Effect of the Platinum Mass Content in a Catalyst and the State of the Support Surface on the Path of the Oxygen Reduction Reaction in Alkaline Electrolyte
- Authors: Vernigor I.E.1, Bogdanovskaya V.A.1, Radina M.V.1, Andreev V.N.1
-
Affiliations:
- Frumkin Institute of Physical Chemistry and Electrochemistry, Russian Academy of Sciences
- Issue: Vol 59, No 1 (2023)
- Pages: 16-28
- Section: Articles
- URL: https://bakhtiniada.ru/0424-8570/article/view/139222
- DOI: https://doi.org/10.31857/S0424857023010255
- EDN: https://elibrary.ru/JZHBWY
- ID: 139222
Cite item
Full Text
Abstract
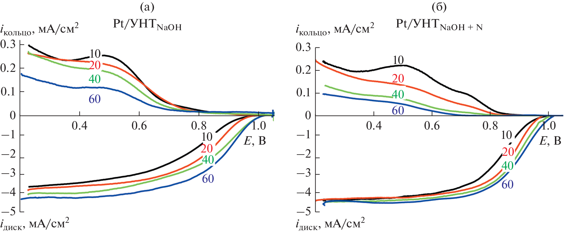
The effect of the support nature and the mass of platinum on the stability, electrochemical characteristics of monoplatinum catalysts, and the reaction path of electrochemical oxygen reduction in alkaline electrolyte is studied. Catalysts with the Pt mass content of 10, 20, 40, 60 wt % are synthesized by the polyol method on carbon nanotubes functionalized in NaOH and doped with nitrogen. The activity, the percentage of hydrogen peroxide formed, and the number of electrons participating in the oxygen reduction reaction are determined from the data obtained by the rotating ring-disk electrode method. For catalysts synthesized on the nitrogen-doped carbon nanotubes, the highest selectivity in the reaction of oxygen reduction to water is observed; the higher Pt surface area at the electrode, the greater is the selectivity, because the contribution of the support surface to the total oxygen reduction reaction decreased. Both the presence of hydrogen peroxide and a decrease in stability result from the decrease in the platinum content in the catalyst.
About the authors
I. E. Vernigor
Frumkin Institute of Physical Chemistry and Electrochemistry, Russian Academy of Sciences
Email: msnoviinna@gmail.com
Moscow, 119071 Russia
V. A. Bogdanovskaya
Frumkin Institute of Physical Chemistry and Electrochemistry, Russian Academy of Sciences
Email: bogd@elchem.ac.ru
Moscow, 119071 Russia
M. V. Radina
Frumkin Institute of Physical Chemistry and Electrochemistry, Russian Academy of Sciences
Email: bogd@elchem.ac.ru
Moscow, 119071 Russia
V. N. Andreev
Frumkin Institute of Physical Chemistry and Electrochemistry, Russian Academy of Sciences
Author for correspondence.
Email: bogd@elchem.ac.ru
Moscow, 119071 Russia
References
- Thandavarayan, S. and Viswanathan, S., Electrocatalysts for Low Temperature Fuel Cells. Fundamentals and Recent Trends, Weinheim, Germany: Wiley VCH, 2017. 616 p.
- Ramaswamy, N. and Mukerjee, S., Alkaline Anion-Exchange Membrane Fuel Cells: Challenges in Electrocatalysis and Interfacial Charge Transfer, Chem. Rev., 2019, vol. 119, p. 11945.
- Xing, W., Yin, G., and Zhang, J., Rotating Electrode Methods and Oxygen Reduction Electrocatalysts, 1st ed, Amsterdam, The Netherlands: Elsevier, 2014. p. 322.
- Shinozak, K., Zack, J.W., Richards, R.M, Pivovar, B.S., and Kocha, S.S., Oxygen Reduction Reaction Measurements on Platinum Electrocatalysts Utilizing Rotating Disk Electrode Technique: I. Impact of Impurities, Measurement Protocols and Applied Corrections, J. Electrochem. Soc., 2015, vol. 162, no.10, p. 162.
- Li, L., Hu, L., Li, J., and We, Z., Enhanced stability of Pt nanoparticles electrocatalysts for fuel cells, Nano Res., 2015, vol. 3, p. 418.
- Capelo, A., Esteves, M.A., de Sa, A.I., Silva, R.A., Cangueiro, L., Almeida, A., Vilar, R., and Rangel, C.M., Stability and durability under potential cycling of Pt/C catalyst with new surface-functionalized carbon support, Internat. J. Hydrogen Energy, 2016, vol. 41, p. 12962.
- Su, L., Jia, W.Z., Li, C.M., and Lei, Y., Mechanisms for enhanced performance of platinum-based electrocatalysts in proton exchange membrane fuel cells, ChemSusChem., 2014, vol. 7, p. 361.
- Timperman, L., Feng, Y.J., Vogel, W., and Alonso-Vant, N., Substrate effect on oxygen reduction electrocatalysis, Electrochim. Acta, 2010, vol. 55, p. 7558.
- Dubau, L., Castanheira, L., Maillard, F., Chatenet, M., Lottin, O., Maranzana, G., Dillet, J., Lamibrac, A., Perrin, J.C., and Moukheiber, E., A review of PEM fuel cell durability: Materials degradation, local heterogeneities of aging and possible mitigation strategies, WIREs: Energy Environ, 2014, vol. 3, p. 540.
- Wang, Y.-J., Fang, B., Li, H., Bi, X.T., and Wang, H., Progress in modified carbon support materials for Pt and Pt-alloy cathode catalysts in polymer electrolyte membrane fuel cells, Progress in Mater. Science, 2016, vol. 82, p. 445.
- Kang, S., Kim, H., and Chung, YH., Recent developments of nano-structured materials as the catalysts for oxygen reduction reaction, Nano Converg, 2018, vol. 5, no. 13.
- Molina-Garcíaa, M.A. and Rees, N.V., Effect of catalyst carbon supports on the oxygen reduction reaction in alkaline media: a comparative study, RSC Adv., 2016, vol. 6, p. 94669.
- Samad, S., Loh, K.S., Wong, W.Y., Lee, T.K., Sunarso, J., Chong, S.T., and Wan Dau, W.R., Carbon and non-carbon support materials for platinum-based catalysts in fuel cells, Internat. J. Hydrogen Energy, 2018, vol. 43, p. 7823.
- Ramli, Z.A.C. and Kamarudin, S.K., Platinum-Based Catalysts on Various Carbon Supports and Conducting Polymers for Direct Methanol Fuel Cell Applications: a Review, Nanoscale Res Lett, 2018, vol. 13, no. 410.
- Ortíz-Herrera, J.C., Tellez-Cruz, M.M., Solorza-Feria, O., and Medina, D.I., Effect of Different Carbon Supports on the Activity of PtNi Bimetallic Catalysts toward the Oxygen Reduction, Catalysts, 2022, vol. 12, p. 477.
- Zhang, Q., Huang, J.-Q., Qian, W.-Z., Zhang, Y.-Y., and Wei, F., The Road for Nanomaterials Industry: A Review of Carbon Nanotube Production, Post Treatment, and Bulk Applications for Composites and Energy Storage, Small, 2013, vol. 9, p. 1237.
- Paraknowitsch, J.P. and Thomas, A., Doping carbons beyond nitrogen: an overview of advanced heteroatom doped carbons with boron, sulphur and phosphorus for energy applications, Energy Environ. Sci., 2013, vol. 6, p. 2839.
- Hu, C. and Dai, L., Doping of carbon materials for metal-free electrocatalysis, Adv. Mater., 2019, vol. 31, p. 1804672.
- Singh, S.K, Takeyasu, K., and Nakamura, J., Active sites and mechanism of oxygen reduction reaction electrocatalysis on nitrogen-doped carbon materials, Adv. Mater., 2019, vol. 31, p. 1804297.
- Zhang, X., Zhang, X., Zhao, S., Wang, Y.Q., Lin, X., Tian, Z.Q., Shen, P.K., and Jiang, S.P., Precursor modulated active sites of nitrogen doped graphene-based carbon catalysts via one-step pyrolysis method for the enhanced oxygen reduction reaction, Electrochim. Acta, 2021, vol. 370, p. 137712.
- Тарасевич, М.Р., Хрущева, Е.И. Филиновский, В.Ю., Вращающийся дисковый электрод с кольцом, М.: Наука, 1987. 248 с.
- Gloaguen, F., Andolfatto, F., Durand, R., and Ozil, P., Kinetic study of electrochemical reactions at catalyst-recast ionomer interfaces from thin active layer modelling, J. Appl. Electrochem., 1994, vol. 24, p. 863.
- Paulus, U.A., Schmidt, T.J., Gasteiger, H.A., and Behm, R.J., Oxygen reduction on a high-surface area Pt/Vulcan carbon catalyst: a thin-film rotating ring-disk electrode study, J. Electroanal. Chem., 2001, vol. 495, p. 134.
- Cardoso, E.S.F., Fortunato, G.V., and Gilberto, M., Use of Rotating Ring-Disk Electrodes to Investigate Graphene Nanoribbon Loadings for the Oxygen Reduction Reaction in Alkaline Medium, ChemElectroChem., 2018, vol. 5, p. 1691.
- Мищенко, К.П., Равдель, А.А., ред. Краткий справочник физико-химических величин. Л.: Химия, 1974. С. 134. [Mishchenko, K.P. and Ravdel, A.A., eds. Kratkiy spravochnik fiziko-khimicheskikh velichin. (in Russian). Leningrad: Khimiya, 1974, p. 134.]
- Jiaa, Z., Yina, G., and Zhang, J., Rrotating ring-disk electrode method, in Rotating Electrode Methods and Oxygen Reduction Electrocatalysts. Xing, W., Yin, G., and Zhang, J., Eds, Amsterdam: Elsevier Science Ltd., 2014, p. 199.
- Богдановская, В.А., Кузов, А.В., Радина, М.В., Филимонов, В.Я., Сударев, Г.М., Осина, М.А. Устойчивость к деградации и активность катализаторов с различным содержанием платины, синтезированных на углеродных нанотрубках. Электрохимия. 2020. Т. 56. С. 1083. [Bogdanovskaya, V.A., Kuzov, A.V., Radina, M.V., Filimonov, V.Ya, Sudarev, G.M., and Osina, M.A., Stability against Degradation and Activity of Catalysts with Different Platinum Load Synthesized at Carbon Nanotubes, Russ. J. Electrochem., 2020, vol. 56, p. 969.]
- Volfkovich, Y.M., Sakars, A.V., and Volinsky, A.A., Application of the standard porosimetry method for nanomaterials, Internat. J. Nanotechnol., 2005, vol. 2, p. 292.
- Bogdanovskaya, V.A, Vernigor, I.E., Radina, M.V., Sobolev, V.D., Andreev, V.N., and Nikolskaya, N.F., Modified Carbon Nanotubes: Surface Properties and Activity in Oxygen Reduction Reaction, Catalysts, 2021, vol. 11, p. 1354.
- Bogdanovskaya, V.A, Vernigor, I.E., Radina, M.V., Andreev, V.N., Korchagin, O.V., and Novikov, V.T., Carbon Nanotube Modified by (O, N, P) Atoms as Effective Catalysts for Electroreduction of Oxygen in Alkaline Media, Catalysts, 2020, vol. 10, p. 892.
- Богдановская, В.А., Вернигор, И.Е., Радина, М.В., Панченко, Н.В., Андреев, В.Н. Реакция электровосстановления кислорода на модифицированных углеродных нанотрубках в щелочном электролите. Электрохимия. 2022. Т. 58. С. 523. [Bogda-novskaya, V.A., Vernigor, I.E., Radina, M.V., Panchenko, N.V., and Andreev, V.N., Oxygen electroreduction reaction on modified carbon nanotubes in an alkaline electrolyte, Russ. J. Electrochem., 2022, vol. 58, p. 755.]
- Perazzolo, V., Brandiele, R., Durante, C., Zerbetto, M., Causin, V., Rizzi, G.A., Cerri, I., Granozzi, G., and Gennaro, A., Density Functional Theory (DFT) and experimental evidences of metalesupport interaction in platinum nanoparticles supported on nitrogen- and sulfur-doped mesoporous carbons: synthesis, activity, and stability, ACS Catal, 2018, vol. 8, p. 1122.
- Hansen, T.W., DeLaRiva, A.T., Challa, S.R., and Datye, A.K., Sintering of catalytic nanoparticles: Particle migration or Ostwald ripening? Acc. Chem. Res., 2013, vol. 46, p. 1720.
- Кнастер, М.Б., Апельбаум, Л.А. Растворимость водорода и кислорода в концентрированных растворах едкого кали. Журн. физ. химии. 1964. № 8. С. 223. [Knaster, M.B. and Apelbaum, L.A., Solubility of hydrogen and oxygen in concentrated solutions of caustic potash, J. Phys. Chem. (in Russian), 1964, no. 8, p. 223.]
Supplementary files










