Conductivity of Composites MeWO4–Al2O3 (Me = Ca, Sr)
- Authors: Guseva A.F.1, Pestereva N.N.1, Kuznetsov D.K.1, Boyarshinova A.A.1, Gardt V.A.1
-
Affiliations:
- Ural Federal University named after the First President of Russia B.N. Yeltsin
- Issue: Vol 59, No 4 (2023)
- Pages: 208-215
- Section: Articles
- URL: https://bakhtiniada.ru/0424-8570/article/view/139262
- DOI: https://doi.org/10.31857/S0424857023040072
- EDN: https://elibrary.ru/AOGFGJ
- ID: 139262
Cite item
Full Text
Abstract
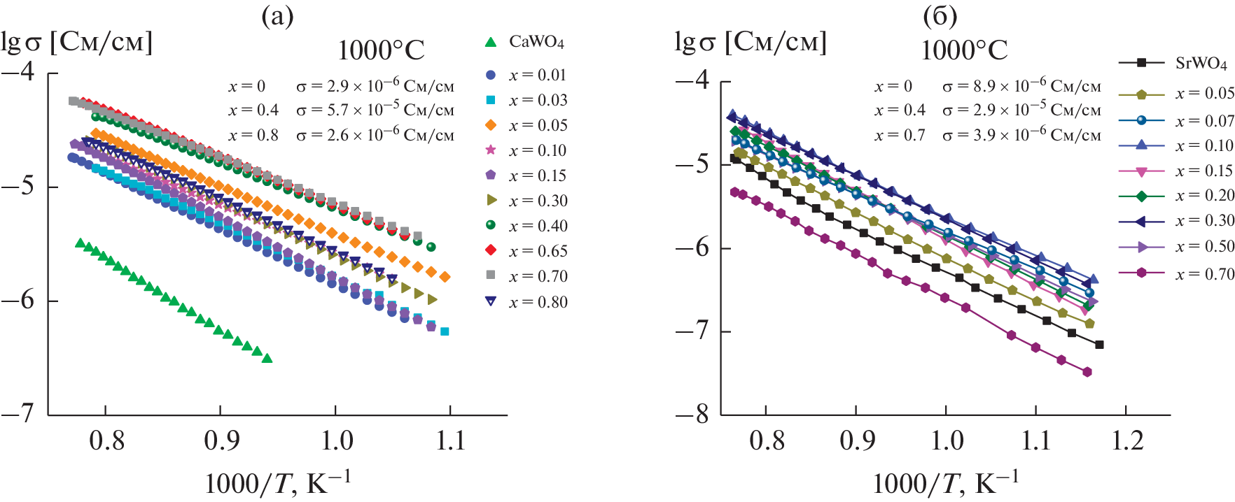
Composites (1 – x)MeWO4–xАl2O3 (Me = Ca, Sr) are synthesized by the solid-phase method. Their phase composition and thermodynamic stability are confirmed by the XRD and TG-DSC data, respectively. Their morphology is studied by the SEM-EDA method. The conductivity of composites is studied by the method of electrochemical impedance spectroscopy as a function of the temperature, the gas-phase oxygen pressure, and the content of added disperse Аl2O3. It is shown that composites (1 – x)MeWO4–xАl2O3 (Me = Ca, Sr) are ionic conductors and their conductivity is 4–12 times higher as compared with the corresponding tungstates.
About the authors
A. F. Guseva
Ural Federal University named after the First President of Russia B.N. Yeltsin
Email: Natalie.Pestereva@urfu.ru
Yekaterinburg, 620002 Russia
N. N. Pestereva
Ural Federal University named after the First President of Russia B.N. Yeltsin
Email: Natalie.Pestereva@urfu.ru
Yekaterinburg, 620002 Russia
D. K. Kuznetsov
Ural Federal University named after the First President of Russia B.N. Yeltsin
Email: Natalie.Pestereva@urfu.ru
Yekaterinburg, 620002 Russia
A. A. Boyarshinova
Ural Federal University named after the First President of Russia B.N. Yeltsin
Email: Natalie.Pestereva@urfu.ru
Yekaterinburg, 620002 Russia
V. A. Gardt
Ural Federal University named after the First President of Russia B.N. Yeltsin
Author for correspondence.
Email: Natalie.Pestereva@urfu.ru
Yekaterinburg, 620002 Russia
References
- Нейман, А.Я., Пестерева, Н.Н., Чжоу, Ю., Нечаев, Д.О., Котенева, Е.А., Ванек, К., Хиггинс, Б., Волкова, Н.А., Корчуганова, И.Г. Электрохимия. 2013. Т. 49. С. 999. [Neiman, A.Ya., Pestereva, N.N., Zhou, Y., Nechayev, D.O., Koteneva, E.A., Vanec, K., Higgins, B., Volkova, N.A., and Korchuganova, I.G., Russ. J. Electrochem., 2013, vol. 49, p. 895.]
- Нейман, А.Я., Пестерева, Н.Н., Шарафутдинов, А.Р. и др. Проводимость и числа переноса метакомпозитов MeWO4–WO3 (Me – Ca, Sr, Ba). Электрохимия. 2005. Т. 41. С. 680. [Neiman, A.Ya., Pestereva, N.N., Sharafutdinov, A.R., et al., Conduction and transport numbers in metacomposites MeWO4-WO3 (Me – Ca, Sr, Ba), Russ. J. Electrochem., 2005, vol. 41, p. 598.]
- Пестерева, Н.Н., Жукова, А.Ю., Нейман, А.Я. Числа переноса носителей и ионная проводимость эвтектических метакомпозитов {MеWO4·хWO3} (Mе – Sr, Ba). Электрохимия. 2007. Т. 43. С. 1379. [Pestereva, N.N., Zhukova, A.Yu., and Neiman, A.Ya., Transport numbers and ionic conduction of eutectic methacomposites {MeWO4·xWO3} (Me – Sr, Ba), Russ. J. Electrochem., 2007, vol. 43, p. 1305.]
- Партин, Г.С., Пестерева, Н.Н., Корона, Д.В., Нейман, А.Я. Влияние состава композитов {(100 – ‒ x)CaWO4·xV2O5} и {(100 – x)LaVO4·xV2O5} на их электропроводность. Электрохимия. 2015. Т. 51. С. 1071. [Partin, G.S., Pestereva, N.N., Korona, D.V., and Neiman, A.Y., Russ. J. Electrochem., 2015, vol. 51, p. 945.]
- Котенёва, Е.А., Пестерева, Н.Н., Анимица, И.Е., Уваров, Н.Ф. Транспортные свойства метакомпозитов в эвтектических системах MAO4–V2O5 (M = Ca, Sr; A = W, MO). Электрохимия. 2017. Т. 53. С. 833. [Koteneva, E.A., Pestereva, N.N., Animitsa, I.E., and Uvarov, N.F., Transport properties of metacomposites in eutectic MAO4–V2O5 systems (M = Ca, Sr; A = W, MO), Russ. J. Electrochem., 2017, vol. 53, p. 739.]
- Guseva, A.F., Pestereva, N.N., Otcheskikh, D.D., and Kuznetsov, D.V., Electrical properties of CaWO4–SiO2 composites, Solid State Ionics, 2021, 364.
- Гусева, А.Ф., Пестерева, Н.Н., Отческих, Д.Д., Востротина, Е.Л. Электропроводность композитов Al2(WO4)3–WO3 и Al2(WO4)3–Al2O3. Электрохимия. 2019. Т. 55. С. 721. [Guseva, A.F., Pestereva, N.N., Otcheskikh, D.D., and Vostrotina, E.L., Conductivity of Al2(WO4)3–WO3 and Al2(WO4)3–Al2O3 composites, Russ. J. Electrochem., 2019, vol. 55, p. 544.]
- Knözinger, H. and Taglauer, E., Toward supported oxide catalyst via solid solid wetting, Catalysis, 1993, vol. 10, p.1.
- Чеботин, В.Н., Перфильев, М.В. Электрохимия твердых электролитов, М.: Химия, 1978. 312 с. [Chebotin, V.N. and Perfilev, M.V., Electrochemistry of solid electrolytes (in Russian), M.: Khimiya, 1978. 312 p.]
- Uvarov, N.F., Estimation of composites conductivity using a general mixing rule, Solid State Ionics, 2000, vol. 136–137, p. 1267.
- Уваров, Н.Ф. Композиционные твердые электролиты. Новосибирск: Изд-во СО РАН, 2008. 258 с. [Uvarov, N.F., Composite solid electrolytes (in Russian), Novosibirsk: ISSC SB RAS Publ., 2008. 259 p.]
- Запевалова, Е.С., Тренихин, М.В., Кряжев, Ю.Г. Синтез никель-углеродных нанокомпозитов с использованием механообработки поливинилхлорида в присутствии нитрата никеля и диэтиламина. Химия твердого топлива. 2021. № 6. С. 22. https://doi.org/10.31857/S0023117721060153
- Вадченко, С.Г., Рогачев, А.С., Ковалев, Д.Ю., Ковалев, И.Д., Мухина, Н.И. Формирование структуры многокомпонентных порошков TiZrNiCuAl при высокоэнергетической механической обработке. Тез. докл. Межд. конф. М.: ТОРУС ПРЕСС, 2018. 784 с. https://doi.org/10.30826/SCPM2018048
- Уваров, Н.Ф., Пономарёва, В.Г., Лаврова, Г.В. Композиционные твердые электролиты. Электрохимия. 2010. Т. 46. С. 772. [Uvarov, N.F., Ponomareva, V.G., and Lavrova, G.V., Composite solid electrolytes, Russ. J. Electrochem., 2010, vol. 46, p. 722.]
- Улихин, А.С., Уваров, Н.Ф. Ионная проводимость композиционых твердых электролитов (C4H9)4NBF4–AL2O3. Электрохимия. 2021. Т. 57. С. 608. [Ulihin, A.S. and Uvarov, N.F., Ionic Conductivity of Composite Solid Electrolytes (C4H9)4NBF4–Al2O3, Russ. J. Electrochem., 2021, vol. 57, p. 1015.]
Supplementary files









