Prerequisites for Development of Electrochemical Planar Sensor Based on RGO–PPD–SiW Composite for Determining Isoniazid Content in Biological Liquids
- Authors: Pisarevskaya E.Y.1, Klyuev A.L.1, Efimov O.N.2, Shapagin A.V.1, Andreev V.N.1
-
Affiliations:
- Frumkin Institute of Physical Chemistry and Electrochemistry, Russian Academy of Sciences
- Federal Research Center of Problems of Chemical Physics and Medicinal Chemistry, Russian Academy of Sciences
- Issue: Vol 59, No 3 (2023)
- Pages: 167-175
- Section: Articles
- URL: https://bakhtiniada.ru/0424-8570/article/view/139247
- DOI: https://doi.org/10.31857/S0424857023030106
- EDN: https://elibrary.ru/HWZDME
- ID: 139247
Cite item
Full Text
Abstract
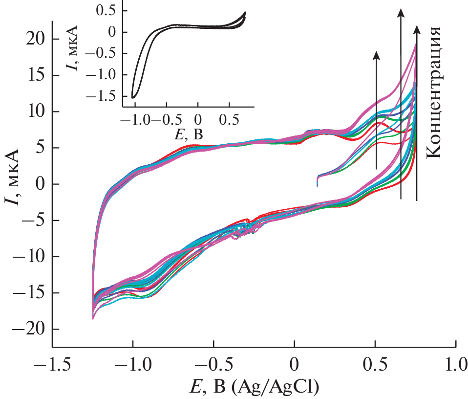
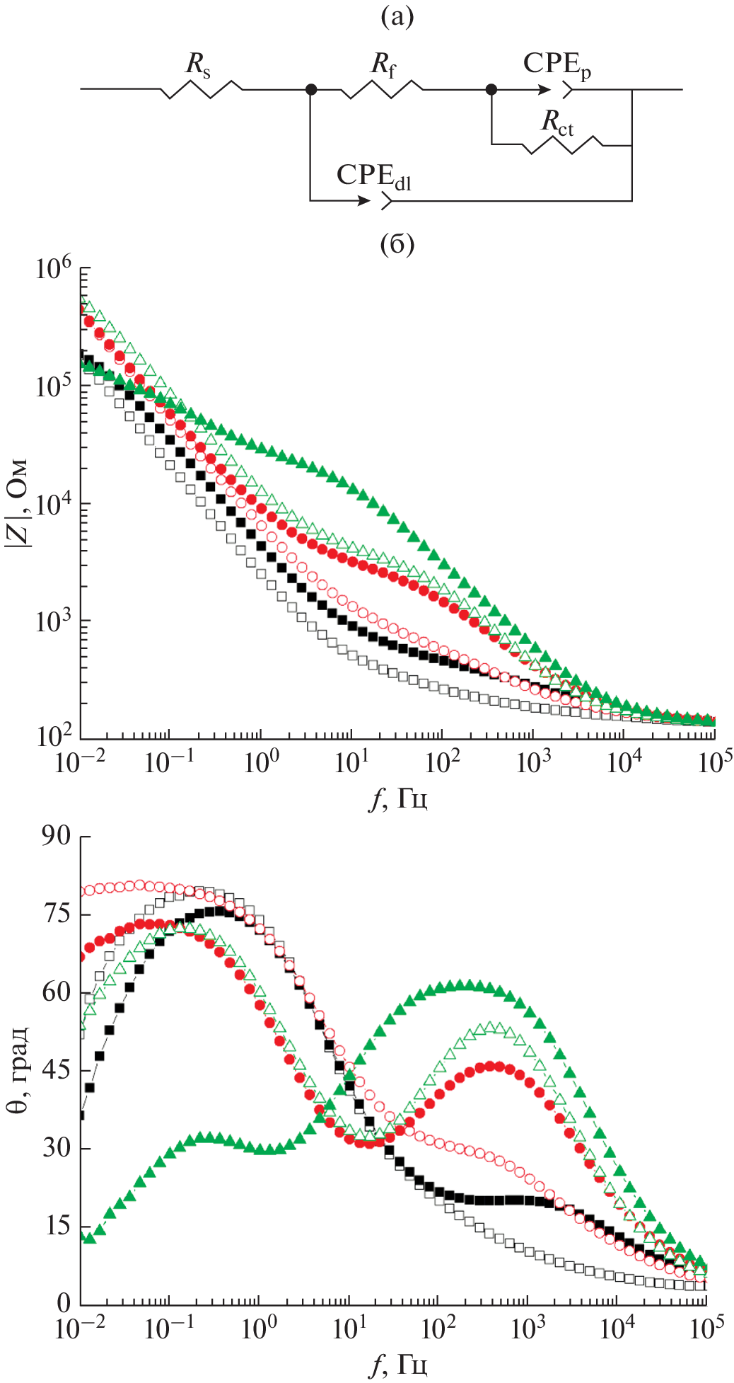
A new redox-active composite material based on reduced graphene oxide (RGO), poly-o-phenylenediamine (PPD), and silicotungstic acid (SiW) is studied. The SEM data showed an abrupt decrease in the content of oxygen atoms in the composite as compared to pure graphene oxide (GO). This is associated with its reduction to RGO in the course of RGO–PPD–SiW synthesis. A combination of RGO conductivity and redox catalysis due to the electroactive components (PPD and SiW) enables one to develop various sensors by applying RGO–PPD–SiW onto planar electrodes (screen-printed carbon electrodes, SPCE). In this work, the possibility of developing a sensor for the content of antituberculous antibiotic isoniazid (isonicotinic acid hydrazide C6H7N3O, INAH) is studied. Using the CVA method, it is shown that the concentration dependence of isoniazid oxidation current is linear. The electrocatalytic behavior of the composite during the isoniazid oxidation is also supported by the impedance spectroscopy.
About the authors
E. Yu. Pisarevskaya
Frumkin Institute of Physical Chemistry and Electrochemistry, Russian Academy of Sciences
Email: elena_pisarevska@bk.ru
Moscow, Russia
A. L. Klyuev
Frumkin Institute of Physical Chemistry and Electrochemistry, Russian Academy of Sciences
Email: elena_pisarevska@bk.ru
Moscow, Russia
O. N. Efimov
Federal Research Center of Problems of Chemical Physics and Medicinal Chemistry, Russian Academy of Sciences
Email: elena_pisarevska@bk.ru
Chernogolovka, Russia
A. V. Shapagin
Frumkin Institute of Physical Chemistry and Electrochemistry, Russian Academy of Sciences
Email: elena_pisarevska@bk.ru
Moscow, Russia
V. N. Andreev
Frumkin Institute of Physical Chemistry and Electrochemistry, Russian Academy of Sciences
Author for correspondence.
Email: elena_pisarevska@bk.ru
Moscow, Russia
References
- Simões, F.R. and Xavier, M.G., Electrochemical Sensors, In: Nanoscience and its Applications, 2017, ISBN 978-0-323-49780-0.
- Bobacka, J., Electrochemical sensors for real-world applications, J.Solid State Electrochem., 2020, vol. 24, p. 2039. https://doi.org/10.1007/s10008-020-04700-4
- Murthy, H.C.A., Kelele, K.G., Ravikumar, C.R., Nagaswarupa, H.P., Tadesse, A., and Desalegn, T., Graphene-supported nanomaterials as electrochemical sensors: A mini review, Results in Chem., 2021, vol. 3, p. 100131. https://doi.org/10.1016/j.rechem.2021.100131
- Roy, S., Soin, N., Bajpai, R., Misra, D.S., McLaughlin, J.A., and Roy, S.S., Graphene oxide for electrochemical sensing applications, J. Mater. Chem., 2011, vol. 21, p. 14725. https://doi.org/10.1039/C1JM12028J
- Shiri, S., Pajouheshpoor, N., Khoshsafar, H., Amidi, S., and Bagheri, H., An electrochemical sensor for the simultaneous determination of rifampicin and isoniazid using a C-dots@CuFe2O4 nanocomposite modified carbon paste electrode, New J. Chem., 2017, vol. 41, p.15564. https://doi.org/10.1039/C7NJ03029K
- Tajik, S., Dourandish, Z., Nejad, F.G., Afshar, A.A., and Beitollahi, H., Voltammetric Determination of Isoniazid in the Presence of Acetaminophen Utilizing MoS2-Nanosheet-Modified Screen-Printed Electrode, Micromachines, 2022, vol. 13, p. 369. https://doi.org/10.3390/mi13030369
- Zargar, B., Ghanavatizadeh, Z., and Hatamie, A., Electrochemical Study and Sensing of Isoniazid in Pharmaceutical with Modified Carbon Paste Electrode with Nanoceria Particles as an Effective Catalytic Amplifier, Anal. Bioanal. Electrochem., 2019, vol. 11, p. 727.
- Botelho, C.N., Pavão, D.P., Damos, F.S., and Luz Rde C., Photoelectrochemical Sensor for Isoniazid: Application in Drugs Used in the Treatment of Tuberculosis, Electroanalysis, 2021, vol. 33, p. 1936. https://doi.org/10.1002/elan.202100023
- Bergamini, M.F., Santos, D.P., and Zanoni, M.V.B., Determination of isoniazid in human urine using screen-printed carbon electrode modified with poly-L-histidine, Bioelectrochemistry, 2010, vol. 77, p. 133. https://doi.org/10.1016/j.bioelechem.2009.07.010
- Si, X., Jiang, L., Wang X., et al., Determination of Isoniazid on Cysteic acid/Graphene Modified Glassy Carbon Electrode, Anal. Methods, 2015, vol. 7, p. 793. https://doi.org/10.1039/C4AY02013H
- Qian, L., Thiruppathi, A.R., Zalm, J., and Chen, A., Graphene Oxide-Based Nanomaterials for the Electrochemical Sensing of Isoniazid, ACS Appl. Nano Mater., 2021, vol. 4, p. 3696. https://doi.org/10.1021/acsanm.1c00178
- Lima, K.C.M.S., Santos, A.C.F., Fernandes, R.N., Damos, F.S., and Luz, R. de C.S., Development of a novel sensor for isoniazid based on 2,3-dichloro-5,6-dicyano-p-benzoquinone and graphene: Application in drug samples utilized in the treatment of tuberculosis, Microchem. J., 2016, vol. 128, p. 226. https://doi.org/10.1016/j.microc.2016.04.024
- Pisarevskaya, E.Yu. and Efimov, O.N., Graphene Oxide as a Basis for Molecular Design, Prot. Met. Phys.Chem. Surf., 2019, vol. 55, p. 468. https://doi.org/10.1134%2FS2070205119030213
- Pisarevskaya, E.Yu., Klyuev, A.L., Averin, A.A., Gorbunov, A.M., and Efimov, O.N., One-pot electrosynthesis and physicochemical properties of multifunctional material based on graphene oxide, poly-o-phenylenediamine, and silicotungstic acid, J. Solid. State Electrochem., 2020, vol. 25, p. 859. https://doi.org/10.1007/s10008-020-04859-w
- Pisarevskaya, E.Yu., Klyuev, A.L., and Efimov, O.N., Comparison of electrochemical behavior of composites based on graphene oxide, poly-o-phenylenediamine, and heteropolyacids, Polym. Adv. Technol., 2022, vol. 34, p.1137. https://doi.org/10.1002/pat.5587
- Pisarevskaya, E.Yu., Kolesnichenko, I.I., Averin, A.A., Gorbunov, A.M., and Efimov, O.N., A novel multifunctional composite based on reduced graphene oxide, poly-o-phenylenediamine and silicotungstic acid, Synth. Metals, 2020, vol. 270, p. 116596. https://doi.org/10.1016/j.synthmet.2020.116596
- Lv, Ye., Kong, A., Zhang, H., Yang, W., Chen, Y., Liu, M., Fu, Y., Zhang, J., and Li, W., Electrocatalytic oxidation of toluene into benzaldehyde based on molecular oxygen activation over oxygen vacancy of heteropoly acid, Appl. Surface Sci., 2022, vol. 599, p. 153916. https://doi.org/10.1016/j.apsusc.2022.153916
- Zakrzewska, B., Jakubów-Piotrowska, K., Gralec, B., et al, Multifunctional Material Composed of Cesium Salt of Keggin-Type Heteropolytungstate and PtRh/Vulcan Nanoparticles for Electrochemical Oxidation of 2-Propanol in Acidic Medium, Electrocatalysis, 2020, vol. 11, p. 454. https://doi.org/10.1007/s12678-020-00606-x
- Yu, S., Zhao, X., Su, G., et al., Synthesis and electrocatalytic performance of a P-Mo-V Keggin heteropolyacid modified Ag@Pt/MWCNTs catalyst for oxygen reduction in proton exchange membrane fuel cell, Ionics, 2019, vol. 25, p. 5141. https://doi.org/10.1007/s11581-019-03090-6
- Oliveira, P.R., Oliveira, M.M., Zarbin, A.J.G., Marcolino-Junior, L.H., and Bergamini, M.F., Flow injection amperometric determination of isoniazid using a screen-printed carbon electrode modified with silver hexacyanoferrates nanoparticles, Sensors and Actuators B: Chem., 2012, vol. 171–172, p. 795. https://doi.org/10.1016/j.snb.2012.05.073
- Couto, R.A.S., Lima, J.L.F.C., and Quinaz, M.B., Screen-printed Electrode Based Electrochemical Sensor for the Detection of Isoniazid in Pharmaceutical Formulations and Biological Fluids, Int. J. Electrochem. Sci., 2015, vol. 10, p. 8738.
- Hung, Y.F., Cheng, C., Huang, C.K., et al, Investigation of electrochemical reduction effects on graphene oxide powders for high-performance supercapacitors, Int. J. Adv. Manuf. Technol., 2021, vol. 113, p. 1203. https://doi.org/10.1007/s00170-020-06578-y
- Писаревская, Е.Ю., Клюев, А.Л., Ефимов, О.Н., Андреев, В.Н. Электрохимическое поведение нового композита на основе восстановленного оксида графена, поли-о-фенилендиамина и кремневольфрамовой кислоты. Электрохимия. 2021. Т. 57. С. 519. [ Pisarevskaya, E.Yu, Klyuev, A.L., Efimov, O.N., and Andreev, V.N., Electrochemical Behavior of Novel Composite Based on Reduced Graphene Oxide, Poly-o-Phenylenediamine, and Silicotungstic Аcid, Russ. J. Electrochem., 2021, vol. 57, p. 921. https://doi.org/10.1134/s1023193521090044]https://doi.org/10.31857/S0424857021090048
Supplementary files










