ALKALINE WATER ELECTROLYSIS WITH ANION EXCHANGE MEMBRANES AND DIFFERENT TYPES OF ELECTRODES
- Authors: Kuleshov V.N.1, Kurochkin S.V.1, Kuleshov N.V.1, Gavriluk A.A.1, Pushkareva I.V.1, Klimova M.A.1, Grigorieva O.Y.1
-
Affiliations:
- National Research University “Moscow Power Engineering Institute”
- Issue: Vol 59, No 11 (2023)
- Pages: 735-750
- Section: Articles
- URL: https://bakhtiniada.ru/0424-8570/article/view/232678
- DOI: https://doi.org/10.31857/S0424857023110105
- EDN: https://elibrary.ru/TJMVBI
- ID: 232678
Cite item
Full Text
Abstract
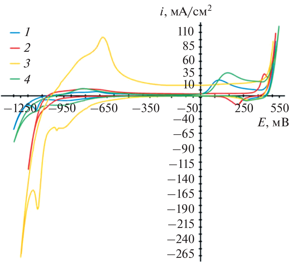
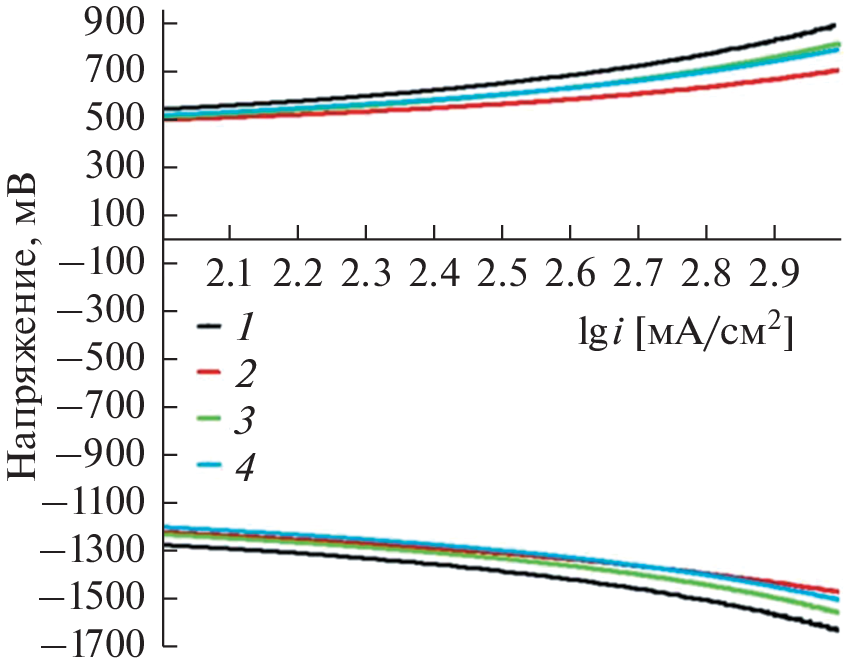
The article is devoted to the creation of a new generation element base for aqueous alkaline electrolyzers with anion-exchange membranes. As a result of the research, two new membranes and various types of electrodes have been proposed, which significantly increase the purity of the generated electrolysis gases and the operating outlet pressure directly at the outlet of the electrolysis module while maintaining low values of specific energy consumption. In this case, the electrolysis module consists entirely of electrode-membrane blocks. Their composition includes components tested in industrial alkaline electrolysis, which distinguishes them from known analogues in chemical resistance. Various types of catalysts that can be used as part of membrane-electrode blocks are considered separately. The results of express tests of electrodes made of stainless steel 12X18H10T are presented, the oxidation process of chromium, which is part of the alloy, is shown, which leads to a decrease in its corrosion resistance. When testing electrodes based on a steel mesh coated with a protective layer of nickel, extensive pitting corrosion was detected on the anode during its operation at high current densities. As an alternative, electrodes made of nickel mesh are proposed. These samples showed excellent corrosion resistance and high adhesion to electrodeposited catalysts. Catalytic coatings consisting of nickel or nickel-cobalt powder with additionally chemically precipitated phosphorus were investigated as catalysts.
About the authors
V. N. Kuleshov
National Research University “Moscow Power Engineering Institute”
Email: ghanaman@rambler.ru
Moscow, Russia
S. V. Kurochkin
National Research University “Moscow Power Engineering Institute”
Email: oksgrig@yandex.ru
Moscow, Russia
N. V. Kuleshov
National Research University “Moscow Power Engineering Institute”
Email: oksgrig@yandex.ru
Moscow, Russia
A. A. Gavriluk
National Research University “Moscow Power Engineering Institute”
Email: oksgrig@yandex.ru
Moscow, Russia
I, V. Pushkareva
National Research University “Moscow Power Engineering Institute”
Email: oksgrig@yandex.ru
Moscow, Russia
M. A. Klimova
National Research University “Moscow Power Engineering Institute”
Email: oksgrig@yandex.ru
Moscow, Russia
O. Yu. Grigorieva
National Research University “Moscow Power Engineering Institute”
Author for correspondence.
Email: oksgrig@yandex.ru
Moscow, Russia
References
- Lee, H.I., Mehdi, M. Kim, K.S., Cho, H.S., Kim, M.J., Cho, W.C., Rhee, Y.W., and Kim, C.H., Advanced Zirfon-type porous separator for a high-rate alkaline electrolyser operating in a dynamic mode, J. Membr. Sci., 2020, vol. 616, p. 118541.
- Ju, W., Heinz, M.V.F., Pusterla, L., Hofer, M., Fumey, B., Castiglioni, R., Pagani, M., Battaglia, C., and Vogt, U., ACS Sustainable Chem. Eng., 2018, vol. 6, p. 4829.
- Henkensmeier, D., Najibah, M., Harms, C., Zitka, J., Hnat, J., and Bouzek, K., Overview: State-of-the Art Commercial Membranes for Anion Exchange Membrane Water Electrolysis, J. Electrochem. Energy Convers. Storage, 2021, vol. 18, p. 024001-1.
- Hickner, M., Herring, A., and Coughlin, B., Anion Exchange Membranes: Current Status and Moving Forward, J. Polymer Sci.: Part B, Polymer Ser., 2013, vol. 51, p. 1727.
- Vincent, I., Kruger, A., and Bessarabov, D., Hydrogen production by water electrolysis with an ultrathin anion-exchange membrane (AEM), Int. J. Electrochem. Sci., 2018, vol. 13, p. 11347.
- Pavel, C.C., Cecconi, F., Emiliani, C., Santiccioli, S., Scaffidi, A., Catanorchi, S., and Comotti, M., Highly efficient platinum group metal free based membrane-electrode assembly for anion exchange membrane water electrolysis, Angew. Chem. Int. Ed., 2014, vol. 53, p. 1378.
- Кулешов, В.Н., Кулешов, Н.В., Курочкин, С.В., Григорьева, О.Ю. Синтез и исследование электродно-диафрагменных блоков для щелочного электролиза воды. Электрохимия. 2022. Т. 58. С. 253. [Kuleshov, V.N., Kuleshov, N.V., Kurochkin, S.V., and Grigor’eva, O.Yu., Synthesis and Investigation of Electrode–Diaphragm Assemblies for Alkaline Water Electrolysis, Russ. J. Electrochem., 2022, vol. 58, p. 464.]
- Кулешов, Н.В., Кулешов В.Н., Довбыш, С.А., Курочкин, С.В., Удрис, Е.Я., Славнов, Ю.А. Полимерные диафрагмы на основе полисульфона для электрохимических устройств со щелочным электролитом. Журн. прикл. химии. 2018. Т. 91. С. 802. [Kuleshov, N.V., Kuleshov, V.N., Dovbysh, S.A., Kurochkin, S.V., Udris, E.Y., and Slavnov, Y.A., Polysulfone-Based Polymeric Diaphragms for Electrochemical Devices with Alkaline Electrolyte, Russ. J. Appl. Chem., 2018, vol. 91, p. 930.]
- Pushkareva, I.V., Pushkarev, A.S., Grigoriev, S.A., Modisha, P., and Bessarabov, D.G., Comparative study of anion exchange membranes for low-cost water electrolysis, Int. J. Hydrogen Energy, 2020, vol. 45, p. 26070.
- Liu, Z., Sajjad, S. D., Gao, Y., Yang, H., Kaczur, J.J., and Masel, R.I., The effect of membrane on an alkaline water electrolyzer, Int. J. Hydrogen Energy, 2017, vol. 42, p. 29661.
- Kuleshov, N.V., Kuleshov, V.N., Dovbysh, S.A., Grigoriev, S.A., Kurochkin, S.V., and Millet, P., Development and performances of a 0.5 kW high-pressure alkaline water electrolyser, Int. J. Hydrogen Energy, 2019, vol. 44, p. 29441.
- Кулешов, В.Н., Кулешов, Н.В., Курочкин, С.В. Высокоэффективные электроды для щелочного электролиза воды. Журн. прикл. химии. 2020. Т. 93. С. 1112. [Kuleshov, N.V., Kuleshov, V.N., and Kurochkin, S.V., High Efficiency Electrodes for Alkaline Electrolysis of Water, Russ. J. Appl. Chem., 2020, vol. 93, p. 1146.]
- Moranchell, F.A.S., Pineda, J.M.S., Perez, J.N.H., Silva-Rivera, U.S., Escobedo, C.A.C., and Huerta, R. de G.G., Electrodes modified with Ni electrodeposition decrease hexavalent chromium generation in an alkaline electrolysis process, Int. J. Hydrogen Energy, 2020, vol. 45, p. 13683.
- Marijan, D., Vukovic, M., Pervan, P., and Milunb, M., Surface Modification of Stainless Steel-304 Electrode. Voltammetric, Rotating Ring-Disc Electrode and XPS Studies, Croatica Chem. Acta, 1999, vol. 4, p. 737.
- Todoroki, N. and Wadayama, T., Electrochemical stability of stainless-steel-made anode for alkaline water electrolysis: Surface catalyst nanostructures and oxygen evolution overpotentials under applying potential cycle loading, Electrochem. Commun., 2021, vol. 122, p. 106902.
- Durovic, M., Hnat, J., Bernacker, C.I., Rauscher, T., Rontzsch, L., Paidar, M., and Bouzek, K., Nanocrystalline Fe60Co20Si10B10 as a cathode catalyst for alkaline water electrolysis: Impact of surface activation, Electrochim. Acta, 2019, vol. 306, p. 688.
- Xiao, L., Yao, P., Xue, T., and Li, F., One-step electrodeposition synthesis of Ni/NiSx@NF catalyst on nickel foam (NF) for hydrogen evolution reaction, Molec. Catal., 2021, vol. 511, p. 111694.
Supplementary files













