Oxidation of Formaldehyde on PdNi Nanowires Synthesized in Superfluid Helium
- Authors: Manzhos R.A.1, Kochergin V.K.1, Krivenko A.G.1, Khodos I.I.2, Karabulin A.V.1,3, Matyushenko V.I.4
-
Affiliations:
- Federal Research Center of Problems of Chemical Physics and Medicinal Chemistry of Russian Academy of Sciences
- Institute of Microelectronics Technology and High Purity Materials of Russian Academy of Sciences
- Joint Institute for High Temperatures of Russian Academy of Sciences
- Chernogolovka Branch of the N.N. Semenov Federal Research Center for Chemical Physics of Russian Academy of Sciences
- Issue: Vol 59, No 10 (2023)
- Pages: 554-558
- Section: Articles
- URL: https://bakhtiniada.ru/0424-8570/article/view/141820
- DOI: https://doi.org/10.31857/S0424857023100122
- EDN: https://elibrary.ru/YLZUEY
- ID: 141820
Cite item
Full Text
Abstract
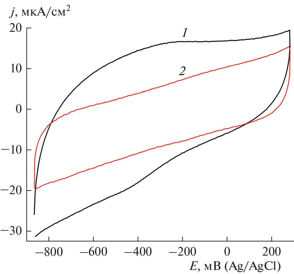
The possibility of using a boron-doped diamond electrode with a net structure of PdNi alloy nanowires deposited on its surface by laser ablation in superfluid helium as a formaldehyde sensor is considered. High sensitivity of such an electrode to trace amounts of formaldehyde was shown.
About the authors
R. A. Manzhos
Federal Research Center of Problems of Chemical Physics and Medicinal Chemistry of Russian Academy of Sciences
Email: rmanzhos@icp.ac.ru
Chernogolovka 142432, Russia
V. K. Kochergin
Federal Research Center of Problems of Chemical Physics and Medicinal Chemistry of Russian Academy of Sciences
Email: rmanzhos@icp.ac.ru
Chernogolovka 142432, Russia
A. G. Krivenko
Federal Research Center of Problems of Chemical Physics and Medicinal Chemistry of Russian Academy of Sciences
Email: rmanzhos@icp.ac.ru
Chernogolovka 142432, Russia
I. I. Khodos
Institute of Microelectronics Technology and High Purity Materials of Russian Academy of Sciences
Email: rmanzhos@icp.ac.ru
Chernogolovka 142432, Russia
A. V. Karabulin
Federal Research Center of Problems of Chemical Physics and Medicinal Chemistry of Russian Academy of Sciences; Joint Institute for High Temperatures of Russian Academy of Sciences
Email: rmanzhos@icp.ac.ru
Chernogolovka 142432, Russia; 125412 Moscow, Russia
V. I. Matyushenko
Chernogolovka Branch of the N.N. Semenov Federal Research Center for Chemical Physics of Russian Academy of Sciences
Author for correspondence.
Email: rmanzhos@icp.ac.ru
Chernogolovka 142432, Russia
References
- Zhou, Z.L., Kang, T.F., Zhang, Y., and Cheng, S.Y., Electrochemical sensor for formaldehyde based on Pt–Pd nanoparticles and a Nafion-modified glassy carbon electrode, Microchim. Acta, 2009, vol. 164, p. 133. https://doi.org/10.1007/s00604-008-0046-x
- Qiao, J., Guo, Y., Song, J., Zhang, Y., Sun, T., Shuang, S., and Dong, C., Synthesis of a palladium-graphene material and its application for formaldehyde determination, Anal. Lett., 2013, vol. 46, p. 1454. https://doi.org/10.1080/00032719.2012.751543
- Zhang, J., Shangguan, L., and Dong, C., Electrocatalytic oxidation of formaldehyde and formic acid at Pd nanoparticles modified glassy carbon electrode, Micro Nano Lett., 2013, vol. 8, p. 704. https://doi.org/10.1049/mnl.2013.0186
- Ejaz, A., Ahmed, M.S., and Jeon, S., Synergistic effect of 1, 4-benzenedimethaneamine assembled graphene supported palladium for formaldehyde oxidation reaction in alkaline media, J. Electrochem. Soc., 2016, vol. 163, p. B163. https://doi.org/10.1149/2.0821605jes
- Kongkaew, S., Kanatharana, P., Thavarungkul, P., and Limbut, W., A preparation of homogeneous distribution of palladium nanoparticle on poly(acrylic acid)-functionalized graphene oxide modified electrode for formalin oxidation, Electrochim. Acta, 2017, vol. 247, p. 229. https://doi.org/10.1016/j.electacta.2017.06.131
- Bennett, J.A., Wang, J., Show, Y., and Swain, G.M., Effect of sp2-bonded nondiamond carbon impurity on the response of boron-doped polycrystalline diamond thin-film electrodes, J. Electrochem. Soc., 2004, vol. 151, p. E306. https://doi.org/10.1149/1.1780111
- Gordon, E.B., Karabulin, A.V., Matyushenko, V.I., and Khodos, I.I., Experimental study of thermal stability of thin nanowires, J. Phys. Chem. A, 2015, vol. 119, p. 2490. https://doi.org/10.1021/jp5087834
- Liu, Z., Yin, Y., Yang, D., Zhang, C., Ming, P., Li, B., and Yang, S., Efficient synthesis of Pt–Co nanowires as cathode catalysts for proton exchange membrane fuel cells, RSC Adv., 2020, vol. 10, p. 6287. https://doi.org/10.1039/D0RA00264J
- Khudhayer, W.J., Shaikh, A.U., and Karabacak, T., Platinum Nanorod Arrays with Preferred Morphological and Crystal Properties for Oxygen Reduction Reaction, Adv. Sci. Lett., 2011, vol. 4, p. 3551. https://doi.org/10.1166/asl.2011.1867
- Nash, A. and Nash, P., The Ni–Pd (Nickel–Palladium) system, Bull. Alloy Phase Diagr., 1984, vol. 5, p. 446. https://doi.org/10.1007/BF02872890
- Yi, Y., Weinberg, G., Prenzel, M., Greiner, M., Heumann, S., Becker, S., and Schlögl, R., Electrochemical corrosion of a glassy carbon electrode, Catal. Today, 2017, vol. 295, p. 32. https://doi.org/10.1016/j.cattod.2017.07.013
- Кривенко, А.Г., Манжос, Р.А., Кочергин В.К. Влияние плазмоэлектрохимической обработки стеклоуглеродного электрода на обратимые и необратимые электродные реакции. Электрохимия. 2019. Т. 55. С. 854. [Krivenko, A.G., Manzhos, R.A., and Kochergin, V.K., Effect of Plasma-Assisted Electrochemical Treatment of Glassy Carbon Electrode on the Reversible and Irreversible Electrode Reactions, Russ. J. Electrochem., 2019, vol. 55, p. 663.] https://doi.org/10.1134/S102319351907005X10.1134/S102319351907005Xhttps://doi.org/10.1134/S0424857019070053
- Podlovchenko, B.I., Maksimov, Yu.M., Gladysheva, T.D., and Volkov, D.S., Role of oxides in the electrochemical dissolution of Pd and its alloys, Mendeleev Commun., 2021, vol. 31, p. 561. https://doi.org/10.1016/j.mencom.2021.07.042
- Wang, K.-W., Chung, S.-R., and Liu, C.-W., Surface Segregation of PdxNi100 – x Alloy Nanoparticles, J. Phys. Chem. C, 2008, vol. 112, p. 10242. https://doi.org/10.1021/jp800908k
- Yan, R.-W. and Jin, B.-K., Study of the electrochemical oxidation mechanism of formaldehyde on gold electrode in alkaline solution, Chin. Chem. Lett., 2013, vol. 24, p. 159. https://doi.org/10.1016/j.cclet.2013.01.023
- Gor’kov, K.V., Talagaeva, N.V., Kleinikova, S.A., Dremova, N.N., Vorotyntsev, M.A., and Zolotukhina, E.V., Palladium-polypyrrole composites as prospective catalysts for formaldehyde electrooxidation in alkaline solutions, Electrochim. Acta, 2020, vol. 345, p. 136164. https://doi.org/10.1016/j.electacta.2020.136164
- Doronin, S.V., Manzhos, R.A., and Krivenko, A.G., EDL structure and peculiarities of ferricyanide cyclic voltammetry for silver deposits on gold, Electrochem. Commun., 2015, vol. 57, p. 35. https://doi.org/10.1016/j.elecom.2015.05.003
Supplementary files







