Analysis of Experimental Results of Defect Concentraions in the Surface Layer of Acceptor Doped Ceria
- Authors: Riess I.1
-
Affiliations:
- Physics Department, Technion IIT
- Issue: Vol 59, No 3 (2023)
- Pages: 119-123
- Section: Articles
- URL: https://bakhtiniada.ru/0424-8570/article/view/139240
- DOI: https://doi.org/10.31857/S0424857023030118
- EDN: https://elibrary.ru/HXGXWS
- ID: 139240
Cite item
Full Text
Abstract
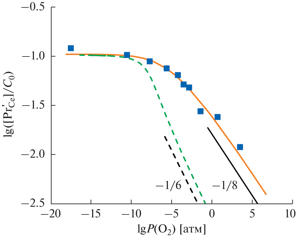
Recent experimental results of the dependence on oxygen partial pressure, P(O2), of the small polarons concentration in the monomolecular surface layer of doped ceria, are interpreted theoretically. Two different, experimental conditions are examined. First, the highly reduced surface of Sm0.2Ce0.8O1.9 – δ (SDC) is treated and the [Ce3+]s--P(O2) relations are evaluated. The experimental data are explained by a metallic surface layer, approximately neutral, i.e. with negligible transfer of charge to the bulk. The surface is metallic as the outer electrons on Ce3+ ions, which are small polarons when under low concentration, lose their localization under high concentration. Second, the surface of Pr0.1Ce0.9O2 – δ (PCO) is examined. The experimental data of [Pr3+]s--P(O2) relations are explained by a semiconducting, negatively charged, monomolecular surface layer forming a double layer with a positive bulk. In both SDC and PCO the surface defect concentration dependence on P(O2) is different from that of the bulk.
About the authors
I. Riess
Physics Department, Technion IIT
Author for correspondence.
Email: riess@technion.ac.il
Haifa, 3200003 Israel
References
- Oswald, S., Encyclopedia of Analytical Chemistry, John Wiley & Sons, 2013. March 15.
- Chueh, W.C., McDaniel, A.H., Grass, M.E., Hao, Y., Jabeen, N., Liu, Z., S. Haile, M., McCarty, K.F., Bluhm, H., and El Gabaly, F., Highly Enhanced Concentration and Stability of Reactive Ce3+ on Doped CeO2 Surface Revealed in Operando, Chem. Mater., 2012, vol. 24, p. 1876.
- Lu, Q., Vardar, G., Jansen, M., Bishop, S.R., Waluyo, I., Tuller, H.L., and Yildiz, B., Surface Defect Chemistry and Electronic Structure of Pr0.1Ce0.9O2 – δ Revealed in Operando, Chem. Mater., 2018, vol. 30, p. 2600.
- Devreese, J.T. and Peeters, F.M., Electron-phonon interaction in two-dimensional systems: polaron effects and screening, in: Phys. Two-Dimensional Electron Gas, Springer USA, 1987, p. 131–182.
- Riess, I., Analysis of point defect concentrations in highly reduced, monomolecular surface layer of doped ceria, Solid State Ionics, 2021, vol. 373, p. 115791.
- Ricken, M., Nölting, J., and Riess, I., Specific Heat and Phase Diagram of Non Stoichiometric Ceria (CeO2 – δ), J. Solid State Chem., 1984, vol. 54, p. 89.
- Stelzer, N., Nölting, J., and Riess, I., Phase Diagram of Nonstoichiometric 10 mol. % Gd2O3 Doped Cerium Oxide Determined from Specific Heat Measurements, J. Solid State Chem., 1995, vol. 117, p. 392.
- Riess, I., Analysis of the unique dependence on oxygen pressure of Pr3+ concentration in the surface of Pr doped ceria, Solid State Ionics, 2022, vol. 380, p. 115899.
- Chatzichristodoulou, C. and Hendriksen, P.V., Analysis of the unique dependence on oxygen pressure of Pr3+ concentration in the surface of Pr doped ceria, J. Electrochem. Soc., 2010, vol. 157, p. B481.
Supplementary files





