяй, В.П., Устинов, В.А., Миронов, Г.С. Предсказание констант скорости реакций димеризации анион-радикалов на основании теории ВМО. Изв. АН СССР. Сер. хим. 1986. Т. 35. С. 225. [Mendkovich, A.S., Rusakov, A.I., Gul’tyai, V.P., Ustinov, V.A., and Mironov, G.S., Prediction of the rate constants of the dimerization of radical-anions using PMO theory, Bull. Acad. Sci. USSR, Division of chemical science, 1986, vol. 35, p. 208.]
- Мендкович, А.С. Теоретическое предсказание региоселективности катодной димеризации. Электрохимия. 1992. Т. 28. С. 485. [Mendkovich, A.S., Theoretical prediction of the regioselectivity of cathodic dimerization, Sov. Electrochem., 1992, vol. 28, p. 395.]
- Petrovich, J.P., Baizer, M.M., and Ort M.R., Electrolytic Reductive Coupling: XVII. A Study of 1, 2-Diactivated Olefins. Part II. Macro-electrolyses, J. Electrochem. Soc., 1969, vol. 116, p. 749.
- Fittig, R., Heterocyclic pseudobases, Justus Liebigs Ann. Chem., 1856, vol. 110, p. 23.
- Мендкович, А.С., Лейбзон, В.Н., Майрановский, С.Г., Климова, Т.А., Краюшкин, М.М., Новиков, С.С., Севостьянова, В.В. Электровосстановление производных полиэдранов. Сообщение 1. Влияние структуры кетопроизводных бицикло[3.3.1]нонана на электрохимическое восстановление. Изв. АН СССР. Сер. хим. 1978. Т. 27. С. 1866. [Mendkovich, A.S., Leibzon, V.N., Mairanovski, S.G., Krayushkin, M.M., Klimova, T.A., Novikov, S.S., and Sevost’yanova, V.V., Electroreduction of polyhedrane derivatives 1. Structural effect of keto derivatives of bicyclo [3.3. 1] nonane, adamantane, and noradamantane on electrochemical reduction, Bull. Acad. Sci. USSR, Division of chemical science, 1978, vol. 27, p. 1639.]
- Curphey, T.J., Amelotti, C.W., Layloff, T.P., McCartney, R.L., and Williams, J.H., Electrochemical preparation of cyclopropanediol derivatives, J. Amer. Chem. Soc., 1969, vol. 91, p. 2817.
- Schwientek, M., Pleus, S., and Hamann, C., Enantioselective electrodes: stereoselective ectroreduction of 4-methylbenzophenone and acetophenone, J. Electroanal. Chem., 1999, vol. 461, p. 94.
- Egashira, N., Minami, T., Kondo, T., and Hori, F., Electroreductive dimerization of acetyl compounds in dimethylformamide, Electrochim. Acta, 1986, vol. 31, p. 463.
- Armstrong, N.R., Quinn, R.K., and Vanderborgh, N.E., Voltammetry in sulfolane. Electrochemical behavior of benzaldehyde and substituted benzaldehydes, Anal. Chem., 1974, vol. 46, p. 1759.
- Egashira, N., Takita, Y., and Hori, F., Chemical Reaction Following Electroreduction of Benzophenones. 2. Relationship between the Rate Constant of Disproportionation and Spin Density, Bull. Chem. Soc. Jpn., 1982, vol. 55, p. 3331.
- Гультяй, В.П., Рубинская, Т.Я., Мендкович, А.С. Влияние природы катиона фонового электролита на гидродимеризацию 1-ацетилнафталина в апротонной среде. Изв. АН СССР. Сер. хим. 1991. Т. 40. С. 433. [Gul’tyai, V.P., Rubinskaya, T.Y., and Mendkovich, A.S., Influence of the nature of the base electrolyte on the regioselectivity of the cathodic hydrodimerization of 1-acetylnaphthalene in an aprotic medium, Bull. Acad. Sci. USSR, Division of chemical science, 1991, vol. 40, p. 372.]
- Рубинская, Т.Я., Мендкович, А.С., Лисицина, Н.К., Яковлев, И.П., Гультяй, В.П. Димеризация анион-радикалов ароматических карбоновых кислот, конкурирующая с реакцией самопротонирования. Изв. АН. Сер. хим. 1993. Т. 42. С. 1735. [Rubinskaya, T.Ya., Mendkovich, A.S., Lisitsina, N.K., and Gultyai, V.P., The dimerization of radical anions of aromatic carboxylic acids competing with the self-protonation reaction, Russ. Chem. Bull., 1993, vol. 42, p.1658.]
- Mendkovich, A.S., Ngom, A., Kokorekin, V.A., Mikhailov, M.N., Gningue-Sall, D., and Jouikov, V., Reversible dimerization of anion radicals of carbonyl compounds and the electrosynthesis of pinacols. The case of 9-fluorenone, Electrochim. Acta, 2020, vol. 358, p. 136903.
- Empis, J.M.A. and Herold, B.J., Substituent effects in fluoren-9-one ketyls. Part 2. The electrolytic reduction of fluoren-9-ones studied by cyclic voltammetry and electron spin resonance spectroscopy, J. Chem. Soc., Perkin Trans., 2, 1986, vol. 3, p. 425.
- Мендкович, А.С., Сыроешкин, М.А., Михайлов, М.Н., Ранчина, Д.В., Русаков, А.И. Необычное соотношение pK1 и pK2 при образовании π*-дианиона 9-флуоренона из 9-флуоренола. Изв. АН, Сер. хим. 2013. Т. 62. С. 1668. [Mendkovich, A.S., Syroeshkin, M.A., Mikhailov, M.N., Ranchina, D.V., and Rusakov, A.I., Unusual pK1/pK2 ratio for formation of 9-fluorenone π*-dianion from 9-fluorenol, Russ. Chem. Bull., vol. 62, p. 1668.]
- Cramer, C.J. and Truhlar, D.G., in Solvent Effects and Chemical Reactivity, Eds. Tapia, O., Bertran, J., and Bertran, J.B. Dordrecht: Academic Publishers, 1996, p. 1.
- Cramer, C.J. and Truhlar, D.G., in Quantitative Treatments of Solute/Solvent Interactions, Eds. P. Politzer, J.S. Murray, Amsterdam: Elsevier, 1994, vol.1, p. 9.
- Cramer, C.J. and Truhlar, D.G., in Reviews in Computational Chemistry, Eds. K.B. Lipkowitz, D.B. Boyd, New York: VCH, 1995, v.6, p.1.
- Braumann, J. and Blair, L.K., Gas-phase acidities of alcohols, J. Amer. Chem. Soc., 1970, vol. 92, p. 5986.
- Marcos, E.S., Maraver, J., Ruiz-Lopez, F., and Bertran, J., Electrostatic interactions as a factor in the determination of the HOMO in the liquid state, Can. J. Chem., 1986, vol. 64, p. 2353.
- Ciofini, I., Reviakine, R., Arbuznikov, A., and Kaupp, M., Solvent effects on g-tensors of semiquinone radical anions: polarizable continuum versus cluster models, Theor. Chem. Acc., 2004, vol. 111, p. 132.
- Jaramillo, P., Pérez, P., Fuentealba, P., Canuto, S., and Coutinho, K., Solvent effects on global reactivity properties for neutral and charged systems using the sequential Monte Carlo quantum mechanics model, J. Phys. Chem. B, 2009, vol. 113, 4314.
- Elianson, R., Hammerich, O., and Parker,V.D., Solvent effects on the kinetics and thermodynamics of the reversible dimerization of 9-cyanoanthracene anion radical, Acta Chem. Scand., 1988, vol. B42, p. 7.
- Ryan, M.D. and Evans, D.H., Effect of Sodium Ions on the Electrochemical Reduction of Diethyl Fumarate in Dimethylsulfoxide and Acetonitrile, J. Electrochem. Soc., 1974, vol. 121, p. 881.
- Gutmann, V., Empirical parameters for donor and acceptor properties of solvents, Electrochim. Acta., 1976, vol. 21, p. 661.
- Chowdhurry, S., Grimsrud, E.P., and Kebarle, P., Bonding of charge delocalized anions to protic and dipolar aprotic solvent molecules, J. Phys. Chem., 1987, vol. 91, p. 2551.
- Marcus, Y., Thermodynamic functions of transfer of single ions from water to nonaqueous and mixed solvents: Part I-Gibbs free energies of transfer to nonaqueous solvents, Pure Appl. Chem., 1983, vol. 55, p. 977.
- Tachikawa, H., Solvation dynamics of the fluorenone radical anion by methanol: a direct MO dynamics study, J. Mol. Struct. (Theochem), 1998, vol. 427, p. 191.
- Marcos, E.S., Maraver, J., and Bertran, J., Specific interactions as a factor in the determination of the HOMO in the liquid state, Nouveau journal de chimie (1977), 1986, vol. 10, p. 357.
- Bowers, K.W., Radical Ions, New York: Interscience, vol. 1968, p. 261.
- Stevenson, G.R., and Hidalgo, H., Equilibrium studies by electron spin resonance. III. The nitrobenzene free ion as a hydrogen bond acceptor, J. Phys. Chem., 1973, vol. 77, p. 1027.
- Echegoyen, L., Hidalgo, H., and Stevenson, G.R., Equilibrium studies by electron spin resonance. V. Role of the cation in hydrogen bonding to the nitrobenzene anion radical, J. Phys. Chem., 1973, vol. 77, p. 2649.
- Gendell, J., Freed, J.H., and Fraenkel, J.K., Solvent effects in electron spin resonance spectra, J. Chem. Phys., 1962, vol. 37, p. 2832.
- Miller, C. and Gulick, W.M., Solvation of nitroaromatic radical anions: a molecular orbital investigation of hydrogen bonding models, Molec. Phys., 1974, vol. 27, p. 1185.
- Parker, V.D., Mechanisms of the electrohydrodimerization of activated olefins. VII: The validity of rate-activation energy relationships for dimerization reactions of ion radicals, Acta. Chem. Scand. B., 1983, vol. 37, p. 393.
- Gomez, M., Gonzalez, F. J., and Gonzalez, I., A model for characterization of successive hydrogen bonding interactions with electrochemically generated charged species. The quinone electroreduction in the presence of donor protons, Electroanalysis, 2003, 15, p. 635.
- Asher, J.R., Doltsinis, N.L., and Kaupp, M., Ab initio molecular dynamics simulations and g-tensor calculations of aqueous benzosemiquinone radical anion: effects of regular and “T-Stacked” hydrogen bonds, J. Amer. Chem. Soc., 2004, vol. 126, p. 9854.
- Alligrant, T.M., Hackett, J.C., and Alvarez, J. C., Acid/base and hydrogen bonding effects on the proton-coupled electron transfer of quinones and hydroquinones in acetonitrile: Mechanistic investigation by voltammetry, 1H NMR and computation, Electrochim. Acta, 2010, vol. 55, p. 6507.
- Wang, S., Singh, P.S., and Evans, D.H., Concerted Proton–Electron Transfer: Effect of Hydroxylic Additives on the Reduction of Benzophenone, 4-Cyanobenzophenone, and 4, 4'-Dicyanobenzophenone, J. Phys. Chem. C, 2009, vol. 113, p. 16686.
- Gomez, M., Gonzalez, F.J., and Gonzalez, I., Effect of host and guest structures on hydrogen bonding association: Influence on stoichiometry and equilibrium constants, J. Electrochem. Soc., 2003, vol. 150, p. E527.
- Zhan, C.-G. and Chipman, D.M., Effect of Hydrogen Bonding on the Vibrations of p-Benzosemiquinone Radical Anion, J. Phys. Chem. A, 1998, vol. 102, p. 1230.
- Salas, M., Gomez, M., Gonzalez, F.J., and Gordillo, B., Electrochemical reduction of 1, 4-benzoquinone. Interaction with alkylated thymine and adenine nucleobases, J. Electroanal. Chem., 2003, vol. 543, p. 73.
- Ge, Y., Miller, L., Ouimet, T., and Smith, D.K., Electrochemically Controlled Hydrogen Bonding. o-Quinones as Simple Redox-Dependent Receptors for Arylureas, J. Org. Chem., 2000, vol. 65, p. 8831.
- Sinnecker, S., Reijerse, E., Neese, F., and Lubitz, W., Hydrogen bond geometries from electron paramagnetic resonance and electron-nuclear double resonance parameters: Density functional study of quinone radical anion-solvent interactions, J. Amer. Chem. Soc., 2004, vol. 126, p. 3280.
- Gomez, M., Gomez-Castro, C.Z., Padilla-Martinez, I.I., Martinez-Martinez, F.J., and Gonzalez, F.J., Hydrogen bonding effects on the association processes between chloranil and a series of amides, J. Electroanal. Chem., 2004, vol. 567, p. 269.
- Gomez, M., Gonzalez, F.J., and Gonzalez, I., Intra and intermolecular hydrogen bonding effects in the electrochemical reduction of α-phenolic-naphthoquinones, J. Electroanal. Chem., 2005, vol. 578, p. 193.
- Okamoto, K., Ohkubo, K., Kadish, K., and Fukuzumi, M.S., Remarkable accelerating effects of ammonium cations on electron-transfer reactions of quinones by hydrogen bonding with semiquinone radical anions, J. Phys. Chem. A, 2004, vol. 108, 10405.
- Zhang, L., Zhou, H., Li, X., Lin, Y., Yu, P., Su, L., and Mao, L., Voltammetric determination of water with inner potential reference and variable linear range based on structure-and redox-controllable hydrogen-bonding interaction between water and quinones, Electrochem. Comm., 2009, vol. 11, p. 808.
- Ахмед, С., Хан, А.И., Куреши, Р., Субхани, М.С. Ассоциация водородных связей в промежуточных продуктах электровосстановления бензохинонов и нафтохинонов. Электрохимия. 2007. Т. 43. С. 851. [Ahmed, S., Khan, A.Y., Qureshi, R., & Subhani, M.S., Hydrogen bonding association in the electroreduced intermediates of benzoquinones and naphthoquinones, Russ. J. Electrochem., 2007, vol. 43, p. 811.]
- Macias-Ruvalcaba, N.A., Gonzalez, I., and Aguilar-Martinez, M., Evolution from hydrogen bond to proton transfer pathways in the electroreduction of α-NH-quinones in acetonitrile, J. Electrochem. Soc., 2004, vol. 151, p. E110.
- Gupta, N. and Linschitz, H., Hydrogen-bonding and protonation effects in electrochemistry of quinones in aprotic solvents, J. Amer. Chem. Soc., 1997, vol. 119, p. 6384.
- Chan-Leonor, C., Martin, S. L., and Smith, D. K., Electrochemically Controlled Hydrogen Bonding. Redox-Dependent Formation of a 2:1 Diarylurea/Dinitrobenzene2- Complex, J. Org. Chem., 2005, vol. 70, p. 10817.
- Bu, J., Lilienthal, N.D., Woods, J.E., Nohrden, C.E., Hoang, K.T., Truong, D., and Smith, D.K., Electrochemically controlled hydrogen bonding. Nitrobenzenes as simple redox-dependent receptors for arylureas, J. Amer. Chem. Soc., 2005, vol. 127, p. 6423.
- Сыроешкин, М.А., Мендкович, А.С., Михальченко, Л.В., Гультяй, В.П. Природа ассоциатов дианиона 1,4-динитробензола с катионами 1-бутил-3-метилимидазолия и 1-бутил-2,3-диметилимидазолия. Изв. АН. Сер. хим. 2009. Т. 58. С. 1637. [Syroeshkin, M.A., Mendkovich, A.S., Mikhal’chenko, L.V., and Gul’tyai, V.P., The nature of associates of 1,4-dinitrobenzene dianion with 1-butyl-3-methylimidazolium and 1-butyl-2,3-dimethylimidazolium cations, Russ. Chem. Bull., 2009, vol. 58, p. 1688.]
- Sanchez, P.D.A. and Evans, D.H., Effect of hydroxylic additives on the electrochemical reduction of some azobenzenes, J. Electroanal. Chem., 2010, vol. 638, p. 84.
- Мендкович, А.С., Сыроешкин, М.А., Гультяй, В.П., Русаков, А.И. Механизм электровосстановления N-фенилгидроксиламинов в апротонной среде: образование водородных связей между N-(3-нитрофенил) гидроксиламином и его анион-радикалом. Изв. АН, Сер. хим. 2017. С. 479. [Mendkovich, A.S., Syroeshkin, M.A., Gultyai, V.P., & Rusakov, A.I., Electroreduction mechanism of N-phenylhydroxylamines in aprotic solvents: formation of hydrogen bonds between N-(3-nitrophenyl) hydroxylamine and its radical anion, Russ. Chem. Bull., 2017, p. 479.]
- Hirota, N., Spin Distribution in Ketyl Radicals, J. Chem. Phys., 1962, vol. 37, 1884.
- Tachikawa, H., Murai, H., and Yoshida, H., Structures and electronic states of ion-pair complexes formed between a carbonyl compound and a sodium atom. An ab initio molecular orbital and MRSDCI study, J. Chem. Soc. Faraday Trans., 1993, vol. 89, p. 2369.
- Davies, A.G. and Neville, A.G., Electron paramagnetic resonance spectra of aliphatic ketyl radical anions in fluid solution, J. Chem. Soc. Perkin Trans. 2, 1992, vol. 2, p. 163.
- Michael, S. (ed.). Ions and Ion Pairs in Organic Reactions. New York: Wiley-Interscience, 1972.
- Miertus, S., Kysel, O., and March, P., Association of radical anions with alkali metal cations; I. Modified π (PPP-like) method for the investigation of ion pairs, Collect. Czech. Chem. Commun., 1980, vol. 45, p. 339.
- Miertus, S., Kysel, O., and March, P., Association of radical anions with alkali metal cations; II. Quantum-chemical study of the associates of glyoxal, nitrobenzene and fluorenone with lithium, Collect. Czech. Chem. Commun., 1980, vol. 45, p. 351.
- Miertus, S., Kysel, O., March, P., and Danciger, J., Association of radical anions alkali metal cations. III. Experimental and theoretical study of the associates of nitrobenzene radical anions with Li+, Na+, K+, Cs+ and (nC 4 H 9) 4 N+ cations, Collect. Czech. Chem. Commun., 1980, vol. 45, p. 360.
- Miertus, S., Kysel, O., March, P., and Danciger, J., Association of radical anion with alkali cations. IV. ESR study of the 4-nitrobenzophenone radical anion, Collect. Czech. Chem. Commun., 1980, vol. 45, p. 369.
- Gremaschi, P., Gamba, A., and Simonetta, M., Ab initio calculations including solvent effects of the structure of pyrazine, 4-nitropyridine and dicyanobenzenes ion pairs, Theor. Chim. Acta (Berl.), 1975, vol. 40, p. 303.
- Hirota, N., Electron Paramagnetic Resonance Studies of Ion Pairs. Metal Ketyls, J. Amer. Chem. Soc., 1967, vol. 89, 32.
- Hazelrigg, M.J. and Bard, A.J., Electrohydrodimerization Reactions: IV. A Study of the Effect of Alkali Metal Ions on the Hydrodimerization of Several 1, 2-Diactivated Olefins in DMF Solutions by Chronoamperometry and Chronocoulometry, J. Electrochem. Soc., 1975, vol. 122, p. 211.
- Sheldrick, G. M., SHELXT–Integrated space-group and crystal-structure determination, Acta Cryst., 2015, vol. A71, p. 3.
- Salaun, J.-P., Salaun-Bouix, M., and Caullett, C., Réduction chimique et électrochimique du thiophène-2.5 dicarbaldéhyde, Compt. Rend. Acad. Sci., 1975, Serie C, vol. 280, p. 165.
- Гультяй, В.П., Коротаева, Л.М., Рубинская, Т.Я. Электрохимическая димеризация 2-ацетилтиофена. Изв. АН СССР. Cер. хим. 1988. С. 1121. [Gul’tyai, V.P., Korotaeva, L.M., and Rubinskaya, T.Y., Electrochemical dimerization of 2-acetylthiophene, Bull. Acad. Sci. USSR, Division of chemical science, 1988, p. 983.]
- Гультяй, В.П., Коротаева, Л.М. Роль компонентов среды в реакциях электрохимически генерируемых радикал-анионов. Стереохимия и селективность катодной гидродимеризации α-тиофенальдегида в неводных средах. Изв. АН СССР. Cер. хим. 1982. Т. 31. С. 165. [Gul’tyai, V.P. and Korotaeva, L.M., Role of medium components in the reactions of electrochemically generated radical-anions 3. Stereochemistry and selectivity of the cathodic hydrodimerization of α-thiophenaldehyde in nonaqueous media, Bull. Acad. Sci. USSR, Division of chemical science,1982, vol. 31, p. 156.]
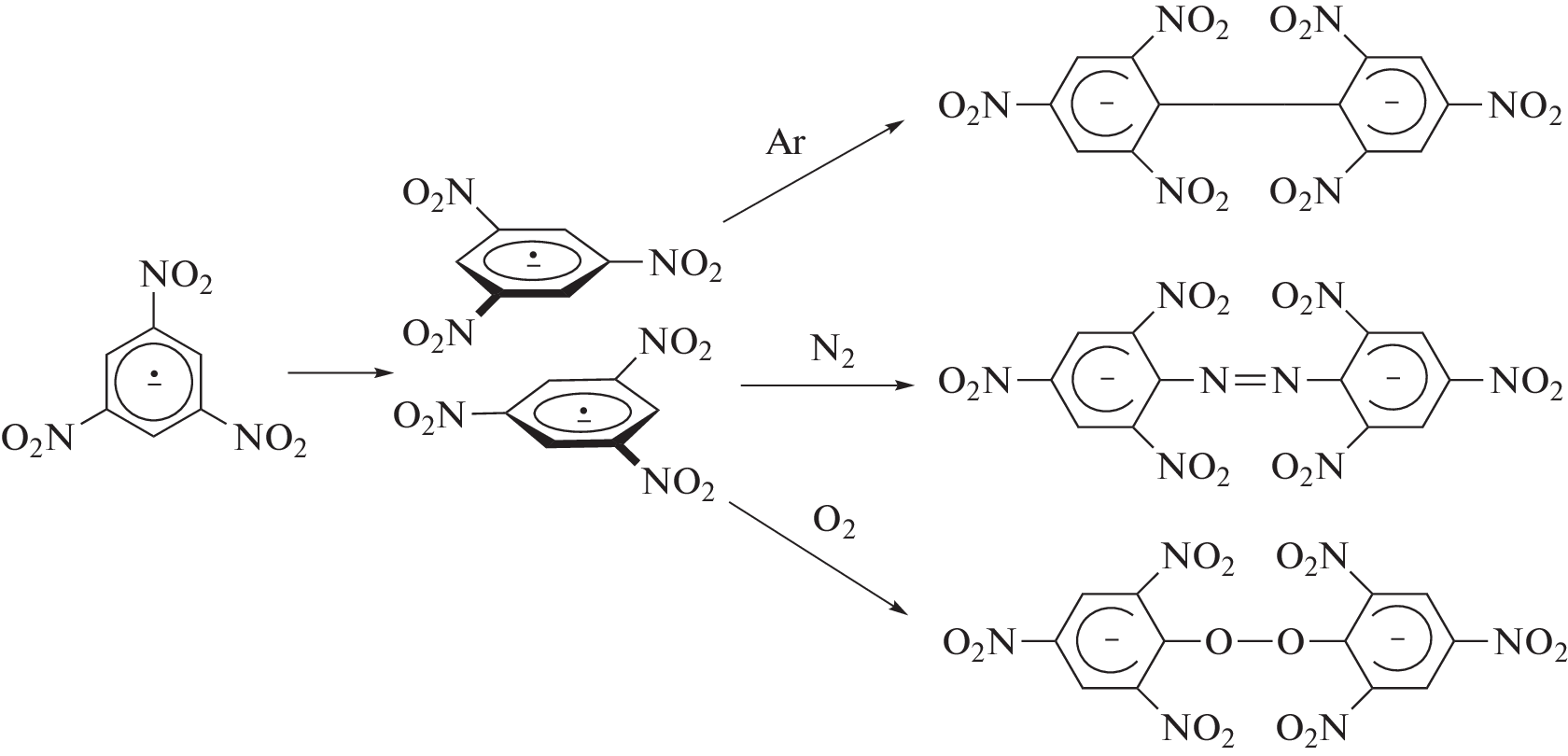
- Gallardo, I., Guirado, G., Marquet, J., and Vila, N., Evidence for a π Dimer in the Electrochemical Reduction of 1,3,5-Trinitrobenzene: A Reversible N2-Fixation System, Angew. Chem., Int. Ed., 2007, vol. 46, p. 1343.
- Gallardo, I. and Guirado, G., Oxygen carriers based on electrochemically reduced trinitroarenes, Phys. Chem. Chem. Phys., 2008, vol. 10, p. 4456
- Gritsan, N.P., Lonchakov, A.V., Lork, E., Mews, R., Pritchina, E. A., and Zibarev, A.V., [1,2,5]Selenadiazolo[3,4-c][1,2,5]thiadiazole and [1,2,5]Selenadiazolo[3,4-c][1,2,5]thiadiazolidyl – A Synthetic, Structural, and Theoretical Study, Eur. J. Inorg. Chem., 2007, p. 1994.
- Grossel, M. C. and Weston, S. C., Truly Isolated TCNQ•- Dimer? Chem. Mater., 1996, vol. 8, p. 977.
- Hou, Z., Fujita, A., Yamazaki, H., and Wakatsuki, Y., First Isolation of a Metal Ketyl in Aggregated Forms. X-ray Structures of Dimeric and Tetrameric Sodium Fluorenone Ketyl Complexes:[Na (μ2-η1-ketyl)(HMPA) 2] 2 and [Na (μ3-η1-ketyl)(HMPA)], 4J. Amer. Chem. Soc., 1996, vol. 118, p. 2503.
- Hou, Z., Jia, X., Fujita, A., Tezuka, H., Yamazaki, H., and Wakatsuki, Y., Alkali and Alkaline-Earth Metal Ketyl Complexes: Isolation, Structural Diversity, and Hydrogenation/Protonation Reactions, Chem. Eur. J., 2000, vol. 6, 2994.
- Macias-Ruvalcaba, N.A., Felton, G.A.N., and Evans, D.H., Contrasting behavior in the reduction of 1,2-acenaphthylenedione and 1,2-aceanthrylenedione. Two types of reversible dimerization of anion radicals, J. Phys. Chem. C, 2009, vol. 113, p. 338.
- Худяков, И.В., Левин, П.П., Кузьмин, В.А. Обратимая рекомбинация радикалов. Успехи химии. 1980. Т. 49. С. 1990. [Khudyakov, I.V., Levin, P.P., and Kuz’min, V.A., Reversible recombination of radicals, Russ. Chem. Rev.,1980, vol. 49, p. 982.]
- Hynes, J.T., Klinman, J.P., Limbach, H.H., and Schowen, R.L., (Eds). Hydrogen-Transfer Reactions, Weinheim: Wiley-VCH, 2007.
- Caldin, E. and Gold, V., Eds Proton-transfer reactions, London: Chapman and Hall, 1975, 448 p.
- Houmam, A., Electron transfer initiated reactions: Bond formation and bond dissociation, Chem. Rev., 2008, vol. 108, p. 2180.
- Guin, P.S., Das, S., and Mandal, P.C., Electrochemical reduction of quinones in different media: a review, Intern. J. Electrochem., 2011, vol. 816202, p. 1.
- Costentin, C., Electrochemical approach to the mechanistic study of proton-coupled electron transfer, Chem. Rev., 2008, vol. 108, p. 2145.
- Birch, A. J. and Subba, R. G., Reductions by metal-ammonia solutions and related reagents, Adv. Org. Chem., 1972, vol. 8, p. 1.
- Mendkovich, A.S., Nasybullina, D.V., Elinson, M.N., and Mikhalchenko, L.V., Anion Radical of Carbonyl Compounds as Electrochemically Generated Base in Henry Reactions: 1, 2-Acenaphthenedione, J. Electrochem. Soc., 2020, vol. 167, p. 155502.
- Hammes-Schiffer, S. and Soudackov, A.V., Proton-coupled electron transfer in solution, proteins, and electrochemistry, J. Phys. Chem. B, 2008, vol. 112, p. 14108.
- Hayano, S. and Fujihira, M., The Protonation of Aromatic Hydrocarbon Radical Anions. II. Interpretations of the Rate Constants in Terms of HMO Calculations, Bull. Chem. Soc. Jpn, 1971, vol. 44, p. 2046.
- Хойтинк, Г. Электрохимия металлов в неводных средах. М.: Мир, 1974, 356 с.
- Eberson, L., Blum, Z., Helgee, B., and Nyberg, K., Radical ion reactivity - I: Application of the dewar-zimmerman rules to certain reactions of radical anions and cations, Tetrahedron, 1978, vol. 34, p. 731.
- Fry, A.J. and Shuettenberg, A., Rates of protonation of aromatic radical anions in dimethyl sulfoxide, J. Org. Chem., 1974, vol. 39, p. 2452.
- Levanon, H., Neta, P., and Trozzolo, A.M., Correlation of singlet energies of aromatic hydrocarbons with the rates of protonation of their anion radicals, Chem. Phys. Lett., 1978, vol. 54, p. 181.
- Мендкович, А.С., Сыроешкин, М.А., Михайлов, М.Н., Русаков, А.И. Использование индексов реакционной способности для оценки констант скорости протонирования анион-радикалов и дианионов. Изв. АН, Сер. хим. 2010. Т. 59. С. 2015. [Mendkovich, A.S., Syroeshkin, M.A., Mikhailov, M.N., and Rusakov, A.I., Russ. Chem. Bull., 2010, vol. 59, p. 2068.]
- Morales-Morales, J. Frontana, A., Aguilar-Martinez, C.M., Bautista-Martinez, J.A., Gonzalez, F.J., and Gonzalez, I., Analysis of the substituent effect on the reactivity modulation during self-protonation processes in 2-nitrophenols, J. Phys. Chem. A, 2007, vol. 111, p. 8993.
- Politzer, P. and Truhlar, D.G., (Eds.), Chemical Applications of Atomic and Molecular Electrostatic Potentials, New York: Plenum, 1981, 472 p.
- Bonaccorsi, R., Scrocco, E., and Tomasi, J., Molecular SCF calculations for the ground state of some three-membered ring molecules:(CH2)3, (CH2)2NH, (CH2)2NH, (CH2)2O, (CH2)2S, (CH) 2CH2, and N2CH2, J. Chem. Phys., 1970, vol. 52, p. 5270.
- Barrows, S., Cramer, C., Truhlar, D., Elovitz, M.S., and Weber, E.J., Factors controlling regioselectivity in the reduction of polynitroaromatics in aqueous solution, Environ. Sci. Technol., 1996, vol. 30, p. 3028.
- Birch, A.J., Hinde, A.L., and Radom, L., A theoretical approach to the Birch reduction. Structures and stabilities of the radical anions of substituted benzenes, J. Amer. Chem. Soc., 1980, vol. 102, p. 3370.
- Pross, A., A general approach to organic reactivity: The configuration mixing model, Adv. Phys. Org. Chem., 1985, p. 99.
- Мендкович, А.С. Количественные закономерности химического поведения π*-анион-радикалов органических соединений. Автореф. дис. докт. хим. наук, Ин-т орган. химии им. Н.Д.Зелинского РАН, М.: 1992, 65 с. [Mendkovich, A.S., Quantitative Regularities of the Chemical Behavior of π*-Anion-Radicals of Organic Compounds (in Russian), Abstr. dissert., N.D.Zelinsky Institute of Organic Chemistry, Moscow, 1992, 65 с.]
- Dewar, M.J.S., Hashmall, J.A., and Trinajstic, N., Ground states of conjugated molecules. XXII. Polarographic reduction potentials of hydrocarbons, J. Amer. Chem. Soc., 1970, vol. 92, p. 5555.
- Jaworski, J.S., Kinetics of protonation of anthracene and phenanthrene radical anions in DMF by a series of substituted phenols. Comparison of Brønsted and Hammett plots, J. Chem. Soc., Perkin Trans. 2, 1999, p. 2755.
- Nielsen, M.F. and Hammerich, O., The Application of Linear Sweep Voltammetry for the Determination of Rate Constants in the Range 105–108 M–1 s–1 for Protonation of Anion Radicals in N, N-Dimethylformamide, Acta Chem.Scand. B, 1987, vol. 41, p. 668.
- Dorfman, L.M., Electron and proton transfer reactions of aromatic molecule ions in solution, Acc., Chem. Res., 1970, vol. 3, p. 224.
- Гультяй, В.П., Мендкович, А.С. Реакционная способность анион-радикалов и реакции с их участием. Новости электрохимии органических соединений. Тез.докл. XI Всесоюз. совещ. по электрохимии орган. соединений. М.: Львов: 1986, С. 118. [Gultyai, V.P. and Mendkovich, A.S., Reactivity of radical anions and reactions with their participation. News of electrochemistry of organic compounds, Theses.reports XI All-Union Conf. Electrochem. Organic Compounds, Moscow, Lvov, 1986, p. 118.]
- Mendkovich, A.S., Gultyai, V.P., and Rusakov, A.I., Some Quantative Regularities of Organic Anion Radicals and Dianions Reaction, Abstr. Papers of IUPAC VI Intern. Conf. on Organic Synthesis, Moscow, 1986, p. 224.
- Мендкович, А.С., Русаков, А.И., Миронов, Г.С., Гультяй, В.П. О типе контроля в реакциях протонирования анион-радикалов альтернантных углеводородов. Тез. докл. VII Всесоюз. совещ. “Комплексы с переносом заряда и ион-радикальные соли”. Черноголовка: 1981, С. 106. [ Mendkovich, A.S., Rusakov, A.I., Mironov, G.S., and Gultyai, V.P., On the type of control in the reactions of protonation of radical anions of alternative hydrocarbons, Abstr. VII All-Union Conf. “Complexes with charge transfer and ion-radical salts”, Chernogolovka, 1981, p. 106.]
- Янилкин, В.В., Губская, В.П., Морозов, В.И., Настапова, Н.В., Зверев, В.В., Бердников, Е.А., Нуретдинов, И.А. Электрохимия фуллеренов и их производных. Электрохимия. 2003. Т. 39. 1285. [Yanilkin, V.V., Gubskaya, V.P., Morozov, V.I., Nastapova, N.V., Zverev, V.V., Berdnikov, E.A., and Nuretdinov, I.A., Electrochemistry of fullerenes and their derivatives, Russ. J. Electrochem., 2003, vol. 39, 1147.]
- Neta, P. and Fessenden, W., Electron spin resonance study of radical anions from aromatic carboxylic acids, J. Phys. Chem., 1973, vol. 77, p. 620.
- Amatore, C., Capobianco, G., Farnia, G., Sandona, G., Saveant, J. M., Severin, M. G., and Vianello, E., Kinetics and mechanism of self-protonation reactions in organic electrochemical processes, J. Amer. Chem. Soc., 1985, vol. 107, p. 1815.
- Mendkovich, A.S., Hammerich, O., Rubinskaya, T.Ya., and Gultyai, V.P., Self-protonation reaction of simple aromatic carboxylic acids during voltammetric reduction in dimethyl sulfoxide, Acta Chem. Scand., 1991, vol. 45, p. 644.
- Todres, Z.V., Ion-radical organic chemistry: principles and applications, 2nd ed., New York, Taylor & Francis, 2009, 475 p.
- Simic, M. and Hoffman, M.Z., Acid-base properties of the radicals produced in the pulse radiolysis of aqueous solutions of benzoic acid, J. Phys. Chem., 1972, vol. 76, p. 1398.
- Zhao, Y. and Bordwell, F.G., Acidities of Radical Anions (pKHA-•) Derived from Nitro-Substituted Aromatic Weak Acids and the Formation of Radical Dianions, J. Org. Chem., 1996, vol. 61, p. 2530.
- Rodriguez, J., Olea-Azar, C., Barriga, G., Folch, C., Gerpe, A., Cerecetto, H., and Gonzalez, M., Comparative spectroscopic and electrochemical study of nitroindazoles: 3-Alcoxy, 3-hydroxy and 3-oxo derivatives, Spectrochim. Acta A, 2008, vol. 70, p. 557.
- Baeza, A., Ortiz, J.L., and Gonzalez, I., Control of the electrochemical reduction of o-nitrophenol by pH imposition in acetonitrile, J. Electroanal. Chem., 1997, vol. 429, p. 121.
- Silvester, D.S., Wain, A.J., Aldous, L., Hardacre, C., and Compton, R.G., Electrochemical reduction of nitrobenzene and 4-nitrophenol in the room temperature ionic liquid [C4dmim][N (Tf) 2], J. Electroanal. Chem., 2006, vol. 596, p. 131.
- Isse, A.A., Abdurahman, A.M., and Vianello, E., Role of proton transfer in the electrochemical reduction mechanism of salicylideneaniline, J. Chem. Soc., Perkin Trans. 2, 1996, p. 597.
- Forryan, C.L. and Compton, R.G., Studies of the electrochemical reduction of 4-nitrophenol in dimethylformamide: evidence for a change in mechanism with temperature, Phys. Chem. Chem. Phys., 2003, vol. 5, p. 4226.
- Forryan, C.L., Lawrence, N. S., Rees, N.V., and Compton, R.G., Voltammetric characterisation of the radical anions of 4-nitrophenol, 2-cyanophenol and 4‑cyanophenol in N,N-dimethylformamide electrogenerated at gold electrodes, J. Electroanal. Chem., 2004, vol. 561, p. 53.
- Cavalcanti, J.C.M., Oliveira, N.V., de Moura, M.A.B., Fruttero, R., and Bertinaria, M.O., Goulart, Evidence of self-protonation on the electrodic reduction mechanism of an anti-Helicobacter pylori metronidazole isotere, J. Electroanal. Chem., 2004, vol. 571, p. 177.
- Syroeshkin, M.A., Mendkovich, A.S., Mikhalchenko, L.V., and Gultyai, V.P., Self-protonation upon the electroreduction of 2-and 4-nitrophenylhydroxylamines in aprotic media, Mendeleev Commun., 2009, vol. 19, p. 258.
- Farnia, G., Ludvik, J., Sandona., G., and Severin, M.G., Decay of electrogenerated dianions of acidic indenes: an ‘indirect’ self-protonation mechanism, J. Chem. Soc., Perkin Trans. 2, 1991, p. 1249.
- Papadakis, N. and Dye, J.L., Kinetics of protonation of potassium anthracenide by ethanol in tetrahydrofuran. Effect of dicyclohexano-18-crown-6 and 2,2,2-cryptand, J. Phys. Chem., 1978, vol. 82, p. 1111.
- Мендкович, А.С., Лейбзон, В.Н., Мартынова, Л.В. Использование зависимостей ток-время для определения механизма электродных процессов. Распад радикала, образующегося при протонизации радикал-аниона нитробензола. Электрохимия. 1982. Т. 18. С. 424. [Mendkovich, A.S., Leibzon, V.N., and Martynova, L.V., Use of Current-Time Curves for Determining the Mechanism of Electrode Processes. Fecay of a Radical Formed upon Protonation of Radical Anion of Nitrobenzene, Sov. Electrochem., 1982, vol. 18, p. 375.]
- Mendkovich, A.S., Syroeshkin, M.A., Mikhalchenko, L.V., Mikhailov, M.N., Rusakov, A.I., and Gul’tyai, V.P., Integrated study of the dinitrobenzene electroreduction mechanism by electroanalytical and computational methods, Intern. J. Electrochem., 2011, p. 346043.
- Мендкович, А.С., Сыроешкин, М.А., Михальченко, Л.В., Русаков, А.И., Гультяй, В.П. Реакции протонирования дианионов 1,3- и 1,4-динитробензолов. Изв. АН, Сер. хим. 2008. Т. 57. С. 1463. [Mendkovich, A.S., Syroeshkin, M.A., Mikhalchenko, L.V., Rusakov, A.I., and Gultyai, V.P., Protonation of 1,3-and 1,4-dinitrobenzene dianions, Russ. Chem. Bull., 2008, vol. 57, p. 1492.]
- Сыроешкин, М.А., Мендкович, А.С., Михальченко, Л.В., Русаков, А.И., Гультяй, В.П. Кинетика протонирования фенолом анион-радикала и дианиона 1,2-динитробензола. Изв. АН, Сер. хим. 2009. Т. 58. С. 459. [Syroeshkin, M.A., Mendkovich, A.S., Mikhal’Chenko, L.V., Rusakov, A.I., and Gul’tyai, V.P., Kinetics of protonation of the 1, 2-dinitrobenzene radical anion and dianion by phenol, Russ. Chem. Bull., 2009, vol. 58, p. 468.]
- Mikhalchenko, L.V., Mendkovich, A.S., Syroeshkin, M.A., and Gultyai, V.P., Kinetics of the 1,3-dinitrobenzene dianion protonation with 1-butyl-3-methylimidazolium cations, Mendeleev Commun., 2009, vol. 19, p. 96.
- Stratakis, M. and Streitwieser, A., Carbon acidity. 85. Ion pair acidities of 9, 9'-bifluorenyl in THF: pK2 is lower than pK1, J. Org. Chem., 1993, vol. 58, p. 1989.
- Madhavan, V., Lichtin, N.N., and Hayon, E., Protonation reactions of electron adducts of acrylamide derivatives. Pulse radiolytic-kinetic spectrophotometric study, J. Amer. Chem. Soc., 1975, vol. 97, p. 2898.
- Madhavan, V., Lichtin, N.N., and Hayon, E., Electron adducts of acrylic acid and homologs. Spectra, kinetics, and protonation reactions. A pulse-radiolytic study, J. Org. Chem., 1976, vol. 41, p. 2320.
- Kumar, M., Rao, M.H., Moorthy, P.N., and Rao, K.N., Pulse radiolysis study of initiation and propagation in radiation induced polymerisation of cyclohexyl methacrylate, Radiat. Phys. Chem., 1989, vol. 33, p. 219.
- Safrany, A. and Wojnarovits, L., Pulse radiolysis of aqueous solutions of ethyl acrylate and hydroxy ethyl acrylate, Radiat. Phys. Chem., 1993, vol. 41, p. 1027.
- Wojnarovits, L., Takacs, E., Dajka, K., D’Angelantonio, M., and Emmi, S.S., Pulse radiolysis of acrylamide derivatives in dilute aqueous solution, Radiat. Phys. Chem., 2001, vol. 60, p. 337.
- Lilie, J. and Henglein, A., Pulsradiolytische Messung und LCAO-Berechnung der Absorptionsspektren und pK-Werte freier Radikale mit konjugierten Doppelbindungen, Ber. Bunsenges. Phys. Chem., 1969, vol. 73, p. 170.
- Hayon, E. and Simic, M., Acid-base properties of radical anions of cis-and trans-isomers. I. Fumarates and maleates, J. Amer. Chem. Soc., 1973, vol. 95, p. 2433.
- Strauss, P., Knolle, W., and Naumov, S., Radiation-induced radical formation and crosslinking in aqueous solutions of N-isopropylacrylamide, Macromol. Chem. Phys., 1998, vol. 199, p. 2229.
- Van Paemel, C., Frumin, H., Brooks, V.L., Failor, R., and Sevilla, M.D., Protonation reactions at carbon sites in the anion radicals of certain unsaturated compounds and aromatic amino acids, J. Phys. Chem., 1975, vol. 79, p. 839.
- Wojnarovits, L., Takacs, E., Dajka, K., and Emmi, S.S., On the reversible protonation of acrylic-type compounds, Res. Chem. Intermed., 2001, vol. 27, 847.
- Adams, G.E. and Willson, R.L., Ketyl radicals in aqueous solution pulse radiolysis study, J. Chem. Soc., Faraday Trans. 1, 1973, vol. 69, p. 719.
- Hayon, E., Ibata, T., Lichtin, N.N., and Simic, M., Electron and hydrogen atom attachment to aromatic carbonyl compounds in aqueous solution. Absorption spectra and dissociation constants of ketyl radicals, J. Phys. Chem., 1972, vol. 76, p. 2072.
- Marignier, J.L. and Hickel, B., Pulse radiolysis measurements of the solvation rate of benzophenone anion in liquid alcohol: Effect of temperature, J. Phys. Chem., 1984, vol. 88, p. 5375.
- Гультяй, В.П., Мендкович, А.С. Электросинтез. Электродные реакции с участием органических соединений, под ред. А. П. Томилова. М.: Наука, 1990, С. 101-126. [Gul’yai, V.P. and Mendkovich, A.S., Electrosynthesis. Electrode reactions involving organic compounds, Tomilov, A.P. Ed., Moscow: Nauka, 1990 p. 101.]
- Maslak, P. and Theroff, J., Intrinsic Barriers of the Alternative Modes of Mesolytic Fragmentations of C−S Bonds, J. Amer. Chem. Soc., 1996, vol. 118, p. 7235.
- Anne, A., Fraoua, S., Moiroux, J., and Saveant, J.-M., Thermodynamic control in ion radical cleavages through out-of-cage diffusion of products. Dynamics of C−C fragmentation in cation radicals of tert-butylated NADH analogues and other ion radicals, J. Amer. Chem. Soc., 1996, vol. 118, p. 3938.
- Saveant, J.-M., Dynamics of cleavage and formation of anion radicals into and from radicals and nucleophiles. Structure-reactivity relationships in SRN1 reactions, J. Amer. Chem. Soc., 1994, vol. 98, p. 3716.
- Costentin, C., Robert, M., and Savéant, J.M., Activation barriers in the homolytic cleavage of radicals and ion radicals, J. Amer. Chem. Soc., 2003, vol. 125, p. 105.
- Zheng, Z.-R. and Evans, D. H., A bifunctional molecule that receives two electrons sequentially through only one of its two reducible groups, J. Amer. Chem. Soc., 1999, vol. 121, p. 2941.
- Zheng, Z.-R., Evans, D.H., Chang-Shing, S., and Lessard, J., Cleavage reactions of radical anions that range from homolytic to heterolytic within the same family of compounds, J. Amer. Chem. Soc., 1999, vol. 121, p. 9429.
- Houmam, A. and Hamed, E.M., Dissociation of aryl sulfonyl phthalimide radical anions: relevance to the biological activity of aryl sulfonyl amides, Chem. Comm., 2012, vol. 48, p. 11328.
- Ваганова, Т.А., Пантелеева, Е.В., Штейнгарц, В.Д. Анионные восстановленные формы электронодефицитных аренов в реакциях с формированием связи CC. Успехи химии. 2008. Т. 77. С. 639. [Vaganova, T.A., Panteleeva, E.V., and Shteingarts, V.D., Anionic reduced forms of electron-deficient arenes in reactions with C–C bond formation, Russ. Chem. Rev., 2008, vol. 77, С. 601.]
- Lund, H., A century of organic electrochemistry, J. Electrochem. Soc., 2002, vol. 149, p. 21.
- Peters, D.G., in Organic Electrochemistry (4th ed.), New York: Marcel Dekker, 2000, 341 p.
- Saveant, J. M., Electron transfer, bond breaking and bond formation, Adv. Phys. Org. Chem., 2000, vol. 35, p. 117.
- Andrieux, C.P., Organic Electrochemical Mechanisms, in Encyclopedia of Analytical Chemistry, Chichester: Wiley, 2000, 9983 p.
- Andrieux, C.P., Saveant, J.-M., Tallec, A., Tardivel, R., and Tardy, C., Concerted and stepwise dissociative electron transfers. Oxidability of the leaving group and strength of the breaking bond as mechanism and reactivity governing factors illustrated by the electrochemical reduction of α-substituted acetophenones, J. Amer. Chem. Soc., 1997, vol. 119, p. 2420.
- Enemaerke, R.J., Christensen, T.B., Jensen, H., and Daasbjerg, K., Application of a new kinetic method in the investigation of cleavage reactions of haloaromatic radical anions, J. Chem. Soc., Perkin Trans. 2, 2001, p. 1620.
- Andrieux, C.P., Combellas, C., Kanou, F., Saveant, J.-M., and Thiebault, A., Dynamics of Bond Breaking in Ion Radicals. Mechanisms and Reactivity in the Reductive Cleavage of Carbon− Fluorine Bonds of Fluoromethylarenes, J. Amer. Chem. Soc., 1997, vol. 119, p. 9527.
- Antonello, S. and Maran, F.J., Dependence of Intramolecular Dissociative Electron Transfer Rates on Driving Force in Donor–Spacer–Acceptor Systems, J. Amer. Chem. Soc., 1998, vol. 120, p. 5713.
- Jakobsen, S., Jensen, H., Pendersen, S.U., and Daasbjerg, K., Stepwise versus concerted electron transfer-bond fragmentation in the reduction of phenyl triphenylmethyl sulfides, J. Phys. Chem. A, 1999, 103, p. 4141.
- Tanko, J. M. and Phillips, J.P., Rearrangements of radical ions: What it means to be both a radical and an ion, J. Amer. Chem. Soc., 1999, vol. 121, p. 6078.
- Duca, J.S., Gallego, M.H., Pierini, A.B., and Rossi, R.A., Electron-transfer nucleophilic substitution reactions on neopentyl-and phenyl-substituted alkyl chlorides. Effect of the bridge length on the intramolecular electron-transfer catalysis, J. Org. Chem., 1999, vol. 64, p. 2626.
- Rossi, R.A., Pierini, A.B., and Palacios, S.M., in Advances in Free Radical Chemistry, Singapore: Jai Press, 1990, p. 193.
- Bunnett, J.F., Some novel concepts in aromatic reactivity, Tetrahedron, 1993, vol. 49, p. 4417.
- Costentin, C., Hapiot, P., Medebielle, M., and Saveant, J.-M., Thermal” SRN1 Reactions: How Do They Work? Novel Evidence that the Driving Force Controls the Transition between Stepwise and Concerted Mechanisms in Dissociative Electron Transfers, J. Amer. Chem. Soc., 1999, vol. 121, p. 4451.
- Antonello, S., Maran, F., Formaggio, F., Moretto, A., and Toniolo, C., Organic Electrochemistry, Electrochem. Soc. Proc., Ser., Princeton, New Jork: 2002-10.
- Griesbeck, A.G., Heinrich, T., Oelgemöller, M., Lex, J., and Molis, A., A photochemical route for efficient cyclopeptide formation with a minimum of protection and activation chemistry, J. Amer. Chem. Soc., 2002, vol. 124, p. 10972.
- Burns, C.S., Rochelle, L., and Forbes, M.D.E., Neutral peptide biradicals formed by dissociative electron transfer, Org. Lett., 2001, vol. 3, p. 2197.
- Li, W.-S. and Morrison, H., Long-Range Through-Bond Photoactivated σ Bond Cleavage in Steroids. Intramolecular Sensitized Debromination, Org. Lett., 2000, vol. 2, p. 15.
- Pshenichnyuk, S.A., Modelli, A., and Komolov, A.S., Interconnections between dissociative electron attachment and electron-driven biological processes, Intl. Rev. Phys. Chem., 2018, vol. 37, p. 125.
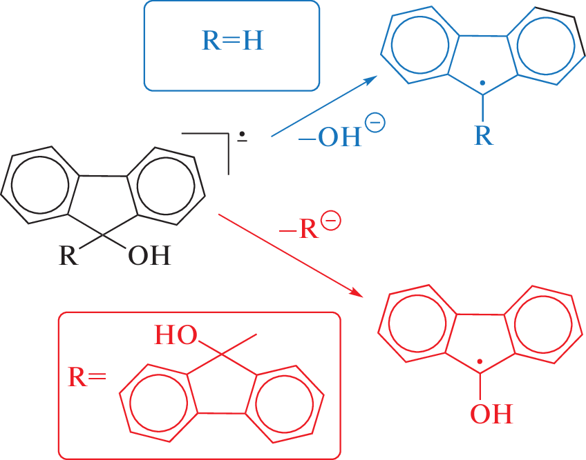
- Mendkovich, A.S., Syroeshkin, M.A., Nasybullina, D.V., Mikhailov, M.N., Gultyai, V. P., Elinson, M.N., and Rusakov, A.I., C–OH bond cleavage initiated by electron transfer: electroreduction of 9-fluorenol, Electrochim.Acta, 2016, vol. 191, p. 962.
- Thoruton, T.A., Ross, G.A., and Patil, D., Carbon-oxygen bond-cleavage reactions by electron transfer. 4. Electrochemical and alkali-metal reductions of phenoxynaphthalenes, J. Amer. Chem. Soc., 1989, vol. 111, p. 2434.
- Wagenknecht, J.H., Goodin, R.D., Kinlen, P.J., and Woodard, F.E., Decomposition of benzoate ester radical anions, J. Electrochem. Soc., 1984, vol. 131, p. 1559.
- Niu, C., Zhou, D.B., Yang, Y., Yin, Z.C., and Wang, G.W., A retro Baeyer–Villiger reaction: electrochemical reduction of [60] fullerene-fused lactones to [60] fullerene-fused ketones, Chem. Sci., 2019, vol. 10, p. 3012.
- Stevenson, C.D., Garland, P.M., and Batz, M.L., Evidence of carbenes in the explosion chemistry of nitroaromatic anion radicals, J. Org. Chem., 1996, vol. 61, p. 5948.
- Batz, M.L., Garland, P.M., Reiter, R.C., Sanborn, M.D., and Stevenson, C.D., Explosion and ion association chemistry of the anion radicals of 2, 4, 6-trinitrotoluene, 2, 6-dinitrotoluene, and trinitrobenzene, J. Org. Chem., 1997, vol. 62, p. 2045.
- Simonet, J., in The Chemistry of Sulfones and Sulfoxides, Eds. Pataï, S., Rappoport, S., and Stirling, S., J. Chichester: Wiley and Sons, 1988, Chapt. 22.
- Volanschi, E., Suh, S.-H., and Hillebrand, M., Theoretical study on the reduction behaviour of sulphur containing heterocycles. I Cleavage reaction of the C‒S bond in the dibenzo [b, e] thiepinonesulphone class, J. Electroanal. Chem., 2007, vol. 602, p. 181.
- Гультяй, В.П., Мендкович, А.С. Особенности электровосстановления арилсодержащих сульфонов в апротонных средах. Рос. хим. журн. 2005. Т. 49. С. 40. [Gul’tyai, V.P. and Mendkovich, A.S., Features of electroreduction of aryl-containing sulfones in aprotic media, Rossiiskii Khimicheskii Zhurnal (in Russian), 2005, vol. 49, p. 40.]
- Severin, M.G., Arevalo, M.C., Maran, F., and Vianello, E., Electron-transfer bond-breaking processes: an example of nonlinear activation-driving force relationship in the reductive cleavage of the carbon–sulfur bond, J. Phys. Chem., 1993, vol. 97, p. 150.
- Meneses, A.B., Antonello, S., Arevalo, M.C., Gonzalez, C.C., Sharma, J., Wallette, A.N., Workentin, M.S., and Maran, F., Electron Transfer to Sulfides and Disulfides: Intrinsic Barriers and Relationship between Heterogeneous and Homogeneous Electron-Transfer Kinetics, Chem. Eur. J., 2007, vol. 13, p. 7983.
- Christensen, T.B. and Daasbjerg, K., Investigation of the direct and indirect reduction processes of some disulfides by electrochemical means, Acta. Chem. Scand., 1997, vol. 51, p. 307.
- Daasbjerg, K., Jensen, H., Benassi, R., Taddei, F., Antonello, S., Gennaro, A., and Maran, F., Evidence for large inner reorganization energies in the reduction of diaryl disulfides: Toward a mechanistic link between concerted and stepwise dissociative electron transfers? J. Amer. Chem. Soc., 1999, vol. 121, p. 1750.
- Antonello, S., Benassi, R., Gavioli, G., Taddei, F., and Maran, F., Theoretical and electrochemical analysis of dissociative electron transfers proceeding through formation of loose radical anion species: reduction of symmetrical and unsymmetrical disulfides, J. Amer. Chem. Soc., 2002, vol. 124, p. 7529.
- Maia, H.L.S., Mederios, M.J., and Montenegro, M.I., Deprotection by electrolysis: Part I. The application of homogeneous redox catalysis to the study of the reduction of tosyl esters and amides, J. Electroanal. Chem., 1984, vol. 164, p. 347.
- Donkers, R.L., Maran, F., Wayner, D.D.M., and Workentin, M.S., Kinetics of the Reduction of Dialkyl Peroxides. New Insights into the Dynamics of Dissociative Electron Transfer, J. Amer. Chem. Soc., 1999, vol. 121, p. 7239.
- Antonello, S., Musumeci, M., Wayner, D.D.M., and Maran, F., Electroreduction of Dialkyl Peroxides. Activation−Driving Force Relationships and Bond Dissociation Free Energies, J. Amer. Chem. Soc., 1997, vol. 119, p. 9541.
- Workentin, M.S. and Donkers, R.L., Dissociative electron transfer to biologically relevant bicyclic endoperoxides. Determination of thermochemical parameters, J. Amer. Chem. Soc., 1998, vol. 120, p. 2664.
- Donkers, R.L. and Workentin, M.S., Kinetics of dissociative electron transfer to ascaridole and dihydroascaridole – Model bicyclic endoperoxides of biological relevance, Chem. Europ. J., 2001, vol. 7, p. 4012.
- Donkers, R.L. and Workentin, M.S., First determination of the standard potential for the dissociative reduction of the antimalarial agent artemisinin, J. Phys. Chem. B, 1998, vol. 102, p. 4061.
- Antonello, S., Formaggio, F., Moretto, A., Toniolo, C., and Maran, F., Intramolecular, intermolecular, and heterogeneous nonadiabatic dissociative electron transfer to peresters, J. Amer. Chem. Soc., 2001, vol. 123, p. 9577.
- Magri, D.C. and Workentin, M.S., A radical-anion chain mechanism following dissociative electron transfer reduction of the model prostaglandin endoperoxide, 1,4-diphenyl-2,3-dioxabicyclo [2.2.1] heptanes, Org. Biomol. Chem., 2008, vol. 6, p. 3354.
- Magri, D.C. and Workentin, M.S., A Radical-Anion Chain Mechanism Initiated by Dissociative Electron Transfer to a Bicyclic Endoperoxide: Insight into the Fragmentation Chemistry of Neutral Biradicals and Distonic Radical Anions, Chem. Europ. J., 2008, vol. 14, p. 1698.
- Stringle D.L.B., Magri, D.C., and Workentin, M.S., Efficient Homogeneous Radical-Anion Chain Reactions Initiated by Dissociative Electron Transfer to 3,3,6,6-Tetraaryl-1,2-dioxanes, Chem. Europ. J., 2010, vol. 16, p. 178.
- Najjar, F., Andre-Barres, C., Baltas, M., Lacaze-Dufaure, C., Magri, D.C., Workentin, M.S., and Tzedakis, T., Electrochemical Reduction of G3-Factor Endoperoxide and Its Methyl Ether: Evidence for a Competition between Concerted and Stepwise Dissociative Electron Transfer, Chem. Europ. J., 2007, vol. 13, p. 1174.
- Donkers, R.L. and Workentin, M.S., Elucidation of the electron transfer reduction mechanism of anthracene endoperoxides, J. Amer. Chem. Soc., 2004, vol. 126, p. 1688.
- Magri, D.C., Donkers, R.L., and Workentin, M.S., Kinetics of the photoinduced dissociative electron transfer reduction of the antimalarial endoperoxide, Artemisinin, J. Photochem. Photobiol. A, 2001, 138, 29.
- Magri, D.C. and Workentin, M.S., Model dialkyl peroxides of the Fenton mechanistic probe 2-methyl-1-phenyl-2-propyl hydroperoxide (MPPH): kinetic probes for dissociative electron transfer, Org. Biomol. Chem., 2003, vol. 1, p. 3418.
- Donkers, R.L., Tse, J., and Workentin, M.S., O-Neophyl-type 1, 2-phenyl rearrangement initiated by electron transfer: development of kinetic probes of dissociative electron transfer, Chem. Commun., 1999, p. 135.
- Stringle, D.L.B., Campbell, R.N., and Workentin, M.S., Radical anion chain process initiated by a dissociative electron transfer to a monocyclic endoperoxide, Chem. Commun., 2003, p. 1246.
- Gritsan, N.P., Pritchina, E.A., Barabanov, I.I., Burdzinski, G.T., and Platz, M.S., Excited-State Dynamics in the Covalently Linked Systems: Pyrene–(CH2)n−Aryl Azide, J. Phys. Chem. C, 2009, vol. 113, p. 11579.
- Maslak, P., Vallombroso, T.M., Chapman, W.H., and Narvaez, J.N., Free-Energy Relationship for Mesolytic Cleavage of C–C Bonds, Angew. Chem., Int. Ed. Engl., 1994, vol. 33, p. 73.
- Goldberg, I.B., Borch, R.F., and Bolton, J.R., The synthesis of dibenzo [fg, op] naphthacene from biphenylene and lithium, Chem. Commun., 1969, p. 223.
- Stevenson, J.P., Jackson, W.F., and Tanko, J.M., Cyclopropylcarbinyl-type ring openings. Reconciling the chemistry of neutral radicals and radical anions, J. Amer. Chem. Soc., 2002, vol. 124, p. 4271.
- Мендкович, А.С., Михальченко, Л.В., Гультяй, В.П. Электрохимически инициируемая реакция фрагментации 9,9'-динитро-9,9',10,10'-тетрагидробиантрила, Изв. АН СССР, Сер. хим. 1991. Т. 40. С. 1321. [Mendkovich, A.S., Mikhal’Chenko, L.V., and Gul’tyai, V.P., Electrochemically initiated fragmentation reaction of 9,9'-dinitro-9,9',10,10'-tetrahydro-10,10'-bianthryl, Bull. Acad. Sci. USSR, Division of chemical science, 1991, vol. 40, p. 1163.]
- Mendkovich, A.S., Ranchina, D.V., Syroeshkin, M.A., Demchuk, D.V., Mikhailov, M.N., Elinson, M.N., Gul’tyai, V.P., and Rusakov, A.I., Mechanism of Electroreduction of the Henry Reaction Products. Electrochemically Initiated Degradation of 1-Phenyl-2-Nitroethanol, Acta Chim. Slov., 2014, vol. 61, p. 246.
- Mendkovich, A.S., Syroeshkin, M.A., Mitina, K.R., Mikhailov, M.N., Gultyai, V.P., and Pechennikov, V.M., Bond cleavage in hydroxyl derivatives initiated by electron transfer: electroreduction of 9H,9'H-bifluorene-9,9'-diol, Mendeleev Commun., 2017, vol. 27, p. 580.
- Жуйков, В.В. Электрохимические реакции кремнийорганических соединений. Успехи химии. 1997. Т. 66. С. 564. [Jouikov, V.V., Electrochemical reactions of organosilicon compounds, Russ. Chem. Rev., 1997, vol. 66, p. 509.]
- Soucaze-Guillous, B. and Lund, H., Electrochemical reduction of oximes in aprotic media, Acta Chem. Scand., 1998, vol. 52, p. 417
- Syroeshkin, M.A., Krylov, I.B., Hughes, A.M., Alabugin, I.V., Nasybullina, D.V., Sharipov, M.Y., Gultyai, V.P., and Terent’ev, A.O., Electrochemical behavior of N-oxyphthalimides: Cascades initiating self-sustaining catalytic reductive N–O bond cleavage, J.Phys. Org. Chem., 2017, vol. 30, p. E3744.
- Syroeshkin, M.A., Mikhalchenko, L.V., Mendkovich, A.S., Gul’tyai, V.P., and Rusakov, A.I., Complex study of dinitrobenzenes electroreduction mechanism by electroanalytical and computational methods, Chem. Listy, 2009, vol. 103, p. 243.
- Syroeshkin, M.A., Mikhalchenko, L.V., Leonova, M.Y., Mendkovich, A.S., Rusakov, A.I., and Gul’tyai, V.P., Electrochemically initiated transformation of 4-nitrophenylhydroxylamine into 4,4′-dinitroazobenzene, Mendeleev Commun., 2011, vol. 21, p. 26.
- Mendkovich, A.S., Syroeshkin, M.A., Ranchina, D.V., Mikhailov, M.N., Gultyai, V.P., and Rusakov, A.I., Electroreduction mechanism of N-arylhydroxylamines in aprotic solvents: N-(4-nitrophenyl) hydroxylamine, J. Electroanal. Chem., 2014, vol. 728, p. 60.
- Mendkovich, A.S., Syroeshkin, M.A., Nasybullina, D.V., Mikhailov, M.N., Gultyai, V.P., and Rusakov, A.I., Electroreduction mechanism of N-phenylhydroxylamines in aprotic solvents: N-(2-nitrophenyl)- and N-(3-nitrophenyl)hydroxylamines, Electrochim. Acta, 2017, vol. 238, p. 9.
- Houmam, A., Hamed, E.M., Hapiot, P., Motto, J.M., and Schwan, A.L., Regioselective bond cleavage in the dissociative electron transfer to benzyl thiocyanates, J. Amer. Chem. Soc., 2003, vol. 125, p. 12676.
- Hamed, E.M., Doai, H., McLaughlin, C.K., and Houmam, A., Regioselective bond cleavage in the dissociative electron transfer to benzyl thiocyanates: the role of radical/ion pair formation, J. Amer. Chem. Soc., 2006, vol. 128, p. 6595.
- Houmam, A., Hamed, E.M., and Still, I.W., A unique autocatalytic process and evidence for a concerted-stepwise mechanism transition in the dissociative electron-transfer reduction of aryl thiocyanates, J. Amer. Chem. Soc., 2003, vol. 125, p. 7258.
- Stringle, D.L.B. and Workentin, M.S., Regioselective SO vs. CO bond cleavage in sulfenate ester radical anions, Can. J. Chem., 2005, vol. 83, p. 1473.
- Poizot, P. and Simonet, J., Silver–palladium cathode: Selective one-electron scission of alkyl halides: Homo-coupling and cross-coupling subsequent reactions, Electrochim. Acta, 2010, vol. 56, p. 15.
- Gennaro, A., Isse, A.A., Bianchi, C.L., Mussini, P.R., and Rossi, M., Is glassy carbon a really inert electrode material for the reduction of carbon–halogen bonds? Electrochem. Commun., 2009, vol. 11, p. 1932.
- Bhat, M.A., Ingole, P.P., Chaudhari, V.R., and Haram, S.K., Outer Sphere Electroreduction of CCl4 in 1-Butyl-3-methylimmidazolium Tetrafluoroborate: An Example of Solvent Specific Effect of Ionic Liquid, J. Phys. Chem. B, 2009, vol. 113, p. 2848.
- Huang, Y.-F., Wu, D.-Y., Wang, A., Ren, B., Rondinini, S., and Tian, Z.-Q., Amatore, C., Bridging the gap between electrochemical and organometallic activation: benzyl chloride reduction at silver cathodes, J. Amer. Chem. Soc., 2010, vol. 132, p. 17199.
- Du, P. and Peters, D.G., Reduction of 1-(2-Chloroethyl)-2-nitrobenzene and 1-(2-Bromoethyl)-2-nitrobenzene at Carbon Cathodes: Electrosynthetic Routes to 1-Nitro-2-vinylbenzene and 1H-Indole, J. Electrochem. Soc., 2010, vol. 157, p. F167.
- Sauro, V.A., Magri, D.C., Pitters, J.L., and Workentin, M.S., The electrochemical reduction of 1, 4-dichloroazoethanes: Reductive elimination of chloride to form aryl azines, Electrochim. Acta, 2010, vol. 55, p. 5584.
- Alvarez-Griera, L., Gallardo, I., and Guirado, G., Estimation of nitrobenzyl radicals reduction potential using spectro-electrochemical techniques, Electrochim. Acta, 2009, vol. 54, p. 5098.
- Лейбзон, В.Н., Мендкович, А.С., Климова, Т.А., Краюшкин, М.М., Майрановский, С.Г., Новиков, С.С., Севостьянова, В.В. Электрохимическая циклизация 3,7-дибром-3,7-динитробицикло[3.3.1]нонана. Электрохимия. 1975. Т. 11. С. 349. [Leibzon, V., Mendkovich, A., Klimova, T., Krayushkin, M., Mairanovskii, S., Novikov, S., and Sevostyanova, V., Electrochemical Cyclization of 3,7-Dibromo-3,7-dinitrobicyclo[3,3,1] nonane, Sov. Electrochem., 1975, vol. 11, p. 330.]
- Лейбзон, В.Н., Мендкович, А.С., Майрановский, С.Г., Климова, Т.А., Краюшкин, М.М., Севостьянова, В.В., Новиков, С.С. Электровосстановление производных полиэдранов. Сообщение 2. Трансаннулярное взаимодействие атомов галоида в 2,2,6,6-ди(этилендиокси)-3,7-дибромбицикло[3.3.1]нонане. Изв. АН СССР, Сер. хим. 1978. С. 2001. [Leibzon, V.N., Mendkovich, A.S., Mairanovskii, S.G., Klimova, T.A., Krayushkin, M.M., Sevost’yanova, V.V., and Novikov, S.S., Bull. Acad. Sci. USSR, Division of chemical science, 1978, С. 1761.]
- Prasad, M.A. and Sangaranarayanan, M.V., Electrochemical reductive cleavage of carbon–chlorine bond in 1-chloro-2,4-dinitrobenzene, Electrochim. Acta, 2005, vol. 51, p. 242.
- Scialdone, O., Galia, A., La Rocca, C., and Filardo, G., Influence of the nature of the substrate and of operative parameters in the electrocarboxylation of halogenated acetophenones and benzophenones, Electrochim. Acta, 2005, vol. 50, p. 3231.
- Isse, A.A., Mussini, P.R., and Gennaro, A., New insights into electrocatalysis and dissociative electron transfer mechanisms: the case of aromatic bromides, J. Phys. Chem. C, 2009, vol. 113, p. 14983.
- Lagrost, C., Gmouh, S., Vaultier, M., and Hapiot, P., Specific Effects of Room Temperature Ionic Liquids on Cleavage Reactivity: Example of the Carbon–Halogen Bond Breaking in Aromatic Radical Anions, J. Phys. Chem. A, 2004, vol. 108, p. 6175.
- Jaworski, J.S. and Leszczynski, P., Solvent effect on kinetics of the chloride ion cleavage from anion radicals of 4-chlorobenzophenone, J. Electroanal. Chem., 1999, vol. 464, p. 259.
- Isse, A.A., Galia, A., Belfiore, C., Silvestri, G., and Gennaro, A., Electrochemical reduction and carboxylation of halobenzophenones, J. Electroanal. Chem., 2002, vol. 526, p. 41.
- Costentin, C., Robert, M., and Savéant, J.-M., Fragmentation of aryl halide π anion radicals. Bending of the cleaving bond and activation vs driving force relationships, J. Amer. Chem. Soc., 2004, vol. 126, p. 16051.
- Walborsky, H.M. and Hamdouchi, C., The nature of electron transfer from metal surfaces to the carbon-halogen bond, J. Amer. Chem. Soc., 1993, vol. 115, p. 6406.
- Peralez, E., Negrel, J.C., and Chanon, M., Further Evidence for the Radical Chain Character of Grignard’s Reagent Formation. Use of Free Radical Clock in Conjunction with Changes in Concentration of Active Mg, Tetrahedron, 1995, vol. 51, p. 12601.
- Chanon, M., Experimental and Theoretical studies on the Mechanism of Grignard Reagent Formation, Molecules, 2000, vol. 5, p. 289.
- Bodineau, N., Mattalia, J.-M., Thimokhin, V., Handoo, K., Negrel, J.-C., and Chanon, M., Formation of grignard reagents from aryl halides: effective radical probes hint at a nonparticipation of dianions in the mechanism, Org. Lett., 2000, vol. 2, p. 2303.
- Hazimeh, H., Kanoufi, F., Combellas, C., Mattalia, J.-M., Marchi-Delapierre, C., and Chanon, M., Radical clocks, solvated electrons, and magnesium. Heterogeneous versus homogeneous electron transfer. Selectivity at interfaces, J. Phys. Chem. C, 2008, vol. 112, p. 2545.
- Петросян, В.А., Ниязымбетов, М.Е. Электрохимические методы генерации карбенов и их аналогов. Успехи химии. 1989. Т. 58. С. 1105. [Petrosyan, V.A. and Niyazymbetov, M.E., Electrochemical methods for the generation of carbenes and their analogues, Russ. Chem. Rev., 1989, vol. 58, p. 644.]
- Saveant, J.-M., Single electron transfer and nucleophilic substitution, Adv. Phys. Org. Chem., 1990, vol. 26, p. 1.
- Lund, H., Doupeux, H., Michel, M.A., Mousset, G.A., and Simonet, J., Coupure cathodique de liaisons carbone-oxygene—I reduction electrochimique d’alcools insatures application a la reduction tetraelectronique de certaines cetones en carbures, Electrochim. Acta, 1974, vol. 19, p. 629.
- Nuntnarumit, C., Triebe, F.M., and Hawley, M.D., Chain reactions in several 9-substituted fluorenes and bifluorenyls induced by electrogenerated bases, J. Electroanal. Chem., 1981, vol. 126, p. 145.
- Nuntnarumit, C. and Hawley, M.D., The effect of kenetic vs. thermodynamic acidity on the redox behavior of several 9-hydroxy-and 9-methoxyfluorenes, J. Electroanal. Chem., 1982, vol. 133, p. 57.
- Ichinose, N., Hobo, J., Tojo, S., and Majima, T., Observation of intramolecular dimer radical anion of 1,1-diarylmethanols bearing electron withdrawing groups at room temperature, Chem. Phys. Lett., 2000, vol. 330, p. 97.
- Lund, H., in Organic Electrochemistry, 4th edn., eds. Lund, H. and Hammerich, O., New York: Marcel Dekker, 2001, p. 379.
- Benassi, R., Bertarini, C., and Taddei, F., Theoretical MO ab initio investigation of the reductive C–Cl bond cleavage in benzyl chloride, benzotrichloride† and in the analogous 4-pyridine derivatives, J. Chem. Soc., Perkin Trans. 2, 1997, p. 2263.
- Maran, F. and Workentin, M.S., Dissociative electron transfer, Electrochem. Soc. Interface, 2002, vol. 11, p. 44.
- Winget, P., Cramer, C.J., and Truhlar, D.G., Computation of equilibrium oxidation and reduction potentials for reversible and dissociative electron-transfer reactions in solution, Theoret. Chem. Accounts, 2004, vol. 112, p. 217.
- Antonello, S. and Maran F., Intramolecular dissociative electron transfer, Chem. Soc. Rev., 2005, vol. 34, p. 418.
- Costentin, C., Robert, M., and Saveant, J.-M., Successive removal of chloride ions from organic polychloride pollutants. Mechanisms of reductive electrochemical elimination in aliphatic gem-polychlorides, α,β-polychloroalkenes, and α,β-polychloroalkanes in mildly protic medium, J. Amer. Chem. Soc., 2003, vol. 125, p. 10729.
- von Wolff, N. and Robert, M., Taming Electron Transfers: From Breaking Bonds to Creating Molecules, Chem. Record, 2021, vol. 21, 2095.
- Kojima, T., Tanaka, Y., and Satouchi, M., Correlation between electron capture response and chemical structure for alkyl halides, Anal. Chem., 1976, vol. 48, p. 1760.
- Wentworth, W., Becker, R., and Tung, R., Thermal electron attachment to some aliphatic and aromatic chloro, bromo, and iodo derivatives, J. Phys. Chem., 1967, vol. 71, p. 1652.
- Hush, N.S., Electrode reactions of the methyl halides, Elektrochem., 1957, vol. 61, p. 734.
- Eberson, L., Studies on the Kolbe electrolytic synthesis, Acta Chem. Scand., 1963, vol. 17, p. 2004.
- Eberson, L., in Electron Transfer Reactions in Organic Chemistry, New York: Springer-Verlag, 1987.
- German, E.D. and Kuznetsov, A.M., Quantum mechanical theory of dissociative electron transfer in polar solvents, J. Phys. Chem., 1994, vol. 98, p. 6120.
- Workentin, M.S., Maran, F., and Wayner, D.D.M., Reduction of di-tert-butyl peroxide: evidence for nonadiabatic dissociative electron transfer, J. Amer. Chem. Soc., 1995, vol. 117, p. 2120.
- Maran, F., Wayner, D.D.M., and Workentin, M.S., Kinetics and mechanism of the dissociative reduction of C-X and X-X bonds (X=O, S), Adv. Phys. Org. Chem., 2001, vol. 36, p. 85.
- Kopyra, J., Wierzbicka, P., Tulwin, A., Thiam, G., Bald, I., Rabilloud, F., and Abdoul-Carime, H., Experimental and theoretical studies of dissociative electron attachment to metabolites oxaloacetic and citric acids, Intern. J. Molec. Sci., 2021, vol. 22, p. 7676.
- Symons, M.C.R., Electron-loss and electron-capture processes in irradiated systems, Pure Appl. Chem., 1981, vol. 53, p. 223.
- Williams, F. and Sprague, E.D., Novel radical anions and hydrogen atom tunneling in the solid state, Acc. Chem. Res., 1982, vol. 15, p. 408.
- Horowitz, A., in The Chemistry of Functional Groups, Supplement D, London: John Wiley, 1983, p. 369.
- Sprague, E.D., Electron spin resonance study of the decay of methyl radical-bromide ion pairs in acetonitrile at low temperature, J. Phys. Chem., 1979, vol. 83, p. 849.
- Clark, T., An evaluation of the performance of diffuse function-augmented basis sets for second row elements, Na-Cl, Faraday Discuss. Chem. Soc., 1984, vol. 78, p. 203.
- Bertran, J., Gallardo, I., Moreno, M., and Saveant, J.-M., Dissociative electron transfer. Ab initio study of the carbon-halogen bond reductive cleavage in methyl and perfluoromethyl halides. Role of the solvent, J. Amer. Chem. Soc., 1992, vol. 114, p. 9576.
- Canadell, E., Karafiloglou, P., and Salem, L., Bond cleavage of the solvated methyl chloride anion: a primary electrochemical event, J. Amer. Chem. Soc., 1980, vol. 102, p. 855.
- Clark, T., Methyl and silyl halide radical anions: an Ab initio study, J. Chem. Soc., Chem. Commun., 1981, p. 515.
- Benassi, R., Bertarini, C., and Taddei, F., Theoretical MO ab initio investigation of the reductive C–Cl bond cleavage in benzyl chloride, benzotrichloride and in the analogous 4-pyridine derivatives, Chem. Phys. Lett., 1996, vol. 257, p. 633.
- Mariano, D., Vera, A., and Pierini, A.B., Theoretical study of electron transfer to neopentyl chloride and phenyl-substituted derivatives: existence of radical anions as intermediates, J. Phys. Org. Chem., 2002, vol. 15, p. 894.
- Marcus, R.A., On the theory of electron-transfer reactions. VI. Unified treatment for homogeneous and electrode reactions, J. Chem. Phys., 1965, vol. 43, p. 679.
- Waisman, E., Worry, G., and Marcus, R.A., A study of the entropic and electrolyte effects in electron transfer reactions, J. Electroanal. Chem., 1977, vol. 82, p. 9.
- Hush, N.S., Adiabatic rate processes at electrodes. I. Energy-charge relationships, J. Chem. Phys., 1958, vol. 28, p. 962.
- Nazmutdinov, R.R., Tsirlina, G.A., Petrii, O.A., Kharkats, Y.I., and Kuznetsov, A.M., Quantum chemical modelling of the heterogeneous electron transfer: from qualitative analysis to a polarization curve, Electrochim. Acta, 2000, vol. 45, p. 3521.
- Майрановский, В.Г. Электронный перенос с разрывом связи: расчет внутримолекулярной энергии реорганизации и силовой постоянной распадающейся связи в ион-радикале. ДАН СССР. 1987. Т. 296. С. 923. [Mairanovsky, V.G., Electronic transfer with bond cleavage: calculation of the intramolecular reorganization energy and the force constant of a decomposing bond in a radical ion, Comptes rendus de l’Acad. des sci. de l’URSS, 1987, vol. 296, p. 923.]
- Wentworth, W.E., George, R., and Keith, H., Dissociative thermal electron attachment to some aliphatic chloro, bromo, iodo compounds, J. Chem. Phys., 1969, vol. 51, p. 1791.
- Steelhammer, J.C. and Wentworth, W.E., Dissociative thermal electron attachment to some aliphatic chloro, bromo, iodo compounds, J. Chem. Phys., 1969, vol. 51, p. 1802.
- Saveant, J.M., Dissociative electron transfer. New tests of the theory in the electrochemical and homogeneous reduction of alkyl halides, J. Amer. Chem. Soc., 1992, vol. 114, p. 10595.
- Andrieux, C.P., Legorande, A., and Saveant, J.M., Electron transfer and bond breaking. Examples of passage from a sequential to a concerted mechanism in the electrochemical reductive cleavage of arylmethyl halides, J. Amer. Chem. Soc., 1992, vol. 114, p. 6892.
- Mairanovsky, V.G., Electrode processes with a fast and ultrafast bond cleavage: Correlations with gas-phase reactions of dissociative electron capture, J. Electroanal.Chem., 1981, vol. 125, p. 231.
- Saveant, J.M., A simple model for the kinetics of dissociative electron transfer in polar solvents. Application to the homogeneous and heterogeneous reduction of alkyl halides, J. Amer. Chem. Soc. 1987, vol. 109, p. 6788.
- German, E.D., Kuznetsov, A.M., and Tikhomirov, V.A., Calculation of Kinetic Parameters of the Reaction Dissociative Electrochemical Reduction of Halomethanes in Polar Solvent, J. Phys. Chem., 1995, vol. 99, p. 9095.
- Costentin, C., Donati, L., and Robert, M., Passage from stepwise to concerted dissociative electron transfer through modulation of electronic states coupling, Chem. Europ. J., 2009, vol. 15, p. 785.
- Costentin, C., Robert, M., and Saveant, J.-M., Stepwise and concerted electron-transfer/bond breaking reactions. Solvent control of the existence of unstable π ion radicals and of the activation barriers of their heterolytic cleavage, J. Amer. Chem. Soc., 2004, 126, p. 16834.
- Spencer, J.N., Grimm, M.L., and Tanko, J.M., Interplay between Structure and Mechanism in Reductive Dissociative Electron Transfers to α, β-Epoxyketones, ChemPlusChem, 2020, vol. 85, p. 2387.
- Фаустов, В.И., Дьяченко, А.И., Нефедов О.М. Квантовохимическое изучение стабильности радикал-анионов и сродства к электрону хлор-замещенных метанов и циклопропанов. Изв. АН СССР, Cер. хим. 1983. Т. 32. С. 1978. [Faustov, V. I., D’yachenko, A.I., and Nefedov, O.M., Quantum-chemical investigation of the stability of radical-anions and the electron affinity of chlorine-substituted methanes and cyclopropanes, Bull. Acad. Sci. USSR, Division of chemical science, 1983, vol. 32, p. 1788.]
- Dewar, M.J.S., Zoebich, E.G., Healy, E.F., and Stewart, J.J., Development and use of quantum mechanical molecular models. 76. AM1: a new general purpose quantum mechanical molecular model, J. Amer. Chem. Soc., 1985, vol. 105, p. 3902.
- Игумнов, С.М., Рожков, И.Н., Плетнев, С.И., Борисов, Ю.А., Ремпель, Г.Д. Присоединение трет-перфторалкилбромидов по кратной связи, инициированное переносом электрона. Изв. АН, Сер. хим. 1989. С. 2122. [Igumnov, S.M., Rozhkov, I.N., Pletnev, S.I., Borisov, Yu. A., and Rempel’, G.D., Addition of tert-perfluoroalkyl bromides at a multiple bond, initiated by electron transfer, Izvestiya Akademii Nauk SSSR, Seriya Khimicheskaya, 1989, p. 2308.]
- Takeda, N., Poliakov, P.V., Cook, A.R., and Miller, J.R., Faster dissociation: measured rates and computed effects on barriers in aryl halide radical anions, J. Amer. Chem. Soc., 2004, vol. 126, p. 4301.
- Lawless, J.G. and Hawley, M.D., Mechanistic studies of the decomposition of halonitrobenzene anion radicals, J. Electroanal. Chem., 1969, vol. 21, p. 365.
- Nadjo, L. and Savéant, J.-M., Electrochemical reduction of substituted benzophenones and fluorenones in media of low proton availability mechanism of the reductive cleavage of bromo and chloro benzophenones, J. Electroanal. Chem., 1971, vol. 30, p. 41.
- Aalstad, B. and Parker, V.D., Ion Radical Cleavage Reactions. III. The Cleavage of Halide Ion from Mono- and Dihalobenzophenone Anion Radicals, Acta Chem. Scand. B, 1982, vol. 36, p. 47.
- Wipf, D.O. and Wightman, R.M., Rapid cleavage reactions of haloaromatic radical anions measured with fast-scan cyclic voltammetry, J. Phys. Chem., 1989, vol. 93, p. 4286.
- Andrieux, C.P., Dumas-Bouchiat, J.M., and Savéant, J.-M., Homogeneous redox catalysis of electrochemical reactions: Part I. Introduction, J. Electroanal. Chem., 1978, vol. 87, p. 39.
- Andrieux, C.P., Dumas-Bouchiat, J.M., and Savéant, J.-M., Homogeneous redox catalysis of electrochemical reactions: Part III. Rate determining electron transfer. Kinetic characterization of follow-up chemical reactions, J. Electroanal. Chem., 1978, vol. 87, p. 43.
- Andrieux, C.P., Dumas-Bouchiat, J.M., and Savéant, J.-M., Homogeneous redox catalysis of electrochemical reactions: Part II. Rate determining electron transfer, evaluation of rate and equilibrium parameters, J. Electroanal. Chem., 1978, vol. 87, p. 55.
- Andrieux, C.P., Blocman, C., Dumas-Bouchiat, J.-M., and Savéant, J.-M., Heterogeneous and homogeneous electron transfers to aromatic halides. An electrochemical redox catalysis study in the halobenzene and halopyridine series, J. Amer. Chem. Soc., 1979, vol. 101, p. 3431.
- Andrieux, C.P., Blocman, C., Dumas-Bouchiat, J.M., M’Halla, F., and Savéant, J.-M., Determination of the lifetimes of unstable ion radicals by homogeneous redox catalysis of electrochemical reactions. Application to the reduction of aromatic halides, J. Amer. Chem. Soc., 1980, vol. 102, p. 3806.
- Andrieux, C.P. and Savéant, J.-M., Homogeneous redox catalysis of electrochemical reactions electron transfers followed by a very fast chemical step, J. Electroanal. Chem., 1986, vol. 205, p. 43.
- Norris, R.K., Barker, S.D., and Neta, P., Steric effects on rates of dehalogenation of anion radicals derived from substituted nitrobenzyl halides, J. Amer. Chem. Soc., 1984, vol. 106, p. 3140.
- Neta, P. and Behar, D., Intramolecular electron transfer in the anion radicals of nitrobenzyl halides, J. Amer. Chem. Soc., 1980, vol. 102, p. 4798.
- Neta, P. and Behar, D., Intramolecular electron transfer and dehalogenation of anion radicals. 3. Halobenzonitriles and cyanobenzyl halides, J. Amer. Chem. Soc., 1981, vol. 103, p. 103.
- Behar, D. and Neta, P., Intramolecular electron transfer and dehalogenation of anion radicals. 4. Haloacetophenones and related compounds, J. Amer. Chem. Soc., 1981, vol. 103, p. 2280.
- Sehested, K. and Holcman, J., Reactions of the radical cations of methylated benzene derivatives in aqueous solution, J. Phys. Chem. 1978, vol. 82, p. 651.
- Kimura, N. and Takamuku, S., Solvent effects on the unimolecular dissociation of radical anions studied by pulse radiolysis, Bull. Chem. Soc. Jpn. 1986, vol. 59, p. 3653.
- Kimura, N. and Takamuku, S., One-electron reduction of aromatic halides and the solvent effects on the unimolecular dissociation of the radical anion, Radiation Phys. and Chem., 1987, vol. 29, p. 179.
- Mathivanan, N., Johnston, L.J., and Wayner, D.D.M., Photochemical generation of radical anions of photolabile aryl ketones, J. Phys. Chem., 1995, vol. 99, 8190.
- Кривенко, А.Г., Коткин, А.С., Курмаз, В.А. Термодинамические и кинетические характеристики интермедиатов электродных реакций. Сравнительное изучение ряда алкиларильных и галогеналкильных радикалов методами лазерной фотоэмиссии. Электрохимия. 2005. Т. 41. С. 157. [Krivenko, A.G., Kotkin, A.S., and Kurmaz, V.A., Thermodynamic and kinetic characteristics of intermediates of electrode reactions: A comparative investigation of a number of alkylaryl and alkyl halide radicals by the laser photoemission methods, Russ. J. Electrochem., 2005, vol. 41, p. 137.]
- Курмаз, В.А., Кривенко, А.Г., Томилов, А.П., Турыгин, В.В., Худенко, А.В., Шалашова, Н.Н., Коткин, А.С. Изучение реакции димеризации при отщеплении галогена из органогалогенидов методом лазерной фотоэмиссии, электролиза при контролируемом потенциале и вольт-амперометрии. Электрохимия. 2000. Т. 36. С. 344. [Kurmaz, V.A., Krivenko, A.G., Tomilov, A.P., Turygin, V.V., Khudenko, A.V., Shalashova, N.N., and Kotkin, A.S., Studying the dimerization reaction during the abstraction of halogen from organohalides by laser photoemission, controlled-potential electrolysis, and voltammetry, Russ. J. Electrochem., 2000, vol. 36, p. 308.]
- Кривенко, А.Г., Курмаз, В.А. Термодинамические и кинетические характеристики интермедиатов электродных реакций. Сравнительное изучение кинетики электронного переноса для ряда алкиларильных и галогеналкильных радикалов методами лазерной фотоэмиссии. Электрохимия. 2006. Т. 42. С. 131. [Krivenko, A.G. and Kurmaz, V.A., Thermodynamic and kinetic characteristics of intermediates of electrode reactions. Comparative laser photoemission study of the kinetics of electron transfer for certain alkylaryl and alkylhalide radicals, Russ. J. Electrochem., 2006, vol. 42, С.111.]
- Кривенко, А.Г., Коткин, А.С., Курмаз, В.А., Симбирцева, Г.В. Механизм электродных реакций карбоксиметильных и хлоркарбоксиметильных радикалов и ион-радикалов. Электрохимия. 2003. Т. 39. С. 840. [Krivenko, A.G., Kotkin, A.S., Kurmaz, V.A., and Simbirtseva, G.V., Mechanism of electrode reactions involving carboxymethyl and chlorocarboxymethyl radicals and ion-radicals, Russ. J. Electrochem., 2003, vol. 39, p. 760.]
- Krivenko, A.G., Kurmaz, V.A., and Kotkin, A.S., Prospects for the determination of thermodynamic and kinetic parameters of electrode reaction intermediates by laser photoemission, Mendeleev Commun., 2002, vol. 12, p.11.
- Budyka, M.F. and Zyubina, T.S., Theoretical investigation of azido group dissociation in aromatic azides, J. Mol. Struct.: THEOCHEM, 1997, vol. 419, 191.
- Meot-Ner, M., Neta, P., Norris, R.K., and Wilson, K., Temperature effects on rates of dehalogenation of aromatic anion radicals, J. Phys. Chem., 1986, vol. 90, p. 168.
- Пирсон, Р., Правила симметрии в химических реакциях, М.: Мир, 1979, 268 с.
- Эпиотис, Н., Структурная теория органической химии, Мир, М.: 1981, 330 с.
- Galli, C. and Bunnet, J.F., A general approach to organic reactivity: The configuration mixing model. Nucleophile competition in aromatic SRN1 reactions. Evaluation of nucleophilic reactivities and evidence of reaction mechanism, J. Amer. Chem. Soc., 1981, vol. 103, p. 7140.
- Hammerich, O. and Parker, V.D., Radical Cleavage Reactions. IV. The Effect of the Halogen in Determining the Mechanism of Cleavage of Halide Ion During the Reduction of 9-Cyano-10-haloanthracenes, Acta Chem. Scand. B, 1983, vol. 37, p. 851.
- Росси, Р.А., Росси, Р.Х., Ароматическое замещение по механизму SRN1, М.: Мир, 1986, 198 с. [Rossi, R.A. and de Rossi, R.H., “Aromatic Substitution by the SRN1 Mechanism,” ACS Monograph Series, Amer. Chem. Soc., 1983, no. 178, p. 178.]
- Villar, H., Castro, E.A., and Rossi, R.A., Formation and decomposition of radical anions. A theoretical study, Can. J. Chem., 1982, vol. 60, p. 2525.
- Rossi, R.A., Coupling of an aryl radical with a nucleophile and the reaction pathway, J. Chem. Educ., 1982, vol. 59, 310.
- Villar, H., Castro, E.A., and Rossi, R.A., Fragmentation Rates of Aromatic Radical Anions and the π*–σ* Orbital Crossing Point, Zeitschrift für Naturforschung A, 1984, vol. 39, p. 49.
- Grimshaw, J. and Trocha-Grimshaw, J., Carbon halogen bond fragmentation in the radical anions of chloro-and bromo-fluorenones, J. Electroanal. Chem., 1974, vol. 56, p. 443.
- Beland, F.A., Farwell, S.O., Callis, P.R., and Geer, R.D., Reduction pathways of organohalogen compounds: Part III. A molecular orbital (CNDO/2) study of the chlorinated benzenes, DDT, and lindane, J. Electroanal. Chem., 1977, vol. 78, p. 145.
- Miller, K.E. and Kozak, J.J., Theory of intramolecular electron transfer reactions in anion radicals of nitrobenzyl halides, J. Phys. Chem., 1985, vol. 89, p. 401.
- Pierini, A.B., Duca, J.S., and Vera, D.M. A., A theoretical approach to understanding the fragmentation reaction of halonitrobenzene radical anions, J. Chem. Soc., Perkin Trans. 2, 1999, p. 1003.
- Borosky, G.L., Nishimoto, S.-I., and Pierini, A.B., Radical anions from 5-fluorouracil derivatives. A theoretical study of their cleavage and orbital isomerism, J. Mol. Struct. (Theochem), 2000, vol. 499, p. 151.
- Bunnett, J.F. and Creary, X., Fragmentation of aryl sulfide radical anions during aromatic SRN1 reactions, J. Org. Chem., 1975, vol. 40, p. 3740.
- Muthukrishnan, A., Boyarskiy, V., Sangaranarayanan, M.V., and Boyarskaya, I., Mechanism and regioselectivity of the electrochemical reduction in polychlorobiphenyls (PCBs): kinetic analysis for the successive reduction of chlorines from dichlorobiphenyls, J. Phys. Chem. C, 2012, vol. 116, p. 655.
- Andrieux, C.P., Saveant, J.M., and Su, K.B., Kinetics of dissociative electron transfer. Direct and mediated electrochemical reductive cleavage of the carbon-halogen bond, J. Phys. Chem., 1986, vol. 90, p. 3816.
- Русаков, А.И., Мендкович, А.С., Лейбзон, В.Н., Миронов, Г.С., Гультяй, В.П. О возможности количественного описания реакций отщепления аниона галогена из анион-радикалов ароматических соединений с помощью квантово-химических индексов реакционной способности. Изв. АН СССР, Сер. хим. 1987. Т. 36, С. 2127. [Rusakov, A.I., Mendkovich, A.S., Leibzon, V.N., Mironov, G.S., and Gul’tyai, V.P., Feasibility of a quantitative description of halide anion abstraction from aromatic radical-anions using quantum chemical reactivity indices, Bull. Acad. Sci. USSR, Division of chemical science, 1987, vol. 36, p. 1977.]
- Bernardi, P., Guerra, M., and Pedulli, G.F., An mo study of the substituent effect in benzene radical ions, Tetrahedron, 1978, vol. 34, p. 2141.
- Hudson, R.F., The importance of orbital overlap on the structure and stability of organic free radicals, J. Mol. Struct.: THEOCHEM, 1983, vol. 103, p. 153.
Supplementary files





















