Comparing the Effects of Mechanical Activation and Fusible Additives on the Ionic Conductivity of Li1.3Al0.3Ti1.7(PO4)3
- Authors: Shindrov A.A.1, Kosova N.V.1
-
Affiliations:
- Institute of Solid State Chemistry and Mechanochemistry, Siberian Branch, Russian Academy of Sciences
- Issue: Vol 59, No 3 (2023)
- Pages: 176-182
- Section: Articles
- URL: https://bakhtiniada.ru/0424-8570/article/view/139248
- DOI: https://doi.org/10.31857/S042485702303012X
- EDN: https://elibrary.ru/HXIXJX
- ID: 139248
Cite item
Full Text
Abstract
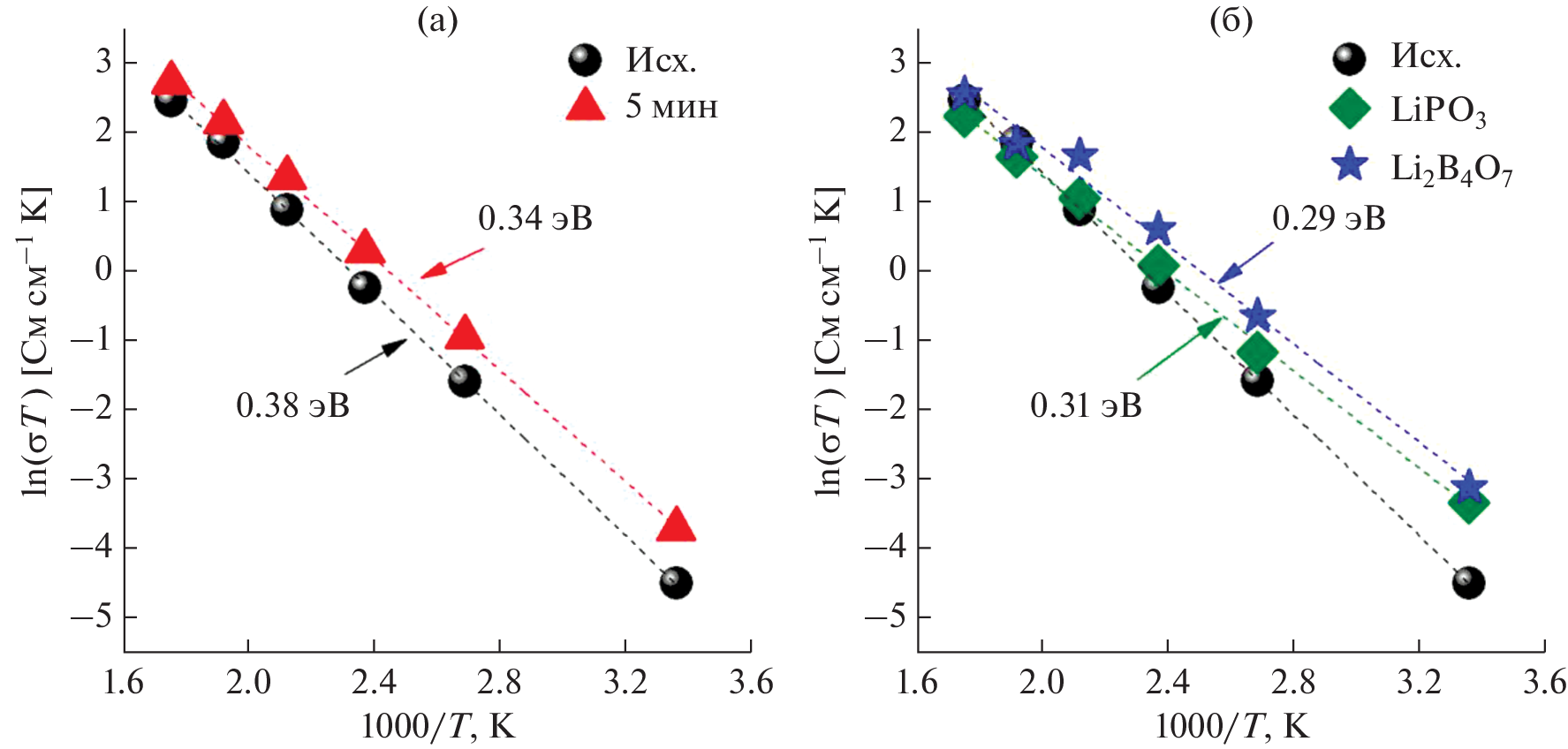
The effects of mechanical activation in a planetary mill and the addition of fusible additives on the conduction properties of the Li1.3Al0.3Ti1.7(PO4)3 (LATP) solid electrolyte with the NASICON structure are compared. According to the results of impedance measurements, the mechanical activation increases the total conductivity of this material from 0.57 × 10–4 to 1.20 × 10–4 S cm–1, whereas the introduction of 5 wt % of fusible additives LiPO3 and Li2B4O7 increases the conductivity to 1.53 × 10–4 and 1.50 × 10–4 S cm–1, respectively. The electronic conductivity of samples does not exceed 10–9–10–8 S cm–1. According to the temperature dependence of the conductivity, the LATP sample containing Li2B4O7 (5 wt %) demonstrates the lowest activation energy equal to 0.29 eV.
About the authors
A. A. Shindrov
Institute of Solid State Chemistry and Mechanochemistry, Siberian Branch, Russian Academy of Sciences
Email: A.Shindrov@yandex.ru
Novosibirsk, Russia
N. V. Kosova
Institute of Solid State Chemistry and Mechanochemistry, Siberian Branch, Russian Academy of Sciences
Author for correspondence.
Email: kosova@solid.nsc.ru
Novosibirsk, Russia
References
- Xu, K., Nonaqueous liquid electrolytes for lithium-based rechargeable batteries, Chem. Rev., 2004, vol. 104, p. 4303.
- Choi, N.S., Chen, Z., Freunberger, S.A., Ji, X., Sun, Y.K., Amine, K., Yushin, G., Nazar, L.F., Cho, J., and Bruce, P.G., Challenges facing lithium batteries and electrical double-layer capacitors, Angew. Chem. Int. Ed., 2012, vol. 51, p. 9994.
- Tan, D.H.S., Banerjee, A., Chen, Z., and Meng, Y.S., From nanoscale interface characterization to sustainable energy storage using all-solid-state batteries, Nature Nanotechnology, 2021, vol. 15, p. 170.
- Kosova, N.V., Devyatkina, E.T., Stepanov, A.P., and Buzlukov, A.L., Lithium conductivity and lithium diffusion in NASICON-type Li1 + xTi2 – xAlx(PO4)3 (x = 0; 0.3) prepared by mechanical activation, Ionics, 2008, vol. 14, p. 303.
- Kobayashi, Yo., Takeuchi, T., Tabuchi, M., Ado, K., and Kageyama, H., Densification of LiTi2 (PO4)3-based solid electrolytes by spark-plasma-sintering, J. Power Sources, 1999, vol. 81–82, p. 853.
- Aono, H., Sugimoto, E., Sadaoka, Y., Imanaka, N., and Adachi, G., Ionic conductivity of solid electrolytes based on lithium titanium phosphate, J. Electrochem. Soc., 1990, vol. 137, p. 1023.
- Aono, H., Sugimoto, E., Sadaoka, Y., Imanaka, N., and Adachi, G., Ionic conductivity and sinterability of lithium titanium phosphate system, Solid State Ionics, 1990, vol. 40/41, p. 38.
- Arbi, K., Lazarraga, M.G., Ben Hassen Chehimi, D., Ayadi-Trabelsi, M., Rojo, J.M., and Sanz, J., Lithium Mobility in Li1.2Ti1.8R0.2(PO4)3 Compounds (R = Al, Ga, Sc, In) as Followed by NMR and Impedance Spectroscopy, Chem. Mater., 2004, vol. 16, p. 255.
- Dias, J.A., Santagneli, S.H., and Messaddeq, Y., Methods for Lithium Ion NASICON Preparation: From Solid-State Synthesis to Highly Conductive Glass-Ceramics, J. Phys. Chem. C, 2020, vol. 124, p. 26518.
- Xiao, W., Wang, J., Fan, L., Zhang, J., and Li, X., Recent advances in Li1 + xAlxTi2 – x(PO4)3 solid-state electrolyte for safe lithium batteries, Energy Storage Mater., 2019, vol. 19, p. 379.
- Bai, F., Kakimoto, K., Shang, X., Mori, D., Taminato, S., Matsumoto, M., Takeda, Y., Yamamoto, O., Minami, H., Izumi, H., and Imanishi, N., Synthesis of NASICON type Li1.4Al0.4Ge0.2Ti1.4(PO4)3 solid electrolyte by rheological phase method, J. Asian Ceram. Soc., 2020, vol. 8, p. 476.
- Ming, X., Xin, W., Li, H., Zhang, Y.H., Xu, M.F., and He, Z.Q., Synthesis of Li1.3Al0.3Ti1.7(PO4)3 by sol–gel technique, Mater. Lett., 2004, vol. 58, p. 1227.
- Bucharsky, E.C., Schell, K.G., Hintennach, A., and Hoffmann, M.J., Preparation and characterization of sol–gel derived high lithium ion conductive NZP-type ceramics Li1 + xAlxTi2 – x(PO4)3, Solid State Ionics, 2015, vol. 274, p. 77.
- Schroeder, M., Glatthaar, S., and Binder, J.R., Influence of spray granulation on the properties of wet chemically synthesized Li1.3Ti1.7Al0.3(PO4)3 (LATP) powders, Solid State Ionics, 2011, vol. 201, p. 49.
- Kunshina, G.B., Gromov, O.G., Lokshin, E.P., and Kalinnikov, V.T., Sol–gel synthesis of Li1.3Al0.3Ti1.7(PO4)3 solid electrolyte, Russ. J. Inorg. Chem., 2014, vol. 59, p. 424.
- Xu, X., Wen, Z., Yang, X., Zhang, J., and Gu, Z., High lithium ion conductivity glass-ceramics in Li2O–Al2O3–TiO2–P2O5 from nanoscaled glassy powders by mechanical milling, Solid State Ionics, 2006, vol. 177, p. 2611.
- Fu, J., Superionic conductivity of glass-ceramics in the system Li2O–Al2O3–TiO2–P2O5, Solid State Ionics, 1997, vol. 96, p. 195.
- Zhang, M., Liu, J., and He, W., Preparation, characterization and conductivity studies of Li1.3M0.3Ti1.7(PO4)3 (M = Al, Cr and Fe) glass–ceramics, Adv. Mater. Res., 2013, vol. 602-604, p. 548.
- Aono, H., Sugimoto, E., Sadaoka, Y., Imanaka, N., and Adachi, G., Ionic conductivity of the lithium titanium phosphate (Lil + xMxTi2 – x(PO4)3, M = AI, Sc, Y, and La) systems, J. Electrochem. Soc., 1989, vol. 136, p. 590.
- German, R.M., Suri, P., and Park, S.J., Review: liquid phase sintering, J. Mater. Sci., 2009, vol. 44, p. 1.
- Kozawa, T., Combined wet milling and heat treatment in water vapor for producing amorphous to crystalline ultrafine Li1.3Al0.3Ti1.7(PO4)3 solid electrolyte particles, RSC Adv., 2021, vol. 11, p. 14796.
- Куншина, Г.Б., Щербина, О.Б., Бочарова, И.В. Проводимость и механические свойства керамических литийпроводящих твердых электролитов со структурой NASICON. Электрохимия. 2021. Т. 57. С. 554.
- He, S. and Xu, Y., Hydrothermal-assisted solid-state reaction synthesis of high ionic conductivity Li1 + xAlxTi2 – x(PO4)3 ceramic solid electrolytes: The effect of Al3+ doping content, Solid State Ionics, 2019, vol. 343, p. 115078.
- Xiao, W., Wang, J., Fan, L., Zhang, J., and Li, X., Recent advances in Li1 + xAlxTi2 – x(PO4)3 solid-state electrolyte for safe lithium batteries, Energy Storage Mater., 2019, vol. 19, p. 379.
- Rettenwander, D., Welzl, A., Pristat, S., Tietz, F., Taibl, S., Redhammer, G.J., and Fleig, J., A microcontact impedance study on NASICON type Li1 + xAlxTi2 – x(PO4)3 (0 < x < 0.5) single crystals, J. Mater. Chem. A, 2016, vol. 4, p. 1506.
Supplementary files







