Разработка и исследование вируснейтрализующей активности рекомбинантного человеческого антитела к F-гликопротеину респираторно-синцитиального вируса
- Авторы: Клотченко С.А.1, Романовская-Романько Е.А.1, Плотникова М.А.1, Пулькина А.А.1, Шалджян А.А.1, Балабашин Д.С.2, Топорова В.А.1,2, Алиев Т.К.2,3, Гюлиханданова Н.Е.1, Лиознов Д.А.1,4
-
Учреждения:
- Научно-исследовательский институт гриппа им. А.А. Смородинцева Минздрава России
- Институт биоорганической химии имени М.М. Шемякина и Ю.А. Овчинникова РАН
- Московский государственный университет имени М.В. Ломоносова
- Первый Санкт-Петербургский государственный медицинский университет имени академика И.П. Павлова
- Выпуск: Том 101, № 6 (2024)
- Страницы: 735-747
- Раздел: ОРИГИНАЛЬНЫЕ ИССЛЕДОВАНИЯ
- URL: https://bakhtiniada.ru/0372-9311/article/view/279248
- DOI: https://doi.org/10.36233/0372-9311-611
- EDN: https://elibrary.ru/zkqvtw
- ID: 279248
Цитировать
Аннотация
Введение. Респираторно-синцитиальный вирус (РСВ) является ведущим в структуре возбудителей инфекций нижних дыхательных путей у детей, а также представляет серьёзную угрозу для пожилых людей и пациентов с ослабленным иммунитетом. Разработка терапевтического препарата на основе рекомбинантных человеческих антител, направленных на блокирование F-гликопротеина РСВ, является актуальной задачей, поскольку позволит снизить заболеваемость РСВ-инфекцией и предотвратит развитие осложнений данной инфекции.
Цель исследования — конструирование плазмидных векторов для накопления высокоактивного рекомбинантного моноклонального антитела FM1 в эукариотической системе экспрессии, направленного против F-гликопротеина РСВ, и оценка специфической активности полученного антитела в отношении различных штаммов РСВ подтипов А и В in vitro.
Материалы и методы. Получение экспрессионных конструкций, кодирующих рекомбинантное антитело FM1, выполняли методами генной инженерии. Накопление антитела проводили в клеточной линии CHO-K1 путём транзиентной экспрессии. Препарат антитела очищали из культуральной жидкости методом аффинной хроматографии с использованием в качестве лиганда модифицированного белка А. Оценку вируснейтрализующей активности антитела оценивали в реакции микронейтрализации с несколькими штаммами РСВ на монослойной культуре клеток Vero.
Результаты. Создана двухплазмидная векторная система для экспрессии рекомбинантного антитела FM1 к F-гликопротеину РСВ, получен временный CHO-продуцент этого антитела. Антитело накоплено, очищено и охарактеризовано; доказана его биологическая активность. Продемонстрировано, что антитело обладает повышенной вируснейтрализующей активностью в отношении эталонных и сезонных штаммов РСВ подтипов А и В по сравнению с контрольным препаратом паливизумабом.
Заключение. Препарат на основе полученного рекомбинантного антитела FM1 позволит решить проблему импортозамещения средств защиты против РСВ-инфекции. В настоящее время коллектив авторов ведёт работу над получением стабильного клона-продуцента FM1 с высокой продуктивностью и жизнеспособностью, а также исследует терапевтическую эффективность этого антитела на модели сублетальной РСВ-инфекции у мышей.
Полный текст
Введение
Респираторно-синцитиальный вирус (РСВ) является ведущим в структуре возбудителей инфекций нижних дыхательных путей у детей, а также представляет серьёзную угрозу для пожилых людей и пациентов с ослабленным иммунитетом [1, 2].
До 70% детей впервые переносят РСВ-инфекцию (РСВИ) в возрасте до 1 года, и практически каждый ребёнок инфицируется в течение первых 3 лет жизни. Частота верификации РСВИ у детей в возрасте до 3 лет, госпитализированных в связи с инфекцией нижних дыхательных путей, достигает 42–63% в развитых странах [3, 4]. Наиболее часто регистрируют бронхиолит (50–90%), несколько реже — пневмонию (5–40%) и трахеобронхит (10–30%), летальность составляет в среднем 1% [5–7]. Согласно результатам метаанализа заболеваемости, в 132 развитых странах на РСВИ приходится более 3 млн случаев госпитализации в год и около 60 тыс. летальных исходов среди детей в возрасте до 5 лет [8, 9].
По данным диагностики методом полимеразной цепной реакции, проведённой в НИИ гриппа им. А.А. Смородинцева, в сезон 2023–2024 гг. в пиковый период подъёма заболеваемости острыми респираторными вирусными инфекциями доля РСВ среди возбудителей респираторных заболеваний составила 26% без учёта SARS-CoV-2 и вирусов гриппа и 16% с учётом вирусов гриппа, что однозначно указывает на значительную роль РСВИ в структуре респираторных инфекций, прежде всего у детей в возрасте до 2 лет. Согласно данным НИИ гриппа им. А.А. Смородинцева, доля РСВИ среди госпитализированных пациентов составляет 13–19% [10]. Учитывая, что ежегодно в России регистрируется около 30 млн заболевших респираторными инфекциями, на долю РСВИ из них приходится не менее 3,9 млн случаев.
По оценкам T. Shi и соавт., 45% случаев госпитализаций и внутрибольничных смертей детей младше 6 мес обусловлены острой дыхательной недостаточностью, развивающейся вследствие РСВИ [9]. Поскольку в этом возрасте вакцины имеют меньшую иммуногенность, то для формирования пассивного иммунитета у младенцев могут быть использованы иммунизация матерей или введение моноклональных антител (МКА) с целью обеспечения лучшей защиты ребёнка.
Считается, что антитела играют ключевую роль в ограничении острой инфекции нижних дыхательных путей при РСВИ. Недавние исследования подчёркивают, что для формирования полноценного иммунного ответа, защищающего от реинфекции, необходима индукция иммунитета слизистой оболочки [11]. До недавнего времени единственным средством предотвращения РСВИ было гуманизированное МКА паливизумаб [12], которое применялось только в группах риска и требовало неоднократного инъекционного введения. В настоящее время разработан и одобрен в ЕС и США новый препарат — нирсевимаб, обладающий большей стабильностью, что обеспечивает возможность его однократного введения [13–15]. В России для клинического применения зарегистрирован лишь паливизумаб. Разработка препарата для профилактики и терапии РСВИ на основе рекомбинантных человеческих нейтрализующих антител, взаимодействующих с поверхностным F-гликопротеином РСВ, позволит существенно снизить заболеваемость РСВИ детей младшего возраста, снизит инвалидизацию и смертность, вызываемую этим патогеном, и предотвратит развитие осложнений данной инфекции. Также остро стоит потребность в средствах профилактики и терапии РСВИ у лиц старшего возраста и иммунокомпрометированных больных.
Целью настоящего исследования было конструирование плазмидных векторов для накопления высокоактивного рекомбинантного МКА (рМКА) FM1 в эукариотической системе экспрессии, направленного против F-гликопротеина РСВ, и оценка специфической активности полученного антитела в отношении различных штаммов РСВ подтипов А и В in vitro.
Материалы и методы
Конструирование плазмидных векторов
Нуклеотидные вставки, кодирующие тяжёлую и лёгкую цепи рМКА FM1 (включая константные участки), собирали на основе опубликованных последовательностей антитела MEDI8897 [16] и синтезировали в компании «Евроген». Клонирование осуществляли в вектор pVAX1 с использованием сайтов рестрикции для эндонуклеаз Nhe I и Xho I. Скрининг колоний проводили методом полимеразной цепной реакции, наличие целевых вставок подтверждали методом секвенирования по Сэнгеру в компании «Евроген», после чего созданные плазмидные конструкции pVAX1-FM1-HC и pVAX1-FM1-LC накапливали, очищали с использованием набора «Plasmid Miniprep 2.0» («Евроген») и использовали для трансфекции эукариотических клеток.
Электрофорез ДНК в агарозном геле
Препараты плазмидной ДНК и ампликоны анализировали в 0,8% агарозном геле, приготовленном на 1× TAE-буфере с содержанием бромистого этидия до 0,5 мкг/мл, с использованием 6× буфера для нанесения ДНК. Результаты электрофоретического разделения визуализировали с использованием «Gel Doc EZ Imager» («Bio-Rad»).
Клетки и вирусы
В экспериментах использовали перевиваемые культуры клеток: CHO-K1 (клетки яичника китайского хомячка, ATCC #CCL-61) и Vero (клетки почки зелёной африканской мартышки, ATCC #CCL-81), полученные из банка клеточных культур ATCC (Американская типовая коллекция клеточных культур). Клетки CHO-K1 культивировали на среде F12K («Gibco») с добавлением 10% эмбриональной бычьей сыворотки (FBS, «Gibco»), клетки Vero — на среде α-МЕМ («Биолот») с добавлением 5% FBS («Gibco»). Все эксперименты (за исключением этапов селекции продуцентов CHO-K1) проводили без добавления антибиотиков. В работе использовали суточные культуры. Все клеточные культуры поддерживали при температуре 37,0 ± 0,5ºC, в атмосфере 5% CO2, в условиях повышенной влажности (80–100%).
В работе использовали РСВ двух эталонных штаммов: А2 (подтип А), инфекционный титр 7,7 lgТИД50/мл и 9320 (подтип В), инфекционный титр 6,8 lgТИД50/мл; а также 2 сезонных изолята РСВ: hRSV/A/Russia/RII-26062v/2022 (подтип А), инфекционный титр 6,8 lgТИД50/мл и hRSV/B/Russia/RII-4759/2022 (подтип В), инфекционный титр 6,3 lgТИД50/мл (Коллекция НИИ гриппа им. А.А. Смородинцева).
В качестве препарата сравнения использовали коммерческий препарат «Синагис» («AstraZeneca»; раствор для внутримышечного введения, 100 мг/мл, серия 406039, произведён 08.2023, годен до 07.2026), который представляет собой гуманизированное МКА паливизумаб, направленное против F-гликопротеина РСВ [17].
Иммуноферментный анализ
Иммуноферментный анализ (ИФА) в сэндвич-формате проводили с использованием 96-луночных планшетов «Microlon High Binding» («Greiner Bio-One»), термошейкера для планшетов «PST-60HL-4» («BioSan»), коммерческих МКА, контрольного препарата паливизумаба, а также рекомбинантных антител и очищенных вирусов, полученных в НИИ гриппа им. А.А. Смородинцева. Захватывающие антитела против Fc-фрагментов тяжёлых цепей иммуноглобулинов человека (#ab77118, «Abcam») сорбировали в концентрации 1 мкг/мл в объёме 100 мкл на лунку при 4ºС в течение ночи. Блокировку проводили раствором 5% обезжиренного молока («Blotting-Grade Blocker», #1706404, «Bio-Rad») на фосфатно-солевом буфере с Tвином-20 до 0,05% (PBST) при 37ºC в течение 1 ч. Инкубацию с анализируемыми пробами проводили при 37ºС в течение 2 ч, после чего вносили выявляющие антитела против лёгких каппа-цепей иммуноглобулинов человека (#4G7cc, «Hytest»), конъюгированные с пероксидазой хрена, в рекомендуемой производителем концентрации и инкубировали при 37ºС в течение 1 ч. После стандартной детекции с использованием субстратной смеси тетраметилбензидина («Хема») и однонормальной серной кислоты измеряли оптическую плотность (ОП) на длинах волн 450 нм (ОП450) и 655 нм (ОП655) на микропланшетном спектрофотометре «Multiskan SkyHigh» («Thermo Fisher Scientific»). В качестве порогового значения брали среднее значение показателей ОП450–655 по всем отрицательным контролям плюс 3 стандартных отклонения.
Хроматографическая очистка рекомбинантных антител
Хроматографическую очистку рекомбинантных антител проводили методом аффинной хроматографии при помощи хроматографической системы «AKTA pure» на колонке «MabPurix P45» («Sepax») объёмом 5 мл. Колонку промывали 10 CV (column volume) стартового буфера (1× PBS) на скорости потока 5 мл/мин. Культуральную жидкость (50 мл), предварительно профильтрованную через шприцевой фильтр «Sartorius» (размер пор 0,45 мкм, материал мембраны полиэфирсульфон), вносили в хроматограф через насос для ввода образцов на скорости потока 2,5 мл/мин. Далее колонку промывали 10 CV стартового буфера на скорости потока 5 мл/мин. Антитела элюировали 100% элюирующим буфером (20 мМ глицин, pH 3,0) в объёме 15 CV на скорости потока 5 мл/мин. Мониторинг осуществляли по ОП280. На этапе элюции при помощи автоматического коллектора отбирали пик с ОП выше 0,05 AU. К собранному материалу добавляли 1 М раствор Tрис-HCl pH 8,8 (20 мкл/мл) и 4 М раствор NaCl (40 мкл/мл). Для увеличения стерильности и предупреждения деградации и контаминации полученный препарат фильтровали при помощи шприцевого фильтра «Sartorius» (размер пор 0,45 мкм, материал мембраны полиэфирсульфон) и использовали для дальнейших исследований.
Электрофорез белков в полиакриламидном геле
Электрофорез в полиакриламидном геле (ПААГ) проводили по методу Лэммли [18] в восстанавливающих (в присутствии β-меркаптоэтанола) и невосстанавливающих условиях. Использовали 15-луночный градиентный гель Any kD (#4568126, «Bio-Rad»). Перед нанесением образца в лунки ПААГ его смешивали с 4-кратным буфером Лэммли, после чего проводили денатурацию белка при 95ºC в твёрдотельном термостате «Гном» («ДНК-Технология») в течение 10 мин (восстанавливающие условия). В каждую лунку вносили по 2,5 мкг образца белка. Концентрацию белков оценивали на спектрофотометре «NanoDrop ND-1000» («Thermo Fisher Scientific»), для антител использовали режим IgG, при котором значение E 1% = 13,70. Электрофоретическое разделение белков проводили при постоянной силе тока (25 мА на гель) в течение 45 мин в вертикальной электрофоретической ячейке «Mini-PROTEAN Tetra» («Bio-Rad»). Гель окрашивали коллоидным раствором Кумасси [19]. Изображение окрашенного геля получали на гель-документирующей станции «Gel Doc EZ Imager» («Bio-Rad»).
Реакция микронейтрализации и определение полумаксимальной ингибирующей дозы
Оценку вируснейтрализующей активности рекомбинантных антител выполняли на монослойной культуре клеток Vero с использованием метода, описанного ранее [20]. Серии трёхкратных разведений препаратов рекомбинантных антител (3 независимых повтора) смешивали с эквивалентным объёмом ростовой среды, содержащей 100 ТИД50 РСВ, и после 1 ч инкубации при комнатной температуре полученные разведения переносили в планшеты с суточным монослоем клеток Vero. Планшеты инкубировали в течение 4 сут в CO2-инкубаторе при 37,0 ± 0,5ºС в условиях повышенной влажности (80–100%). Ингибирование репликации РСВ в присутствии различных концентраций рМКА определяли на 4-е сутки после заражения методом клеточного ИФА с использованием в качестве первичных антител мышиных МКА 4F2, специфичных к F-гликопротеину РСВ подтипа А и В (НИИ гриппа им. А.А. Смородинцева), и вторичного конъюгата Goat Anti-Mouse IgG (H+L), меченного пероксидазой хрена («Bio-Rad»). После проявления конъюгата ОП измеряли с помощью микропланшетного спектрофотометра «Multiskan SkyHigh» («Thermo Fisher Scientific») и вычисляли как разницу ОП450–620. Полученные значения ОП были трансформированы в процент ингибирования развития цитопатического действия вируса при определённой концентрации рекомбинантных антител. Полумаксимальную ингибирующую концентрацию (IC50) рассчитывали по результатам построения четырёхпараметрической кривой «доза–эффект» с использованием программного обеспечения «GraphPad Prism 9.5.1» на основании 3 независимых повторов.
Первичные данные и статистическая обработка
Статистический анализ первичных данных проводили в программных пакетах «Microsoft Office Exсel 2010» и «GraphPad Prism 9.5.1». Для представления данных использовали следующие статистические показатели: стандартное отклонение, среднее арифметическое, стандартную ошибку среднего. Для проверки гипотезы о нормальности полученного распределения значений использовали тест Шапиро–Уилка, для определения значимости различий между групповыми средними — t-критерий Стьюдента. Априорный уровень значимости принимали равным α = 0,05. Различия считали достоверными при достигнутом уровне значимости р < α [21].
Результаты
Дизайн и получение экспрессионных конструкций, кодирующих рекомбинантное антитело FM1
За основу для дизайна человеческого рМКА длительного действия FM1, предназначенного для профилактики заболеваний нижних дыхательных путей, вызванных РСВИ, были выбраны последовательности антитела MEDI8897 [16].
Разрабатываемое антитело представляет собой рекомбинантный человеческий иммуноглобулин класса IgG1κ. MEDI8897 имеет следующие последовательности гипервариабельных участков: в лёгкой цепи — L1 QASQDIVNYLN, L2 VASNLET и L3 QQYDNLPLT; в тяжёлой цепи — H1 DYIIN, H2 GIIPVLGTVHYGPKFQG и H3 VSETYLPHYFDN [16]. Константная область лёгкой цепи MEDI8897 относится к κ-изотипу человека (кодируется κ-локусом 2p11.2 на 2-й хромосоме) и полностью идентична канонической последовательности P01834, представленной в открытой базе данных последовательностей белков «UniProt» [22]. Константная последовательность тяжёлой цепи MEDI8897 относится к классу иммуноглобулинов G1 (sIgG1, секретируемая форма) и имеет несколько отличий от последовательности P01857, представленной в «UniProt». В частности, кроме намеренно введённых в MEDI8897 3 аминокислотных замен в СН2-домене константной области (M257Y/S259T/T261E, [YTE]), обеспечивающих пролонгированную циркуляцию антитела в крови [16], в константных областях MEDI8897 нами также были выявлены 2 замены: K97R (VAR_003886) и D239E (VAR_003887), являющиеся вариативными природными заменами в аллелях [22]. Таким образом, несмотря на наличие вариаций, для клонирования были выбраны аминокислотные последовательности антитела, полностью соответствующие последовательностям тяжёлой и лёгкой цепей у MEDI8897 [16].
Для продукции рМКА FM1 была выбрана 2-плазмидная система экспрессии, которая подразумевает наличие 2 векторных конструкций, одна из которых кодирует тяжёлую, а вторая — лёгкую полноразмерные цепи антитела, т.е. цепи в конструкциях содержат как вариабельные, так и константные области антитела, а также сигнальные пептиды.
Для клонирования был выбран вектор pVAX1, содержащий CMV-промотор, T7-промотор на 5′-конце вставки и сайт полиаденилирования (из бычьего гормона роста), селективными антибиотиками для вектора являлись: в бактериальной системе — ампициллин, в эукариотической — неомицин (канамицин).
Методами генетической инженерии на базе вектора pVAX1 были собраны конструкции pVAX1-FM1-HC (общей длиной 4349 п. н.) и pVAX1-FM1-LC (3632 п. н.), способные к экспрессии и продукции рМКА FM1 в эукариотических клетках в формате полноразмерного гетеротетрамера IgG1κ. Схематические изображения полученных конструкций представлены на рис. 1. Обе последовательности, тяжёлая цепь (общая длина 1428 п. н., размер вариабельной части 378 п. н.) и лёгкая цепь (общая длина 711 п. н., размер вариабельной части 321 п. н.), содержат последовательность Козак, N-концевые лидерные пептиды, обеспечивающие секрецию полноразмерного антитела, и фланкированы сайтами рестрикции Nhe I (на 5′-конце) и Xho I (на 3′-конце).
Рис. 1. Дизайн и получение экспрессионных конструкций, кодирующих рМКА FM1 в формате полноразмерного гетеротетрамера IgG1κ.
FM1-HC — тяжёлая цепь; FM1-LC — лёгкая цепь; SP — сигнальные пептиды; VH-FM1 — вариабельный домен тяжёлой цепи; CH1, CH2 и CH3 — константные домены тяжёлой цепи; hinge — шарнирный участок; VL-FM1 — вариабельный домен лёгкой цепи; CL-kappa — константный домен лёгкой κ-цепи.
Fig. 1. Design and production of expression constructs encoding the recombinant antibody FM1 in the format of a full-size IgG1κ heterotetramer.
FM1-HC — heavy chain, FM1-LC — light chain, SP — signaling peptides, VH-FM1 — variable domain of heavy chain, CH1, CH2 and CH3 — constant domains of heavy chain, hinge — hinge section, VL-FM1 — variable domain of light chain, CL-kappa — constant domain of the light κ-chain.
Разработанные плазмидные конструкции способны к конститутивной экспрессии в эукариотических клетках (за счёт наличия в них промотора CMV) зрелых полиаденилированных мРНК, кодирующих тяжёлую и лёгкую цепи рМКА FM1.
Получение стабильных эукариотических пулов-продуцентов рекомбинантного антитела FM1 путём временной трансфекции
Продукцию рМКА FM1 проводили путём временной трансфекции 2-плазмидной системой эукариотической клеточной линии CHO-K1, обеспечивающей правильную конформацию и корректное гликозилирование формируемого антитела. Для накопления рМКА FM1 был выбран вариант моноселекции, при котором трансфекцию клеток CHO-K1 осуществляли плазмидными конструкциями на базе одного вектора pVAX1. Для этого использовали полученные конструкции pVAX1-FM1-HC и pVAX1-FM1-LC и коммерческий реагент Lipofectamine 3000 («Thermo Fisher Scientific»). В качестве селективного агента для клеток-продуцентов, полученных с использованием линии СНО-K1, использовали антибиотик генетицин (аналог неомицина) в диапазоне концентраций 100–400 мкг/мл (для селекции клонов, несущих ген устойчивости NeoR/KanR).
Для повышения вероятности получения большего количества продуцирующих антитела клонов перед каждым клонированием проводили адаптацию пула трансфицированных клеток к селективным условиям. Процесс адаптации заключался в пассировании клеток на селективной среде каждые 3–4 сут. В это время клетки, лишённые генетической конструкции, в том числе гена селективного маркера, погибали. Через несколько пассажей жизнеспособность клеток в пуле восстанавливалась за счёт увеличения скорости роста клеток, адаптированных к селективной среде.
Согласно результатам сэндвич-ИФА (с использованием нижних антител против Fc-фрагмента тяжёлых цепей и верхних антител против лёгких κ-цепей иммуноглобулинов человека, позволяющих выявлять только полноразмерные гетеротетрамеры IgG1κ), трансфицированные клетки CHO-K1 были способны к стабильной продукции антитела FM1. Оценку динамики накопления рМКА проводили в течение первых 6 сут, далее клетки формировали 100% монослой, продукция клетками целевого продукта достигала постоянного уровня и прямо коррелировала с количеством клеток. Концентрация рМКА FM1 в супернатантах, полученных от клеток CHO-K1 при транзиентной экспрессии, была измерена методом сэндвич-ИФА и составила 10 мкг/мл. Через 15 дней культивирования удалось получить популяции, способные к стабильному размножению в условиях селекции и производящие рМКА FM1. Далее полученные временные CHO-продуценты были использованы для накопления препаративного количества рМКА FM1 и его последующей хроматографической очистки.
Накопление, очистка, анализ целостности и оценка специфической активности рекомбинантного антитела FM1
Очистку рМКА FM1 из культуральной жидкости проводили методом аффинной хроматографии с использованием в качестве лиганда модифицированного белка A (MabPurix P45, «Sepax»). Супернатант от клеток CHO-K1 собирали в течение 1 мес через каждые 5 сут. Очистка была проведена примерно из 300 мл клеточного супернатанта, что позволило получить 2,8 мг препарата рМКА FM1 для исследования его специфической и вируснейтрализующей активности.
Хроматограмма очистки исходного препарата методом аффинной хроматографии представлена на рис. 2, а. Концентрация очищенного препарата FM1 составила около 0,7 мг/мл. Анализ целостности препарата был проведён методом электрофореза в ПААГ по методу Лэммли [18] (рис. 2, б).
Рис. 2. Очистка и анализ препарата рМКА FM1.
а — хроматограмма очищенного препарата FM1 (в рамке — пик элюции, увеличенное изображение). 1 — поглощение на длине волны 280 нм; 2 — проводимость (мСм/см); 3 — элюция (% элюирующего буфера).
б — результаты электрофореза в ПААГ очищенного препарата FM1 в сравнении с контрольным препаратом паливизумабом (Pal). Препараты нанесены в невосстанавливающих (дорожки 1 и 2) и восстанавливающих условиях (дорожки 3 и 4; βME — β-меркаптоэтанол). М — маркер молекулярных масс «Precision Plus Protein Kaleidoscope» («Bio-Rad»). На дорожках 3 и 4 видны зоны, соответствующие электрофоретической подвижности тяжёлой (НС) и лёгкой (LC) цепей рМКА. Гель окрашен коллоидным раствором Кумасси и документирован при помощи системы «Gel Doc EZ Imager» («Bio-Rad»).
Fig. 2. Purification and analysis of the recombinant antibody FM1 specimen.
а — сhromatogram of the purified FM1 preparation (the peak of elution is framed, enlarged image). 1 — absorption at a wavelength of 280 nm (MAU); 2 — conductivity (mSm/cm); 3 — elution (% of the elution buffer).
b — the results of the electrophoresis in PAAG of the purified FM1 drug compared with the control drug palivizumab (Pal). The preparations were applied in non-reduced (tracks 1 and 2) and reduced conditions (tracks 3 and 4; βME — β-mercaptoethanol). M — molecular weight marker (Bio-Rad). On tracks 3 and 4 there are visible zones corresponding to electrophoretic mobility of recombinant antibody heavy (HC) and light (LC) chains. The gel was colored by Coomassie colloidal solution and processing using the Gel Doc EZ Imager (Bio-Rad).
рМКА состоят из 4 полипептидных цепей: 2 тяжёлых и 2 лёгких, соединённых в гетеротетрамер дисульфидными связями. На электрофореграмме в невосстанавливающих условиях антитело имеет молекулярный вес около 150 кДа, в восстанавливающих условиях на дорожках видны мажорные фрагменты молекулярной массой 50–60 и 25–30 кДа, которые соответствуют тяжёлой и лёгкой цепям рМКА. Показано, что очищенный препарат FM1 содержит главным образом рекомбинантные иммуноглобулины без видимых примесей.
Для оценки специфической активности препарата FM1, а именно способности связывать целевые антигены, был проведён ИФА в 2 вариантах: при сорбции инактивированного формалином очищенного РСВ на подложку, а также ИФА in-cell — при заражении клеток Vero штаммами РСВ А2 и РСВ В 9320 в разных дозах. Результаты ИФА показали, что полученный препарат FM1 специфически связывает очищенный РСВ в концентрациях, сравнимых с контрольным препаратом паливизумабом (данные не представлены).
Оценка вируснейтрализующей активности рекомбинантного антитела FM1
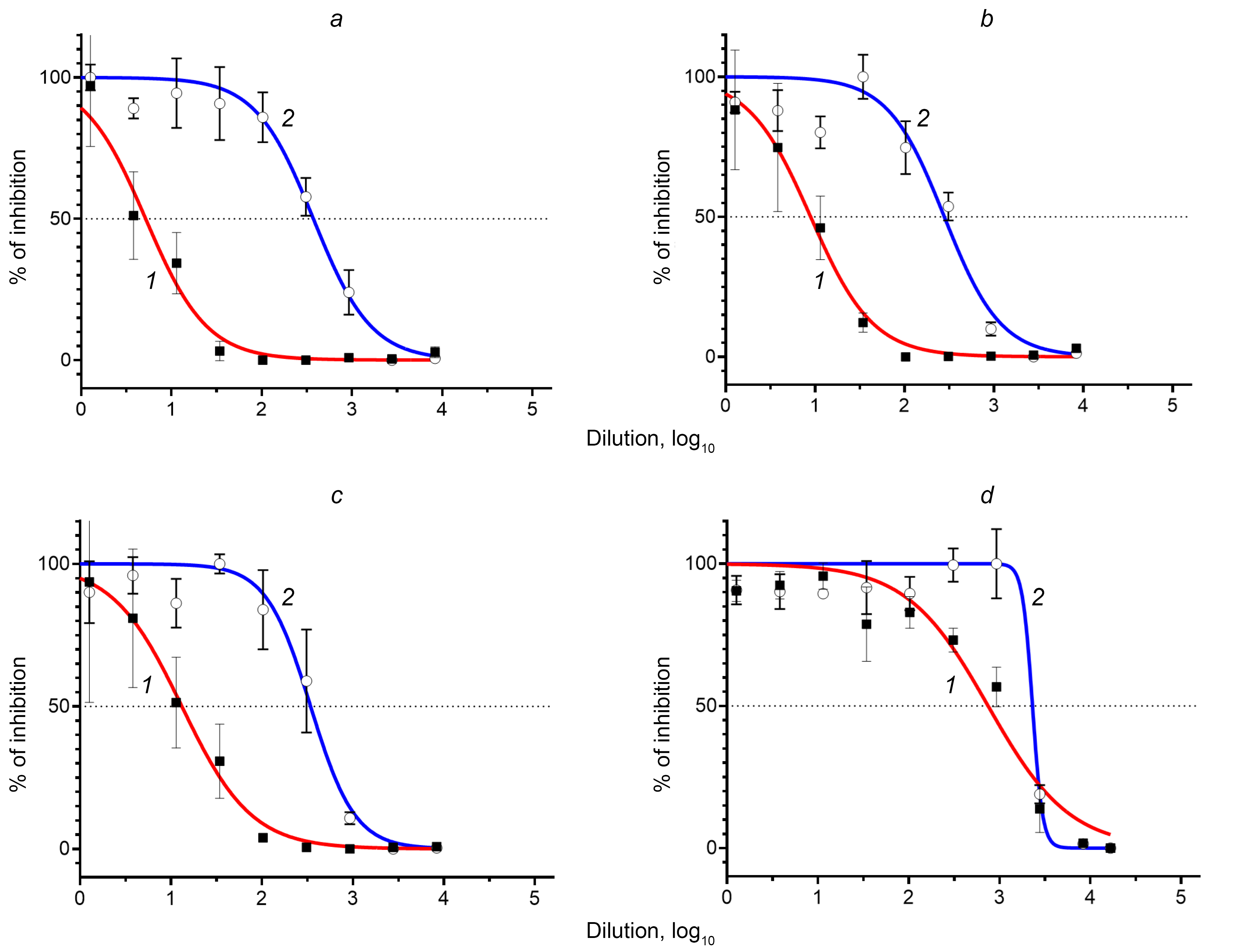
Для исследования биологической активности полученного препарата FM1 была проведена оценка его способности нейтрализовать инфекционный РСВ различных подтипов in vitro. Реакция микронейтрализации была выполнена на культуре клеток Vero в отношении эталонных штаммов РСВ А2 и РСВ В 9320, а также сезонных штаммов РСВ, изолированных в Санкт-Петербурге: hRSV/A/Russia/RII-26062v/2022 (РСВ А) и hRSV/B/Russia/RII-4759/2022 (РСВ В). Детекцию степени ингибирования цитопатического действия штаммов РСВ оценивали методом ИФА с последующей трансформацией значений ОП450–655 в процент нейтрализации при определённой концентрации рекомбинантных антител. По результатам построения кривой «доза–эффект» на основании 3 независимых повторов была рассчитана 50% ингибирующая концентрация (IC50) в отношении каждого протестированного штамма (рис. 3). В качестве препарата сравнения использовали паливизумаб.
Рис. 3. Нейтрализующая активность препарата FM1 (1) и паливизумаба (2) в отношении штаммов РСВ А2 (а), сезонного РСВ А (б), РСВ В 9320 (в) и сезонного РСВ В (г).
Определение титра нейтрализующих антител было выполнено в 3 независимых повторах, для каждой точки на графике представлено среднее значение нормализованного процента ингибирования ± стандартное отклонение.
Fig. 3. Neutralizing activity of the FM1 drug (1) and the control drug palivizumab (2) against RSV strains A2 (а), seasonal RSV A (b), RSV B 9320 (c) and seasonal RSV B (d).
The titer of neutralizing antibodies was determined in 3 independent repeats, for each point the graph shows the mean value of the normalized percentage of inhibition ± standard deviation.
Препарат FM1 проявлял нейтрализующую активность в отношении эталонных и сезонных штаммов как РСВ А, так и РСВ В. Показатели IC50 для препарата FM1 были достоверно более низкими по сравнению с показателями IC50 для контрольного препарата (t-критерий Стьюдента, p < 0,05; таблица).
Сравнительный анализ нейтрализующей активности препарата FM1 и паливизумаба в отношении РСВ подтипов А и В
Comparative analysis of the neutralizing activity of the drug FM1 and the control drug palivizumab against A and B RSV subtypes
Штамм РСВ RSV strain | Среднее значение IC50, нг/мл (95% доверительный интервал) Mean of IC50, ng/mL (95% confidence interval) | |
FM1 | паливизумаб | palivizumab | |
РСВ А2 | RSV A2 | 5,186* (3,858–6,986) | 374,2 (256,1–538,5) |
РСВ А сезонный | RSV A seasonal | 8,896* (6,196–12,55) | 278,4 (190,7–395,9) |
РСВ В 9320 | RSV B 9320 | 13,18* (8,491–20,42) | 342,7 (250,3–460,3) |
РСВ В сезонный | RSV B seasonal | 748,2* (530,1–1030) | 2306 (—) |
Примечание. Нормальность распределения значений IC50 была подтверждена с использованием теста Шапиро–Уилка (p > 0,05). *Отмечена достоверность выявленных различий (с уровнем значимости p < 0,01) по сравнению с паливизумабом, рассчитанная с использованием t-критерия Стьюдента.
Note. The distribution of the obtained IC50 values did not differ significantly from normal (Shapiro–Wilk test, p > 0.05). *p < 0.01 between group means compared with palivizumab, Student's t-test.
Обсуждение
РСВ является ведущим возбудителем тяжёлой пневмонии у детей, требующей госпитализации, а также представляет серьёзную угрозу для пожилых людей и пациентов с ослабленным иммунитетом. В настоящее время не зарегистрированы противовирусные препараты для этиотропной терапии РСВИ. В России для профилактики РСВИ у детей одобрен препарат на основе МКА — паливизумаб, применение которого имеет ряд клинических и экономических ограничений.
В 2023 г. впервые за последние 20 лет в мире были одобрены сразу 3 иммунобиологических препарата для профилактики РСВИ: вакцина для людей старше 60 лет, вакцина для беременных и препарат на основе человеческих рМКА нирсевимаб. Нирсевимаб имеет расширенные показания к применению и рекомендуется всем новорождённым в первый сезон циркуляции РСВ и детям до 2 лет из групп высокого риска в течение 2-го сезона [23, 24].
Основной антигенной мишенью при разработке профилактических и терапевтических средств против РСВИ является поверхностный F-гликопротеин РСВ, стабилизированный в конформации «до слияния» (префузионной конформации), поскольку антитела к такому антигену обладают высокой вируснейтрализующей активностью [25]. Последовательность данного гликопротеина высококонсервативна среди различных подтипов и генотипов РСВ. При этом снижение активности белка F РСВ препятствует слиянию вируса с клеткой, нарушает механизм его проникновения и защищает хозяина от инфекции [26, 27]. Таким образом, получение препаратов на основе антител, направленных на блокирование F-гликопротеина РСВ в префузионной конформации, является актуальной задачей.
Антитело MEDI8897 (нирсевимаб) [28, 29] представляет собой человеческое рМКА класса IgG1κ, способное к высокоаффинному связыванию консервативного пространственного эпитопа, который образуют субъединицы F1 и F2 F-гликопротеина РСВ в префузионной конформации (сайт Ø, а. о. 62–69 для F2 и 196–212 для F1) [30]. Данное связывание препятствует конформационной подвижности F-гликопротеина, необходимой для слияния мембран вирусной частицы и клетки, которое опосредовано этим белком, таким образом, антитело MEDI8897 блокирует процесс слияния и предотвращает проникновение вируса в клетку хозяина. Fc-фрагмент антитела MEDI8897 имеет 3 аминокислотных замены, наличие которых существенным образом увеличивает время циркуляции антитела в кровотоке. Таким образом, однократная внутримышечная инъекция MEDI8897 позволяет обеспечить защиту организма в течение одного эпидемического сезона РСВИ (т. е. около 150 дней после введения) [13, 14]. Данное антитело обладает нейтрализующим эффектом в отношении штаммов РСВ человека антигенных подтипов A и B, циркулирующих одновременно в рамках локальных эпидемий, и предназначено для профилактики заболеваний нижних дыхательных путей, вызванных РСВИ [30].
В нашей работе было получено и охарактеризовано человеческое рМКА FM1, дизайн которого проведён на основе последовательностей тяжёлой и лёгкой цепей антитела MEDI8897 [16]. Дополнительно были выбраны последовательности сигнальных пептидов, обеспечивающих секрецию полноразмерного антитела для его эффективного накопления во внеклеточном пространстве.
рМКА, как и многие другие белки, секретируются клетками по пути котрансляционной транслокации. У эукариот сигнальный пептид, содержащий 5–30 аминокислотных остатков, которые присутствуют на N-конце экспрессирующихся белков, узнаётся частицей распознавания сигнала в цитозоле ещё в процессе синтеза на рибосомах, а после прохождения эндоплазматического ретикулума сигнальный пептид отщепляется сигнальной пептидазой. Эффективная экспрессия тяжёлой и лёгкой цепей требует соответствующих сигнальных пептидов для транспортировки полипептидных цепей антитела в эндоплазматический ретикулум для надлежащего сворачивания, сборки, а затем посттрансляционной модификации в аппарате Гольджи.
Поскольку информация о последовательностях, кодирующих сигнальные пептиды в конструкциях тяжёлой и лёгкой цепей у MEDI8897, в литературе отсутствовала, нами была выбрана комбинация сигнальных пептидов H7/L1 по работе R. Haryadi и соавт. [31], в которой были проанализированы 8 сигнальных пептидов тяжёлой цепи и 2 сигнальных пептида лёгкой цепи на предмет их влияния на уровень продукции в клетках CHO 5 наиболее коммерчески успешных терапевтических рМКА. В работе показано, что наилучшим сигнальным пептидом для тяжёлой цепи большинства протестированных антител (адалимумаба, бевацизумаба, инфликсимаба) являлась последовательность H7. При выборе между последовательностями L1 и L2 мы руководствовались тем, что в случае L1 во вставке сохранялась консенсусная последовательность Козак, играющая важную роль в усилении трансляции у эукариот [32].
Для высокопроизводительной экспрессии и продукции рМКА FM1 в эукариотических клеточных линиях была выбрана 2-плазмидная система экспрессии на базе вектора pVAX1. Были получены генно-инженерные конструкции для тяжёлой и лёгкой цепей рМКА FM1, содержащие вариабельные и константные области антитела, а также сигнальные пептиды, при котрансляции которых формируется полноразмерное рМКА FM1.
Накопление и получение рМКА FM1 было проведено путём транзиентной экспрессии. В качестве продуцента антитела FM1 была выбрана эукариотическая клеточная линия CHO-K1. Путём трансфекции этих клеток 2-плазмидной векторной системой был получен временный CHO-продуцент рМКА FM1. Трансфицированные клетки адаптировали к селективным условиям для получения большего числа клонов, продуцирующих антитела. Проведено длительное культивирование временного продуцента для накопления рМКА FM1, которые затем были очищены из культуральной жидкости методом аффинной хроматографии с использованием в качестве лиганда модифицированного белка A. Отсутствие видимых примесей было подтверждено методом белкового электрофореза в ПААГ.
Основным методом для характеристики специфической активности МКА является оценка их нейтрализующей активности в отношении инфекционного вируса методом биологической нейтрализации. Реакции микронейтрализации представляют собой группу методик, которые основаны на подсчёте регистрируемых показателей: ингибирование развития цитопатического действия вируса с учётом методом ИФА [33], подавление образования бляшек [34, 35], спектрофотометрическое определение жизнеспособности клеток [36] или снижение сигнала при использовании в качестве антигена люминесцентного/флуоресцентного репортерного вируса [37].
Поскольку на результат, полученный методом биологической нейтрализации, влияет множество переменных, таких как тип использованных клеточных линий, способ детекции, длительность инкубации и др., для изучения специфической активности препарата МКА необходимо использование препарата сравнения с известными характеристиками, что позволяет определить относительную активность исследуемого препарата. В нашей работе была доказана биологическая активность препарата рМКА FM1 в сравнении с зарегистрированным препаратом-аналогом. В качестве внешнего положительного контроля был использован коммерческий препарат на основе гуманизированных МКА «Синагис» (паливизумаб). Специфическая активность рМКА FM1 в отношении очищенного вируса была подтверждена методом ИФА при сорбции инактивированного формалином препарата РСВ на подложку, а также методом ИФА in-cell при заражении клеток Vero штаммами РСВ А2 и РСВ В 9320 в разных дозах.
Специфическая активность антитела FM1 в отношении инфекционного вируса была продемонстрирована в реакции микронейтрализации с РСВ различных подтипов. Были построены кривые дозозависимости и определена 50% ингибирующая концентрация. Показано, что препарат рМКА FM1 обладает повышенной вируснейтрализующей активностью по сравнению с контрольным препаратом паливизумабом в отношении РСВ подтипов А и В — как эталонных, так и сезонных штаммов. Так, показатели IC50 у исследованного образца антитела FM1 оказались достоверно более низкими по сравнению с внешним положительным контролем в отношении всех проверенных штаммов: для РСВ А2 — примерно в 72 раза, сезонного РСВ А — в 31 раз, РСВ В 9320 — в 26 раз, сезонного РСВ В — в 3 раза.
Среднеингибирующая концентрация препарата сравнения паливизумаба в представленном исследовании в отношении эталонного штамма РСВ А2 составила 0,374 мкг/мл, что согласуется с опубликованными ранее значениями и является дополнительным фактором валидности полученных результатов. Так, значение IC50 в отношении эталонного штамма РСВ А Long в различных исследованиях составляло от 0,353 [38] до 0,453 мкг/мл [39], а специфическая активность (концентрация, необходимая для уменьшения размера бляшек на 60%) паливизумаба в отношении РСВ А2 — 0,57 мкг/мл [40].
Таким образом, нами получен кандидатный препарат против РСВ на основе человеческих рМКА, который способен к специфичному связыванию очищенного РСВ обоих серотипов, циркулирующих в человеческой популяции, а также обладает повышенной вируснейтрализующей активностью в отношении как эталонных, так и сезонных штаммов РСВ подтипов А и В, по сравнению с контрольным препаратом паливизумабом.
Заключение
Разработано и получено рМКА FM1 к F-гликопротеину РСВ, обладающее повышенной вируснейтрализующей активностью в отношении эталонных и сезонных штаммов РСВ подтипов А и В по сравнению с паливизумабом. В настоящее время коллектив авторов ведёт работу над получением стабильного клона-продуцента рМКА FM1 с высокой продуктивностью и жизнеспособностью, а также проводит исследование терапевтической эффективности препарата рМКА FM1 на модели сублетальной РСВИ у мышей.
Об авторах
Сергей Анатольевич Клотченко
Научно-исследовательский институт гриппа им. А.А. Смородинцева Минздрава России
Автор, ответственный за переписку.
Email: fosfatik@mail.ru
ORCID iD: 0000-0003-0289-6560
к. б. н., зав. лаб. гриппозных вакцин
Россия, Санкт-ПетербургЕкатерина Андреевна Романовская-Романько
Научно-исследовательский институт гриппа им. А.А. Смородинцева Минздрава России
Email: fosfatik@mail.ru
ORCID iD: 0000-0001-7560-398X
к. б. н., в. н. с. лаб. векторных вакцин
Россия, Санкт-ПетербургМарина Александровна Плотникова
Научно-исследовательский институт гриппа им. А.А. Смородинцева Минздрава России
Email: fosfatik@mail.ru
ORCID iD: 0000-0001-8196-3156
к. б. н., с. н. с. лаб. векторных вакцин
Россия, Санкт-ПетербургАнастасия Александровна Пулькина
Научно-исследовательский институт гриппа им. А.А. Смородинцева Минздрава России
Email: fosfatik@mail.ru
ORCID iD: 0000-0001-8609-8093
к. б. н., н. с. лаб. векторных вакцин
Россия, Санкт-ПетербургАрам Арутюнович Шалджян
Научно-исследовательский институт гриппа им. А.А. Смородинцева Минздрава России
Email: fosfatik@mail.ru
ORCID iD: 0000-0002-8646-6252
лаборант-исследователь лаб. генной инженерии и экспрессии рекомбинантных белков
Россия, Санкт-ПетербургДмитрий Сергеевич Балабашин
Институт биоорганической химии имени М.М. Шемякина и Ю.А. Овчинникова РАН
Email: fosfatik@mail.ru
ORCID iD: 0000-0002-7627-0600
к. б. н., м. н. с. лаб. инженерии белка
Россия, МоскваВиктория Александровна Топорова
Научно-исследовательский институт гриппа им. А.А. Смородинцева Минздрава России; Институт биоорганической химии имени М.М. Шемякина и Ю.А. Овчинникова РАН
Email: fosfatik@mail.ru
ORCID iD: 0000-0002-7450-7096
н. с. лаб. инженерии белка, лаборант-исследователь
Россия, Санкт-Петербург; МоскваТеймур Кантамирович Алиев
Институт биоорганической химии имени М.М. Шемякина и Ю.А. Овчинникова РАН; Московский государственный университет имени М.В. Ломоносова
Email: fosfatik@mail.ru
ORCID iD: 0000-0002-1753-9614
к. х. н., зам. рук. Центра НТИ, н. с. каф. химической энзимологии
Россия, Москва; МоскваНаталия Евгеньевна Гюлиханданова
Научно-исследовательский институт гриппа им. А.А. Смородинцева Минздрава России
Email: fosfatik@mail.ru
ORCID iD: 0000-0001-6907-0144
к. б. н., зам. директора по проектной работе
Россия, Санкт-ПетербургДмитрий Анатольевич Лиознов
Научно-исследовательский институт гриппа им. А.А. Смородинцева Минздрава России; Первый Санкт-Петербургский государственный медицинский университет имени академика И.П. Павлова
Email: fosfatik@mail.ru
ORCID iD: 0000-0003-3643-7354
д. м. н., профессор, директор, зав. каф. инфекционных болезней и эпидемиологии
Россия, Санкт-Петербург; Санкт-ПетербургСписок литературы
- Openshaw P.J.M., Chiu C., Culley F.J., et al. Protective and harmful immunity to RSV infection. Annu. Rev. Immunol. 2017;35(1):501–32. DOI: https://doi.org/10.1146/annurev-immunol-051116-052206
- Tin Tin Htar M., Yerramalla M.S., Moïsi J.C., Swerdlow D.L. The burden of respiratory syncytial virus in adults: a systematic review and meta-analysis. Epidemiol. Infect. 2020;148:e48. DOI: https://doi.org/10.1017/S0950268820000400
- Staadegaard L., Caini S., Wangchuk S., et al. The global epidemiology of RSV in community and hospitalized care: findings from 15 countries. Open Forum Infect. Dis. 2021;8(7):ofab159. DOI: https://doi.org/10.1093/ofid/ofab159
- Li Y., Wang X., Blau D.M., et al. Global, regional, and national disease burden estimates of acute lower respiratory infections due to respiratory syncytial virus in children younger than 5 years in 2019: a systematic analysis. Lancet. 2022;399(10340):2047–64. DOI: https://doi.org/10.1016/S0140-6736(22)00478-0
- Nair H., Nokes D.J., Gessner B.D., et al. Global burden of acute lower respiratory infections due to respiratory syncytial virus in young children: a systematic review and meta-analysis. Lancet. 2010;375(9725):1545–55. DOI: https://doi.org/10.1016/S0140-6736(10)60206-1
- Borchers A.T., Chang C., Gershwin M.E., Gershwin L.J. Respiratory syncytial virus – a comprehensive review. Clin. Rev. Allergy Immunol. 2013;45(3):331–79. DOI: https://doi.org/10.1007/s12016-013-8368-9
- Welliver R.C. Sr., Checchia P.A., Bauman J.H., et al. Fatality rates in published reports of RSV hospitalizations among high-risk and otherwise healthy children. Curr. Med. Res. Opin. 2010;26(9):2175–81. DOI: https://doi.org/10.1185/03007995.2010.505126
- Simoes E.A., Carbonell-Estrany X. Impact of severe disease caused by respiratory syncytial virus in children living in developed countries. Pediatr. Infect. Dis. J. 2003;22(2 Suppl.):S13–20. DOI: https://doi.org/10.1097/01.inf.0000053881.47279.d9
- Shi T., McAllister D.A., O'Brien K.L., et al. Global, regional, and national disease burden estimates of acute lower respiratory infections due to respiratory syncytial virus in young children in 2015: a systematic review and modelling study. Lancet. 2017;390(10098):946–58. DOI: https://doi.org/10.1016/S0140-6736(17)30938-8
- Caini S., Stolyarov K., Sominina A., et al. A comparative analysis of the epidemiology of influenza and respiratory syncytial virus in Russia, 2013/14 to 2018/19. J. Glob. Health. 2022;12:04009. DOI: https://doi.org/10.7189/jogh.12.04009
- Wiseman D.J., Thwaites R.S., Drysdale S.B., et al. Immunological and inflammatory biomarkers of susceptibility and severity in adult respiratory syncytial virus infections. J. Infect. Dis. 2020;222(Suppl. 7):S584–91. DOI: https://doi.org/10.1093/infdis/jiaa063
- American Academy of Pediatrics Committee on Infectious Diseases; American Academy of Pediatrics Bronchiolitis Guidelines Committee. Updated guidance for palivizumab prophylaxis among infants and young children at increased risk of hospitalization for respiratory syncytial virus infection. Pediatrics. 2014;134(2):e620–38. DOI: https://doi.org/10.1542/peds.2014-1666
- Hammitt L.L., Dagan R., Yuan Y., et al. Nirsevimab for prevention of RSV in healthy late-preterm and term infants. N. Engl. J. Med. 2022;386(9):837–46. DOI: https://doi.org/10.1056/NEJMoa2110275
- Griffin M.P., Yuan Y., Takas T., et al. Single-dose nirsevimab for prevention of RSV in preterm infants. N. Engl. J. Med. 2020;383(5):415–25. DOI: https://doi.org/10.1056/NEJMoa1913556
- Venkatesan P. Nirsevimab: a promising therapy for RSV. Lancet Microbe. 2022;3(5):e335. DOI: https://doi.org/10.1016/S2666-5247(22)00097-0
- Khan A.A., Pierre V. Dosage regimens for and compositions including anti-RSV antibodies. U.S. Patent № 12.024.553; 2024.
- Johnson S., Oliver C., Prince G.A., et al. Development of a humanized monoclonal antibody (MEDI-493) with potent in vitro and in vivo activity against respiratory syncytial virus. J. Infect. Dis. 1997;176(5):1215–24. DOI: https://doi.org/10.1086/514115
- Laemmli U.K. Cleavage of structural proteins during the assembly of the head of bacteriophage T4. Nature. 1970;227(5259):680–5. DOI: https://doi.org/10.1038/227680a0
- Candiano G., Bruschi M., Musante L., et al. Blue silver: a very sensitive colloidal Coomassie G-250 staining for proteome analysis. Electrophoresis. 2004;25(9):1327–33. DOI: https://doi.org/10.1002/elps.200305844
- Кривицкая В.З., Петрова Е.Р., Сорокин Е.В. и др. Получение и характеристика моноклональных антител, специфичных к респираторно-синцитиальному вирусу. Биотехнология. 2016;32(1):6–75. Krivitskaya V.Z., Petrova E.R., Sorokin E.V., et al. Design and characteristics of monoclonal antibodies specific to respiratory syncytial virus. Biotechnology. 2016;32(1): 6–75. DOI: https://doi.org/10.21519/0234-2758-2016-1-65-75 EDN: https://elibrary.ru/vvzkst
- Bland M. An Introduction to Medical Statistics. Oxford; 2015. DOI: https://doi.org/10.1007/s00362-017-0925-5
- UniProt Consortium. UniProt: the Universal Protein Knowledgebase in 2025. Nucleic Acids Res. 2024;gkae1010. DOI: https://doi.org/10.1093/nar/gkae1010
- Wilkins D., Yuan Y., Chang Y., et al. Durability of neutralizing RSV antibodies following nirsevimab administration and elicitation of the natural immune response to RSV infection in infants. Nat. Med. 2023; 29(5): 1172–9. DOI: https://doi.org/10.1038/s41591-023-02316-5
- Assad Z., Romain A.S., Aupiais C., et al. Nirsevimab and Hospitalization for RSV Bronchiolitis. N. Engl. J. Med. 2024;391(2):144–54. DOI: https://doi.org/10.1056/NEJMoa2314885
- Mazur N.I., Terstappen J., Baral R., et al. Respiratory syncytial virus prevention within reach: the vaccine and monoclonal antibody landscape. Lancet Infect. Dis. 2023;23(1):e2–21. DOI: https://doi.org/10.1016/S1473-3099(22)00291-2
- McLellan J.S., Chen M., Leung S., et al. Structure of RSV fusion glycoprotein trimer bound to a prefusion-specific neutralizing antibody. Science. 2013;340(6136):1113–7. DOI: https://doi.org/10.1126/science.1234914
- Krarup A., Truan D., Furmanova-Hollenstein P., et al. A highly stable prefusion RSV F vaccine derived from structural analysis of the fusion mechanism. Nat. Commun. 2015;6:8143. DOI: https://doi.org/10.1038/ncomms9143
- Griffin M.P., Khan A.A., Esser M.T., et al. Safety, tolerability, and pharmacokinetics of MEDI8897, the respiratory syncytial virus prefusion f-targeting monoclonal antibody with an extended half-life, in healthy adults. Antimicrob. Agents Chemother. 2017;61(3):e01714-16. DOI: https://doi.org/10.1128/aac.01714-16
- Zhu Q., McLellan J.S., Kallewaard N.L., et al. A highly potent extended half-life antibody as a potential RSV vaccine surrogate for all infants. Sci. Transl. Med. 2017;9(388):eaaj1928. DOI: https://doi.org/10.1126/scitranslmed.aaj1928
- Wilkins D., Langedijk A.C., Lebbink R.J., et al. Nirsevimab binding-site conservation in respiratory syncytial virus fusion glycoprotein worldwide between 1956 and 2021: an analysis of observational study sequencing data. Lancet Infect. Dis. 2023;23(7): 856–66. DOI: https://doi.org/10.1016/S1473-3099(23)00062-2
- Haryadi R., Ho S., Kok Y.J., et al. Optimization of heavy chain and light chain signal peptides for high level expression of therapeutic antibodies in CHO cells. PLoS One. 2015;10(2):e0116878. DOI: https://doi.org/10.1371/journal.pone.0116878
- Kozak M. Compilation and analysis of sequences upstream from the translational start site in eukaryotic mRNAs. Nucleic Acids Res. 1984;12(2):857–72. DOI: https://doi.org/10.1093/nar/12.2.857
- Anderson L.J., Hierholzer J.C., Bingham P.G., Stone Y.O. Microneutralization test for respiratory syncytial virus based on an enzyme immunoassay. J. Clin. Microbiol. 1985;22(6):1050–2. DOI: https://doi.org/10.1128/jcm.22.6.1050-1052.1985
- Zielinska E., Liu D., Wu H.Y., et al. Development of an improved microneutralization assay for respiratory syncytial virus by automated plaque counting using imaging analysis. Virol. J. 2005;2:84. DOI: https://doi.org/10.1186/1743-422X-2-84
- van Remmerden Y., Xu F., van Eldik M., et al. An improved respiratory syncytial virus neutralization assay based on the detection of green fluorescent protein expression and automated plaque counting. Virol. J. 2012;9:253. DOI: https://doi.org/10.1186/1743-422X-9-253
- Rubino K.L., Nicholas J.A. A novel, spectrophotometric microneutralization assay for respiratory syncytial virus. J. Virol. Methods. 1992;39(1-2):55–67. DOI: https://doi.org/10.1016/0166-0934(92)90125-W
- Cheng X., Munoz M.G., Zhou H., Jin H. Expression of beta-galactosidase by recombinant respiratory syncytial viruses for microneutralization assay. J. Virol. Methods. 2002;105(2):287–96. https://doi.org/10.1016/S0166-0934(02)00122-2
- Zhu Q., McAuliffe J.M., Patel N.K., et al. Analysis of respiratory syncytial virus preclinical and clinical variants resistant to neutralization by monoclonal antibodies palivizumab and/or motavizumab. J. Infect. Dis. 2011;203(5):674–82. DOI: https://doi.org/10.1093/infdis/jiq100
- Wu H., Pfarr D.S., Tang Y., et al. Ultra-potent antibodies against respiratory syncytial virus: effects of binding kinetics and binding valence on viral neutralization. J. Mol. Biol. 2005;350(1):126–44. DOI: https://doi.org/10.1016/j.jmb.2005.04.049
- Bates J.T., Keefer C.J., Slaughter J.C., et al. Escape from neutralization by the respiratory syncytial virus-specific neutralizing monoclonal antibody palivizumab is driven by changes in on-rate of binding to the fusion protein. Virology. 2014;454-455:139–44. DOI: https://doi.org/10.1016/j.virol.2014.02.010
Дополнительные файлы





