FEATURES OF THE ELECTROCHEMICAL BEHAVIOR OF CHLOROPHENOXY SUBSTITUTED COBALT AND COPPER PHTHALOCYANINATES IN NON-AQUEOUS MEDIA
- Authors: Kovanova M.A.1, Tikhomirova T.V.1, Sakhapov I.F.2, Gafurov Z.N.2, Yakhvarov D.G.2, Vashurin A.S.1
-
Affiliations:
- Ivanovo State University of Chemistry and Technology
- Arbuzov Institute of Organic and Physical Chemistry, FRC Kazan Scientific Center, Russian Academy of Sciences
- Issue: Vol 59, No 9 (2023)
- Pages: 495-500
- Section: Articles
- URL: https://bakhtiniada.ru/0424-8570/article/view/139369
- DOI: https://doi.org/10.31857/S0424857023090074
- EDN: https://elibrary.ru/MIQFLM
- ID: 139369
Cite item
Full Text
Abstract
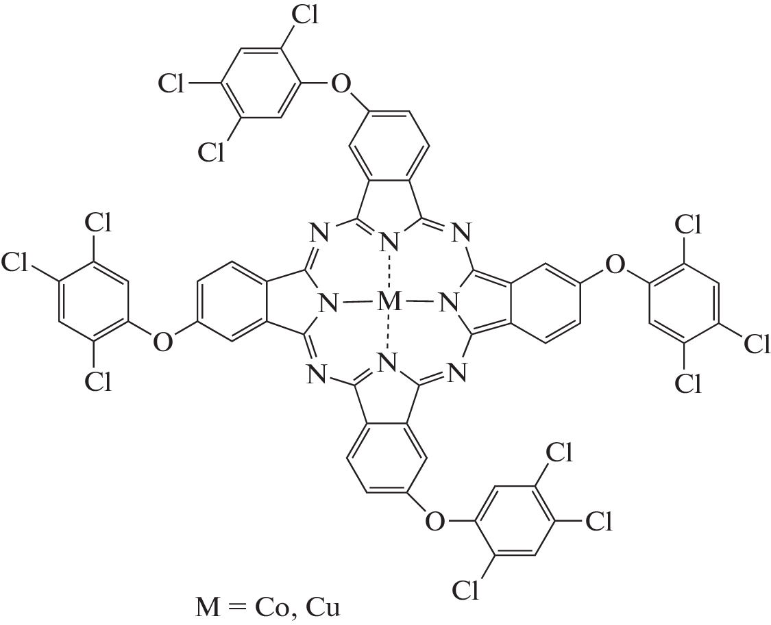
The electrochemical behavior of tetra-4-[4-(2,4,5-trichlorophenoxy)]phthalocyaninates of cobalt(II) (CoPc) and copper(II) (CuPc) in N,N-dimethylformamide 0.1 M nBu4NBF4 was studied by cyclic voltammetry. It has been experimentally established that both metal complexes are capable of irreversible reduction. In the reverse part of the CV curve for CoPc, an oxidation peak is observed, which is absent during anodic scanning, and corresponds to the cathodic reaction product. The metal complexes themselves do not oxidize under the conditions.
About the authors
M. A. Kovanova
Ivanovo State University of Chemistry and Technology
Email: mariia.a.kovanova@gmail.com
Ivanovo, Russia
T. V. Tikhomirova
Ivanovo State University of Chemistry and Technology
Email: mariia.a.kovanova@gmail.com
Ivanovo, Russia
I. F. Sakhapov
Arbuzov Institute of Organic and Physical Chemistry, FRC Kazan Scientific Center, Russian Academy of Sciences
Email: mariia.a.kovanova@gmail.com
Kazan, Russia
Z. N. Gafurov
Arbuzov Institute of Organic and Physical Chemistry, FRC Kazan Scientific Center, Russian Academy of Sciences
Email: mariia.a.kovanova@gmail.com
Kazan, Russia
D. G. Yakhvarov
Arbuzov Institute of Organic and Physical Chemistry, FRC Kazan Scientific Center, Russian Academy of Sciences
Email: mariia.a.kovanova@gmail.com
Kazan, Russia
A. S. Vashurin
Ivanovo State University of Chemistry and Technology
Author for correspondence.
Email: mariia.a.kovanova@gmail.com
Ivanovo, Russia
References
- De la Torre, G., Claessens, C.G., and Torres, T., Phthalocyanines: old dyes, new materials. Putting color in nanotechnology, Chem. Commun., 2007, vol. 20, p. 2000. https://doi.org/10.1039/B614234F
- Wöhrle, D., Schnurpfeil, G., Makarov, S.G., Kazarin, A., and Suvorova, O.N., Practical Applications of Phthalocyanines – from Dyes and Pigments to Materials for Optical, Electronic and Photo-electronic Devices, Macroheterocycles, 2012, vol. 5, no. 3, p. 191. https://doi.org/10.6060/mhc2012.120990w
- Koifman, O.I., Ageeva, T.A., Beletskaya, I.P., Ave-rin, A.D., Yakushev, A.A., Tomilova, L.G., Dubinina, T.V., Tsivadze, A.Yu., Gorbunova, Yu.G., Marty-nov, A.G., Konarev, D.V., Khasanov, S.S., Lyubov-skaya, R.N., Lomova, T.N., Korolev, V.V., Zenke-vich, E.I., Blaudeck, T., Von Borczyskowski, C., Zahn, D.R.T., Mironov, A.F., Bragina, N.A., Ezhov, A.V., Zhdanova, K.A., Stuzhin, P.A., Pakhomov, G.L., Rusakova, N.V., Semenishyn, N.N., Smola, S.S., Parfenyuk, V.I., Vashurin, A.S., Makarov, S.V., Dereven’Kov, I.A., Mamardashvili, N.Zh., Kurtikyan, T.S., Martirosyan, G.G., Burmistrov, V.A., Aleksandriiskii, V.V., Novikov, I.V., Pritmov, D.A., Grin, M.A., Suvorov, N.V., Tsygankov, A.A., Fedorov, A.Yu., Kuzmina, N.S., Nyuchev, A.V., Otvagin, V.F., Kustov, A.V., Belykh, D.V., Berezin, D.B., Solovieva, A.B., Timashev, P.S., Milaeva, E.R., Gracheva, Yu.A., Dodokhova, M.A., Safronenko, A.V., Shpakovsky, D.B., Syrbu, S.A., Gubarev, Y.A., Kiselev, A.N., Koifman, M.O., Lebedeva, N.Sh., and Yurina, E.S., Macroheterocyclic compounds a key building block in new functional materials and molecular devices, Macroheterocycles, 2020, vol. 13, no. 4, p. 311. https://doi.org/10.6060/mhc200814k
- Kondratenko, N.V., Nemykin, V.N., Lukyanets, E.A., Kostromina, N.A., Volkovan, S.V., and Yagupolskii, L.M., The synthesis and properties of some polyfluoroalkoxy substituted phthalocyanines, J. Porphyrins Phthalocyanines, 1997, vol. 1, no. 4, p. 341. https://doi.org/10.1002/(SICI)1099-1409(199710)1:4<341::AID-JPP37>3.0.CO;2-K
- Furuyama, T., Satoh, K., Kushiya, T., and Kobayashi, N., Design, Synthesis, and Properties of Phthalocyanine Complexes with Main-Group Elements Showing Main Absorption and Fluorescence beyond 1000 nm, J. Amer. Chem. Soc., 2014, vol. 136, no. 2, p. 765. https://doi.org/10.1021/ja411016f
- Sorokin, A.B., Phthalocyanine metal complexes in catalysis, Chem. Rev., 2013, vol. 113, no. 10, p. 8152. https://doi.org/10.1021/cr4000072
- Койфман, О.И., Агеева, Т.А. Общие подходы к синтезу тетрапиррольных макрогетероциклических соединений – перспективных материалов для фотовольтаических устройств. Высокомолекуляр. соединения. Сер. С. 2014. Т. 56. № 1. С. 89. [Koifman, O.I. and Ageeva, T.A., Common approaches to the synthesis of tetrapyrrole macroheterocyclic compounds: promising materials for photovoltaic devices, Polymer Science. Series C, 2014, vol. 56, no. 1, p. 84.] https://doi.org/10.1134/S181123821401005610.1134/S1811238214010056https://doi.org/10.7868/S2308114714010051
- Вашурин, А.С., Бадаукайте, Р.А., Футерман, Н.А., Пуховская, С.Г., Шапошников, Г.П., Голубчиков, О.А. Каталитические свойства кобальтовых комплексов сульфозамещенных фталоцианинов, иммобилизованных на полимерной матрице. Нефтехимия. 2013. Т. 53. № 3. С. 221. [Vashurin, A.S., Badaukaite, R.A., Futerman, N.A., Pukhovskaya, S.G., Shaposhnikov, G.P., and Golubchikov, O.A., Catalytic properties of polymer matrix-immobilized cobalt complexes with sulfonated phthalocyanines, Petroleum Chemistry, 2013, vol. 53, no. 3, p. 197.] https://doi.org/10.1134/S096554411303012210.1134/S0965544113030122https://doi.org/10.7868/S0028242113030131
- Botnar, A., Tikhomirova, T., Kazaryan, K., Bychkova, A., Maizlish, V., Abramov, I., and Vashurin, A., Synthesis and properties of tetrasubstituted phthalocyanines containing cyclohexylphenoxy-groups on the periphery, J. Mol. Struct., 2021, vol. 1238, p. 130438. https://doi.org/10.1016/j.molstruc.2021.130438
- Erzunov, D., Tikhomirova, T., Filippov, D., Maizlish, V., Abramov, I., and Vashurin, A., Tetrasubstituted (4‑chlorophenoxy)- and (2,4,5-trichlorophenoxy)phthalocyanine metal(II) complexes and their sulphonated derivatives: synthesis and properties, Eur. Chem. Bull., 2019, vol. 8, no. 11, p. 376. https://doi.org/10.17628/ecb.2019.8.376-382
- Вашурин, А.С., Кузьмин, И.А., Литова, Н.А., Петров, О.А., Пуховская, С.Г., Голубчиков, О.А. Каталитические свойства кобальтовых комплексов производных тетрапиразинопорфиразина и фталоцианина. Журн. физ. химии. 2014. Т. 88. № 12. С. 1904. [Vashurin, A.S., Kuzmin, I.A., Litova, N.A., Petrov, O.A., Pukhovskaya, S.G., and Golubchikov, O.A., Catalytic properties of cobalt complexes with tetrapyrazino porphyrazine and phthalocyanine derivatives, Russ. J. Phys. Chem. A, 2014, vol. 88, no. 12, p. 2064.] https://doi.org/10.1134/S003602441412039510.1134/S0036024414120395https://doi.org/10.7868/S0044453714120395
- Vashurin, A., Maizlish, V., Pukhovskaya, S., Voronina, A., Kuzmin, I., Futerman, N., Golubchikov, O., and Koifman, O., Novel aqueous soluble cobalt (II) phthalocyanines of tetracarboxyl-substituted: Synthesis and catalytic activity on oxidation of sodium diethyldithiocarbamate, J. Porphyrins Phthalocyanines, 2015, vol. 19, no. 4, p. 573. https://doi.org/10.1142/S1088424614501028
- Петров, А.В., Базанов, М.И., Юрина, Е.С. Электрохимические и электрокаталитические свойства металлополимерных и макрогетероциклических комплексов с кобальтом. Электрохим. энергетика. 2010. Т. 10. № 3. С. 141. [Petrov, A.V., Bazanov, M.I., and Yurina, E.S., Electrochemical and electrocatalytic properties of metal-polymer and macroheterocyclic complexes with cobalt, Elektrohimich. energetika (in Russian), 2010, vol. 10, no. 3, p. 141.]
- Турчанинова, И.В., Филимонов, Д.А., Базанов, М.И., Майзлиш, В.Е. Исследование электрохимических и электрокаталитических свойств ряда производных фталоцианина меди. Изв. вузов. Химия и хим. технология. 2011. Т. 54. № 2. С. 105. [Turchaninova, I.V., Filimonov, D.A., Bazanov, M.I., and Maizlish, V.E., Study of electrochemical and electrocatalytic properties of a number of copper phthalocyanine derivatives, Izv. Vyssh. Uchebn. Zaved. Khim. Khim. Tekhnol. (in Russian), 2011, vol. 54, no. 2, p. 105.]
- Гогин, К.К., Знойко, С.А., Наконечная, А.Н., Кустова, Т.В., Акопова, О.Б., Бумбина, Н.В., Усольцева, Н.В. Синтез и свойства металлокомплексов тетра[4,5](2,4,5-трихлорфенокси)фталоцианина. Жидкие кристаллы и их практ. использование. 2020. Т. 20. № 4. С. 35. [Gogin, K.K., Znoyko, S.A., Nakonechnaya, A.N., Kustova, T.V., Akopova, O.B., Bumbina, N.V., and Usol’tseva N.V., Synthesis and properties of tetra[4,5](2,4,5-trichlorophenoxy)phthalocyanine metal complexes, Liq. Cryst. and their Appl., 2020, vol. 20, no. 4, p. 35.]https://doi.org/10.18083/LCAppl.2020.4.35
- Алпатова, Н.М., Овсянникова, Е.В., Семенихин, О.А., Томилова, Л.Г., Коренченко, О.В., Казаринов, В.Е. Влияние природы растворителя и фонового электролита на редокс-превращения электрополимеризованного тетрааминофталоцианина меди. Электрохимия. 2000. Т. 36. С. 173. [Alpatova, N.M., Ovsyannikova, E.V., Semenikhin, O.A., Tomilova, L.G., Korenchenko, O.V., and Kazarinov, V.E., Effect of solvent and supporting electrolyte on redox conversions of electropolymerized copper tetraaminophthalocyanine, Russ. J. Eleсtrochem., 2000, vol. 36, p. 155.] https://doi.org/10.1007/BF02756899
- Nevin, W.A., Hempstead, M.R., Liu, W., Leznoff, C.C., and Lever, A.B.P., Electrochemistry and spectroelectrochemistry of mononuclear and binuclear cobalt phthalocyanines, Inorg. Chem. 1987, vol. 26, no. 4, p. 570. https://doi.org/10.1021/ic00251a017
- Базанов, М.И., Филимонов, Д.А., Волков, А.В., Койфман, О.И. Макрогетероциклические соединения: Электрохимия, электрокатализ, термохимия, М.: ЛЕНАНД, 2016, 320 с. [Bazanov, M.I., Filimonov, D.A., Volkov, A.V., and Koifman, O.I., Macroheterocyclic compounds: Electrochemistry, electrocatalysis, thermochemistry (in Russian), Moscow: LENAND, 1974, 320 p.]
Supplementary files







