THE INFLUENCE OF MECHANO ACTIVATION ON THE STRUCTURE AND ELECTRICAL CONDUCTIVITY IN THE SYSTEM KNO3-Al2O3
- Authors: Akhmedov M.A.1,2, Gafurov M.M.1, Rabadanov K.S.1, Ataev M.B.1, Amirov A.M.1, Kubataev Z.Y.1, Kakagasanov M.G.1
-
Affiliations:
- Analytical Center for Collective Use of the Far Eastern Federal Research Center of the Russian Academy of Sciences
- Limited Liability Company "DAGLITIY"
- Issue: Vol 59, No 8 (2023)
- Pages: 465-473
- Section: Articles
- URL: https://bakhtiniada.ru/0424-8570/article/view/139300
- DOI: https://doi.org/10.31857/S0424857023080030
- EDN: https://elibrary.ru/XXONRC
- ID: 139300
Cite item
Full Text
Abstract
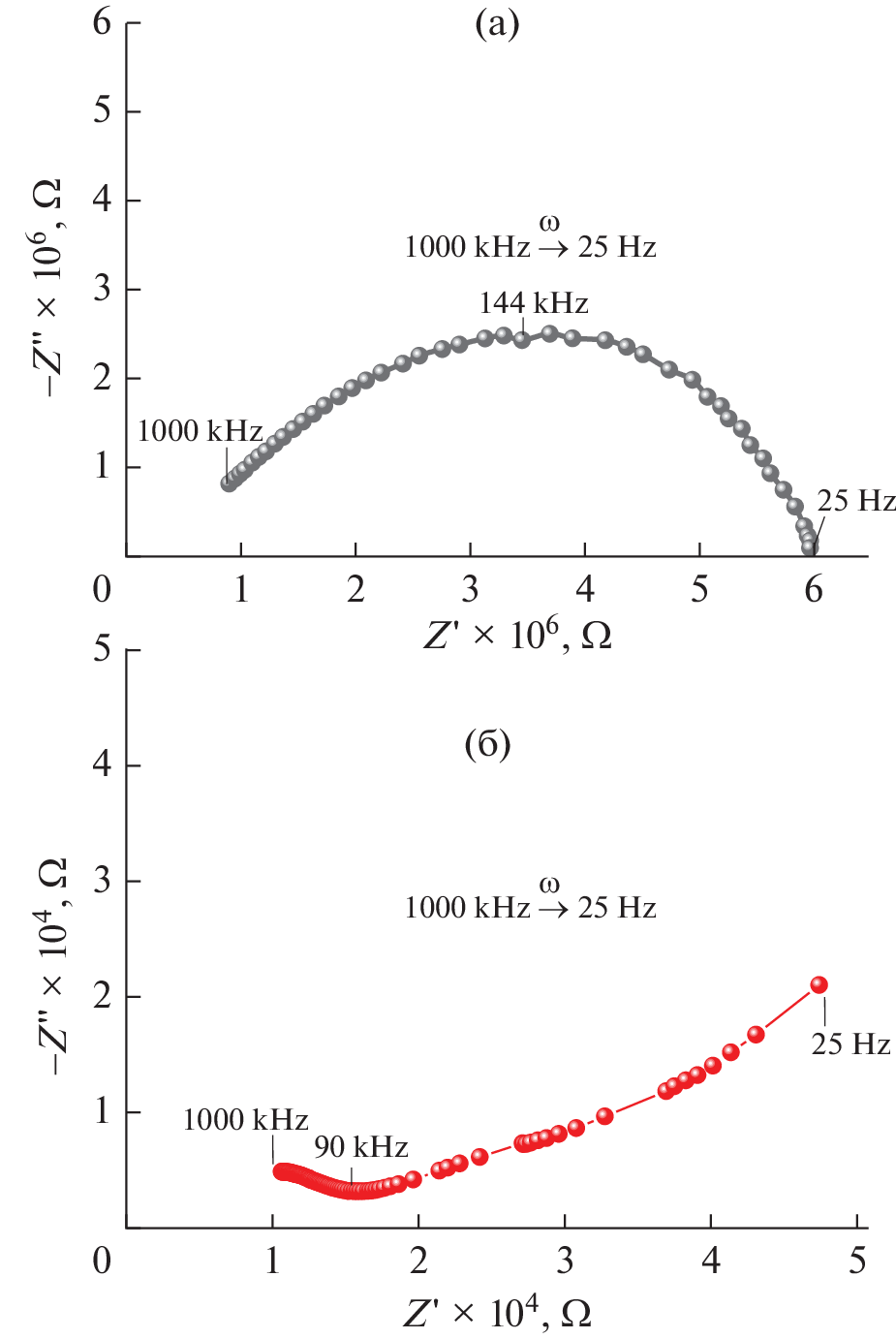
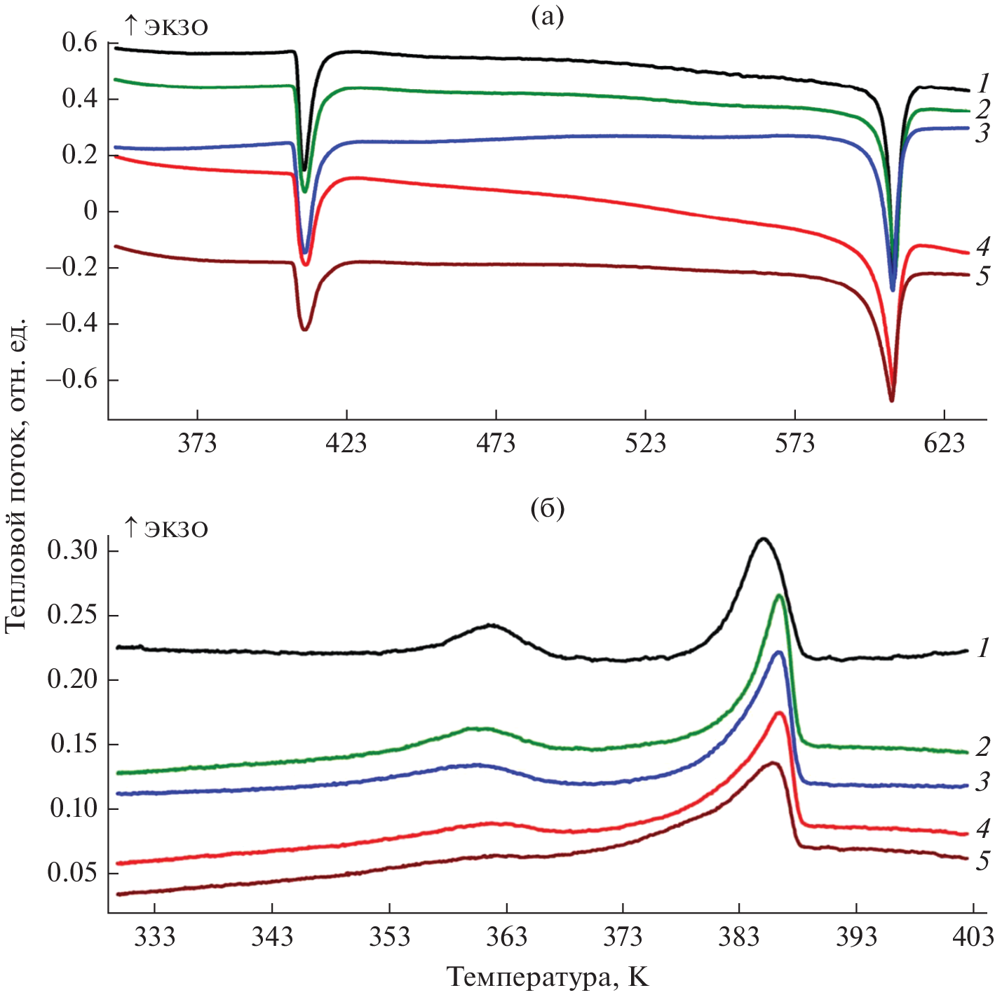
In this paper, the effect of mechanical activation on the structure and electrical conductivity of the KNO3-Al2O3 composite was studied. Based on the analysis of DSC curves measured during heating and cooling of the sample, it was found that the enthalpy of phase transitions decreases with increasing time of mechanical activation of the 0.5KNO3-0.5Al2O3 composite. X-ray diffraction analysis shows that mechanical activation leads to a decrease in the grain dimension and an increase in the defectiveness. Based on the electrochemical impedance spectroscopy data, it was determined that for the KNO3-Al2O3 system subjected to mechanical activation, the values of specific ionic conductivity are 3.8×10-5 S/cm at T = 373 K and 2×10-3 S/cm at T = 473 K and the energy value activations of 0.19 eV are comparable with the parameters of a composite of the same chemical composition obtained by the ceramic technique. Raman spectroscopy revealed the formation of a metastable γ-phase KNO3during the mechanoactivation of the composite, which is stable at temperatures above 397 K. It is proposed that an increase in electrical conductivity in the KNO3-Al2O3 composite at 373-403 K is due to the presence in the composite of an additional metastable γ-phase KNO3.
About the authors
M. A. Akhmedov
Analytical Center for Collective Use of the Far Eastern Federal Research Center of the Russian Academy of Sciences; Limited Liability Company "DAGLITIY"
Email: ama.mag@mail.ru
Makhachkala, Russia; Makhachkala, Russia
M. M. Gafurov
Analytical Center for Collective Use of the Far Eastern Federal Research Center of the Russian Academy of Sciences
Email: rksh83@mail.ru
Makhachkala, Russia
K. Sh. Rabadanov
Analytical Center for Collective Use of the Far Eastern Federal Research Center of the Russian Academy of Sciences
Email: rksh83@mail.ru
Makhachkala, Russia
M. B. Ataev
Analytical Center for Collective Use of the Far Eastern Federal Research Center of the Russian Academy of Sciences
Email: rksh83@mail.ru
Makhachkala, Russia
A. M. Amirov
Analytical Center for Collective Use of the Far Eastern Federal Research Center of the Russian Academy of Sciences
Email: rksh83@mail.ru
Makhachkala, Russia
Z. Yu. Kubataev
Analytical Center for Collective Use of the Far Eastern Federal Research Center of the Russian Academy of Sciences
Email: rksh83@mail.ru
Makhachkala, Russia
M. G. Kakagasanov
Analytical Center for Collective Use of the Far Eastern Federal Research Center of the Russian Academy of Sciences
Author for correspondence.
Email: rksh83@mail.ru
Makhachkala, Russia
References
- Aziam, H., Larhrib, B., Hakim, Ch., Sabi, Youcefa, H.B., and Saadounec, I., Solid-state electrolytes for beyond lithium-ion batteries: A review, Renewable and Sustainable Energy Reviews, 2022, vol. 167, p. 112694. https://doi.org/10.1016/j.rser.2022.112694
- Gafurov, M.M. and Rabadanov, K.Sh., High-temperature vibrational spectroscopy of molten electrolytes, Appl. Spectroscopy Rev., 2022, vol. 57, p. 2048305. https://doi.org/10.1080/05704928.2022.2048305
- Hu, Q., Sun, Zh., Nie, L., Chen Sh., Yu, J., and Liu, W., High-safety composite solid electrolyte based on inorganic matrix for solid-state lithium-metal batteries, Materialstoday Energy, 2022, vol. 27, p. 101052. https://doi.org/10.1016/j.mtener.2022.101052
- Dirican, M., Yan, C., Zhu, P., and Zhang, X., Composite solid electrolytes for all-solid-state lithium batteries, Mater. Sci. and Engineering: R: Reports, 2019, vol. 136, p. 27. https://doi.org/10.1016/j.mser.2018.10.004
- Liu, J., Zhang, D., Xu, X., Qin, Y., Ji, S., Huo, Y., Wang, Zh., Liu, Zh., and Shen, J., Recent progress of organic-inorganic composite solid electrolytes for all-solid-state lithium batteries, Chemistry – A Europ. J., 2019, vol. 26(8), p. 04461. https://doi.org/10.1002/chem.201904461
- Uvarov, Nikolai F., Ulihin, Artem S., and Mateyshina, Yulia G., Nanocomposite alkali-ion solid electrolytes, Advanced Nanomaterials for Catalysis and Energy, 2022, p. 393–434. https://doi.org/10.1039/D2CP01837C
- Cheng, Z., Liu, T., Zhao, B., Shen, F., Jin, H., and Han, X., (2020). Recent advances in organic-inorganic composite solid electrolytes for all-solid-state lithium batteries, Energy Storage Mater., 2021, vol. 34, p. 388. https://doi.org/10.1016/j.ensm.2020.09.016
- Улихин, А.С., Новожилов, Д.В., Хуснутдинов, В.Р., Синельникова, Ю.Е., Уваров, Н.Ф. Ионная проводимость композитов LiTi2(PO4)3–LiClO4. Электрохимия. 2022. Т. 58. С. 380. [Ulikhin, A.S., Novozhilov, D.V., Khusnutdinov, V.R., Sinelnikova, Yu.E., and Uvarov, N.F., Ionic conductivity of LiTi2(PO4)3–LiClO4 composites, Russ. J. Electrochem., 2022, vol. 58, p. 580.] https://doi.org/10.1134/S102319352207014X
- Chen, A., Qu, C., Shi, Y., and Shi, F., Manufacturing strategies for solid electrolyte in batteries, Frontiers in Energy Research, 2020, vol. 8. p. 571440. https://doi.org/110.3389/fenrg.2020.571440
- Famprikis, T., Canepa, P., Dawson, J.A., Saiful, Islam M., and Masquelier, Ch., Fundamentals of inorganic solid-state electrolytes for batteries, Nat. Mater., 2019, vol. 18, p. 1278. https://doi.org/10.1038/s41563-019-0431-3
- Yang, R., Cui, L., and Zheng, Y., The Synthesis of composite particles in molten salts, Mater. Transact., 2006, vol. 47(3), p. 584. https://doi.org/10.2320/matertrans.47.584
- Gupta, S.K. and Mao, Y., A review on molten salt synthesis of metal oxide nanomaterials: Status, opportunity, and challenge, and challenge, Progress in Mater. Sci., 2021, vol. 117, p. 100734. https://doi.org/10.1016/j.pmatsci.2020.100734
- Liu, X., Fechler, N., and Antonietti, M., Salt melt synthesis of ceramics, semiconductors and carbon nanostructures, Chem. Soc. Rev., 2013, vol. 42(21), p. 8237. https://doi.org/10.1039/c3cs60159e
- Gonzalo-Juan, I. and Riedel, R., Ceramic synthesis from condensed phases, ChemTexts, 2016, vol. 2, p. 6. https://doi.org/10.1007/s40828-016-0024-6
- Lee, W., Lyon, C.K., Seo, J., Lopez-Hallman, R., Leng, Y., Wang, C.-Y., Hickner, M.A., Randall, C.A., and Gomez, E.D., Ceramic–salt composite electrolytes from cold sintering, Advanced Functional Mater., 2019, p. 1807872. https://doi.org/10.1002/adfm.201807872
- Leonardi, M., Villacampa, M., and Menéndez, J.C., Multicomponent mechanochemical synthesis, Chem. Sci., 2018, vol. 9(8), p. 2042. https://doi.org/10.1039/c7sc05370c
- Uvarov, N.F., Composite solid electrolytes: recent advances and design strategies, J. Solid State Electrochem., 2011, vol. 15(2), p. 367. https://doi.org/10.1007/s10008-008-0739-4
- Nimmo, J.K. and Lucas, B.W., A neutron diffraction determination of the crystal structure of γ-phase potassium nitrate at 25°C and 100°C, J. Phys. C: Solid State Phys., 1973, vol. 6, p. 201. https://doi.org/10.1088/0022-3719/6/2/001
- Nimmo, J.K. and Lucas, B.W., The crystal structures of γ- and β-KNO3 and the α-γ-β phase transformations, Acta Crystallographica Section B, 1976, vol. B32, p. 1968. https://doi.org/10.1107/S0567740876006894
- Poprawski, R., Rysiakiewicz-Pasek, E., Sieradzki, A., Man, A., and Polanska, J., Ferroelectric phase transitions in KNO3 embedded into porous glasses, J. Non-Crystalline Solids, 2007, vol. 353(47-51), p. 4457. https://doi.org/10.1016/j.jnoncrysol.2007.01.086
- Атаев, М.Б., Гафуров, М.М., Эмиров, Р.М., Рабаданов, К.Ш., Амиров, А.М. Исследование фазового состава и структуры нанокомпозитов (1 – x)KNO3 + + xAl2O3 методом рентгеновской дифракции. Физика твердого тела. 2016. Т. 58(12). С. 2336. [Ataev, M.B., Gafurov, M.M., Emirov, R.M., Rabadanov, K.Sh., and Amirov, A.M., Phase composition and the structure of (1 – x)KNO3 + xAl2O3 nanocomposites by X-ray diffraction, Physics Solid State, 2016, vol. 58(12), p. 2423.] https://doi.org/10.1134/S1063783416120027
- Wolf, S., Alam, N., and Feldmann, C., δ-KNO3: Synthesis and structure of a new modification of potassium nitrate, Z. für Anorganische und Allgemeine Chemie, 2015641(2), p. 383. https://doi.org/10.1002/zaac.201400538
- Барышников, С.В., Чарная, Е.В., Милинский, А.Ю., Стукова, Е.В., Тиен, Ч., Болманн, В., Мишель, Д. Диэлектрические свойства смешанных сегнетоэлектриков NaNO2–KNO3 в нанопористых силикатных матрицах. Физика твердого тела. 2009. № 6(51). С. 2439. [Baryshnikov, S.V., Charnaya, E.V., Milinskiy, A.Y., Stukova, E.V., Tien, Ch., Böhlmann, W., and Michel, D., Dielectric properties of mixed NaNO2–KNO3 ferroelectrics in nanoporous silicate matrices, Physics Solid State, 2009, no. 6(51), p. 1172.] https://doi.org/10.1134/S1063783409060262
- Sieradzki, A., Komar, J., Rysiakiewicz-Pasek, E., Ciżman, A., and Poprawski, R., Calorimetric investigations of phase transitions in KNO3 embedded into porous glasses, Ferroelectrics, 2010, vol. 402, p. 60. https://doi.org/10.1080/00150191003697393
- Набережнов, A.A., Ванина, П.Ю., Сысоева, A.A., Цижман, А., Рысякевич-Пасек, Э., Хозер, А. Влияние ограниченной геометрии на структуру и фазовые переходы в наночастицах нитрата калия. Физика твердого тела. 2018. № 3(60). С. 767. [Naberezhnov, A.A., Vanina, P.Y., Sysoeva, A.A., Ciźman, A., Rysiakiewicz-Pasek, E, and Hoser, A., Effect of Restricted Geometry on the Structure and Phase Transitions in Potassium Nitrate Nanoparticles, Physics Solid State, 2018, no. 3(60), p. 442.] https://doi.org/10.1134/S1063783418030204
- Барышников, С.В., Чарная, Е.В., Милинский, А.Ю., Патрушев, Ю.В. Фазовые переходы в KNO3, введенном в поры регулярной наноразмерной пленки МСМ-41. Физика твердого тела. 2013. № 12(55). С. 2439. [Baryshnikov, S.V., Charnaya, E.V., Milinskiy, A.Y., and Patrushev, Y.V., Phase transitions in KNO3 embedded in MCM-41 films with regular nanopores, Physics Solid State, 2013, no. 12(55), p. 2566.]
- Милинский, А.Ю., Барышников, С.В., Стукова, Е.В., Чарная, Е.В., Чернечкин, И.А., Ускова, Н.И. Диэлектрические и тепловые свойства KNO3, внедренного в углеродные нанотрубки. Физика твердого тела. 2021. № 6(63). С. 767. [Milinskii, A.Y., Baryshnikov, S.V., Stukova, E.V., Charnaya, E.V., Chernechkin, I.A., and Uskova, N.I., Dielectric and Thermal Properties of KNO3 Encapsulated in Carbon Nanotubes, Physics Solid State, 2021, no. 6(63), p. 872.] https://doi.org/10.1134/S1063783421060147
- Lia, X., Zhao, R., Fu, Y., and Manthiramb, A., Nitrate additives for lithium batteries: Mechanisms, applications, and prospects, eScience, 2021, vol. 1(2), p. 108. https://doi.org/10.1016/j.esci.2021.12.006
- Jia, W., et al., Extremely accessible potassium nitrate (KNO3) as the highly efficient electrolyte additive in lithium battery, ACS Appl. Mater. & Interfaces, 2016, vol. 8(24), p. 15399. https://doi.org/10.1021/acsami.6b03897
- Hosaka, T., Kubota, K., Kojima, H., and Komaba, S., Highly concentrated electrolyte solutions for 4 V class potassium-ion batteries, Chem. Communications, 2018, vol. 54(60), p. 8387. https://doi.org/10.1039/c8cc04433c
- Zhang, X., Meng, J., Wang, X., Xiao, Z., Wu, P., and Mai, L., Comprehensive Insights into electrolytes and solid electrolyte interfaces in potassium-ion batteries, Energy Storage Mater., 2021, vol. 38, p. 30. https://doi.org/10.1016/j.ensm.2021.02.036
- Uvarov, N.F., Hairetdinov, E.F., and Skobelev, I.V., Composite solid electrolytes MeNO3–Al2O3 (Me = Li, Na, K), Solid State Ionics, 1996, vol. 86–88, p. 577. https://doi.org/10.1016/0167-2738(96)00208-1
- Амиров, А.М., Гафуров, М.М., Рабаданов, К.Ш. Анализ системы KNO3−Al2O3 методом дифференциальной сканирующей калориметрии. Физика твердого тела. 2016. Т. 58(9). С. 1864. [Amirov, A.M., Gafurov, M.M., and Rabadanov, K.Sh., Analysis of the KNO3–Al2O3 System by differential scanning calorimetry, Solid State Physics (in Russian), 2016, vol. 58(9), p. 1930.] https://doi.org/10.1134/S1063783416090067
- Amirov, A.M., Suleymanov, S.I., Gafurov, M.M., et al., Study of the MNO3–Al2O3 nanocomposites by differential scanning calorimetry, J. Therm. Anal. Calorim., 2022. https://doi.org/10.1007/s10973-022-11256-0
- Gafurov, M.M., Rabadanov, K.S., Ataev, M.B., Amirov, A.M., Akhmedov, M.A., Shabanov, N.S., Kubataev, Z.Y., and Rabadanova, D.I., Research of the structure and dynamic interactions of particles in the Li0.42K0.58NO3 – R (R = α-Al2O3, γ-Al2O3, SiO2) and (LiNO3–LiClO4) – γ-Al2O3 composites in various temperature conditions and phase states, Spectrochimica Acta Part A: Molecular and Biomolecular Spectroscopy, 2021, vol. 257, p. 119765. https://doi.org/10.1016/j.saa.2021.119765
- Raju, A., Vennela, A., Mallaiah, Y., Sathish, M., Reddy, S.N., and Sadanandachary, A., Ionic conductivity studies of KNO3:KCl solid composite electrolyte system, Intern. J. Engineering Res. and Appl., 2020, vol. 10(12), p. 48. https://doi.org/10.9790/9622-1012024852
- Рабаданов, К.Ш., Гафуров, М.М., Кубатаев, З.Ю., Амиров, А.М., Ахмедов, М.А., Шабанов, Н.С., Атаев, М.Б. Ионная проводимость и колебательные спектры композитов LiNO3–KNO3 + Al2O3. Электрохимия. 2019. Т. 55. С. 750. [Rabadanov, K.Sh., Gafurov, M.M., Kubataev, Z.Y., Amirov, A.M., Akhmedov, M.A., Shabanov, N.S., and Ataev, M.B., Ion conductivity and vibrational spectra of LiNO3–KNO3 + Al2O3 composites, Russ. J. Electrochem., 2019, vol. 55, p. 573.] https://doi.org/10.1134/S1023193519060168
- Накамото, К. ИК-спектры и спектры КР неорганических и координационных со-единений (пер. с англ.). М.: Мир, 1991. 536 с. [Nakamoto, K., Infrared and Raman spectra of inorganic and coordination compounds. Wiley-Interscience, 1991. 536 p.]
- Murugan, R., Huang, P.J., Ghule, A., and Chang, H., Studies on thermal hysteresis of KNO3 by thermo-Raman spectroscopy, Thermochim. Acta, 2000, vol. 346, p. 83. https://doi.org/10.1016/S0040-6031(99)00364-0
Supplementary files








