Orientational relaxation of ferromagnetic anisotropic colloidal particles in a magnetic fluid
- Authors: Filippova Y.А.1,2, Yakusheva О.A.1, Papugaeva A.V.1
-
Affiliations:
- Moscow State Pedagogical University
- Lomonosov Moscow State University
- Issue: Vol 88, No 12 (2024)
- Pages: 1991-1996
- Section: Nanooptics, photonics and coherent spectroscopy
- URL: https://bakhtiniada.ru/0367-6765/article/view/286567
- DOI: https://doi.org/10.31857/S0367676524120235
- EDN: https://elibrary.ru/EUUNRY
- ID: 286567
Cite item
Full Text
Abstract
Permalloy rod-shaped anisotropic nanoparticles were used to study orientational relaxation in polymethylsiloxane magnetic fluid. A magnetorheological effect was obtained at different magnitudes and frequencies of exposure to a magnetic field, and the time of structural relaxation after removal of the field was assessed.
Full Text
Введение
При рассмотрении свойств магнитной жидкости (МЖ) первоначально использовалось представление сплошной среды, позволяющее рассматривать магнитный коллоид как систему невзаимодействующих дипольных частиц. Однако впоследствии было установлено, что наблюдающиеся в МЖ эффекты во многом определяются гранулометрическим составом магнитных частиц, их взаимодействием и воздействием внешних полей на всю структурную организацию системы. С определенным типом структуры, возникающей в МЖ, связан ряд приложений таких сред в технике и медицине [1], в передовых космических системах [2], мягкой робототехнике и других [3].
Классические магнитные жидкости наполняются частицами почти сферической формы. Активно развиваемым направлением в области МЖ является синтез суспензий со стержнеобразными (палочкообразными) частицами, в которых обнаруживаются нестандартные вязкоупругие эффекты. Отмечается, что структурообразование в них протекает легче, чем в системах, содержащих сферические частицы [4], а магнитореологические эффекты в таких системах в разы сильнее, чем в традиционных суспензиях [5, 6].
Одним из ключевых аспектов изучения подобных систем, важных для различных технологических приложений, является изучение ориентационной релаксации намагниченных частиц. В случае с магнитной жидкостью она представляет собой сложную задачу, требующую учета как магнитных, так и гидродинамических взаимодействий частиц. Между тем, именно скорость установления той или иной структуры в постоянном или переменном магнитном поле, скорость ее релаксации при отключении поля лимитируют приложения МЖ.
Основная причина выраженного магнитореологического эффекта в МЖ — это перестройка пространственного расположения частиц под действием внешнего поля, когда они, преодолевая упругое сопротивление несущей основы, образуют неоднородные анизотропные структуры — цепочки [7].
Сам процесс образования структуры происходит во времени, при чем он обусловлен набором фактов: влияние внешнего МП, взаимное притяжение частиц, тепловое движение, мешающее созданию структуры и т. д. Очевидно, что на процесс структурной релаксации должна влиять геометрия частиц наполнителя. На фотографии рис. 1 наглядно показано, как ведут себя пермаллоевые стержнеобразные наночастицы (СНЧ) длиной 9 мкм, в дистиллированной воде при приближении неодимового магнита, анизотропные частицы выстраиваются вдоль линий магнитной индукции. Ввиду собственной спонтанной намагниченности частиц образовываются агломераты СНЧ.
Рис. 1. Фотографии ориентации агрегатов FeNi СНЧ в дистиллированной воде в оптическом микроскопе Nikon Eclipse LV100: без внешнего магнитного поля (а), при воздействии магнитного поля (б).
Наличие таких агрегатов в МЖ влияет на формирование ее структуры под воздействием магнитного поля. [8].
В данной работе для изучения релаксации структуры, образованной частицами наполнителя в МЖ, были использованы ферромагнитные пермаллоевые СНЧ. В качестве несущей основы МЖ был выбран хорошо охарактеризованный полиметилсилоксановый полимер (Rexant ПМС-1000), т. к. он термоустойчив и стабилен.
Процесс получения МЖ состоит из синтеза СНЧ и их внедрения в жидкость-носитель. В этом отношении наиболее перспективным методом получения СНЧ с возможностью вариации их анизотропии является шаблонный синтез СНЧ на полимерных трековых мембранах (ТМ).
Материалы и методы
Метод шаблонного синтеза в общем случае заключается в заполнении заданным вещество пор в каком-либо пористом материале, служащем шаблоном. В данной работе в качестве матрицы для получения наполнителя (СНЧ) использовали коммерческие ТМ, полученные в Лаборатории ядерных реакций ОИЯИ (г. Дубна) на основе пленок ПЭТФ (полиэтилентерефталат), которые подвергались облучению ионами Kr энергией 2—4 МэВ/а. е. м. Начальная толщина пленок составляла 12 мкм, поверхностная плотность пор для системы пересекающихся пор равна (для синтеза СНЧ длиной 1.3 мкм), для непересекающихся параллельных — (для синтеза СНЧ длиной 6 и 9 мкм), диаметр пор — 100 нм.
Синтез СНЧ проводился по известной методике [9] и состоял из:
1) термического вакуумного напыления токопроводящего медного слоя толщиной около 60 нм с помощью «Универсальной вакуумной установки Saha»;
2) укрепления контактного слоя гальваническим способом. Использовался электролит CuSO4 · 5H2O с концентрация 200 г/л, H2SO4 (10 г/л), укрепление проводилось при потенциале 0.6 В с ограничением по току 400 мА;
3) электрохимического осаждения металла в поры ТМ, осаждение пермаллоя FeNi в поры ТМ проводили при комнатной температуре электролита, и значению PH 2.8‒5.8 в потенциостатическом режиме U=1.5 В, площадь осаждения составляла 2 , использовался железный анод, электролит следующего состава: — 25г/л, — 16 г/л, – 40 г/л, – 8г/л, г/л, — 1 г/л, Осаждение пермаллоя (FeNi) в поры ТМ необходимо проводить при комнатной температуре электролита, и значению PH 2.8‒5.8. Осаждение проводят в потенциостатическом режиме (U=const);
4) селективного удаления медной подложки ( 3 % 1л, 300 г/л, NaCl 50 г/л.);
5) удаления полимерной матрицы с помощью 6 моль раствора едкого натрия NaOH при температуре 60°C в течение 6 ч с последующим выделением взвеси частиц в дистиллированную воду.
В результате была получена в дистиллированной воде взвесь СНЧ, которые могут быть отнесены к коллоидным частицам [10], поскольку наследуют геометрию пор ТМ, т. е. имеют диаметр 100 нм и максимальную длину до 12 мкм (толщина ТМ). Длина СНЧ регулировалась степенью заполнения пор ТМ, которая зависит от времени осаждения. Подобные образцы пермаллоевых СНЧ нами внедрялись в полимерный гель в работе [11].
Для получения равномерного распределения наполнителя в полиметисилоксановой несущей основе применяли гомогенизатор SH Scientific SH-HZD, в котором образец выдерживался несколько минут.
Реологические измерения проводились на ротационном реометре Anton Paar MCR-301 в режиме колебаний с фиксированной амплитудой 3 % и переменной угловой частотой ω = 0.05—50 с-1 при температуре 22°C (измерительная система «плоскость-плоскость»). Для измерений использовалась специальная магнито-реологическая ячейка из немагнитного материала, магнитное поле генерировалось в направлении перпендикулярно сдвигу. Диаметр верхней измерительной пластины 20 мм, зазор 0.5 мм. Пределы допускаемой относительной погрешности измерений динамической вязкости ± 5 %.
Экспериментальные результаты и их обсуждение
С помощью оптической микроскопии была оценена длина полученных СНЧ: 1.3, 6 и 9 мкм. Нами ранее в работе [9] полученные СНЧ были исследованы методом EDX и рентгенофазовым анализом. Определены соотношения атомов Fe и Ni в СНЧ: Fe: Ni = 46: 54, рассчитанная плотность СНЧ составила 8.4 г/см3. Рентгенофазовый анализ образцов свидетельствовал о преобладании кристаллической структуры СНЧ. Обнаруженная кристаллическая структура принадлежит FeNi с ГЦК структурой.
Влияние анизотропии наполнителя на магнитореологический эффект
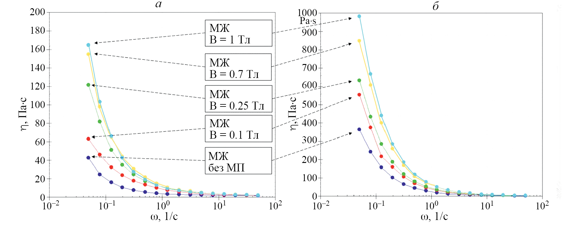
Как показано в работе [9], в образцах с более анизотропными СНЧ магнитореологический эффект более выражен (увеличение вязкости вплоть до 4 раз). Для подтверждения этого в данной работе были синтезированы методом шаблонного синтеза анизотропные FeNi СНЧ длиной 9, 6 и 1.3 мкм. Для сравнения и оценки влияния анизотропии наполнителя построены следующие кривые (рис. 2). Очевидно, что магнитное поле перестает влиять для МЖ с СНЧ длиной 1.3 мкм при =0.05 с-1, =0.25 Тл (рис. 2в). Видимо, начиная с =0.25 Тл поведение МЖ и распределение СНЧ уже не меняется.
Рис. 2. Зависимость динамической вязкости η от угловой частоты ω для образцов с СНЧ различной длины: 9 (а), 6 (б) и 1.3 мкм (в). Величина напряженности магнитного поля B менялась от 0 до 1 Тл. Сравнение начальных значений вязкости для образцов с разной степенью анизотропии при В = 0 Тл (г). Массовая концентрация СНЧ равна 0.25 %.
У образцов с СНЧ длиной 1.3 и 6 мкм продемонстрирован менее выраженный магнитореологический эффект по сравнению с наполнителем СНЧ длиной 9 мкм. Очевидно, что магнитореологический эффект зависит от анизотропии наполнителя — СНЧ.
Концентрационная зависимость магнитореологического эффекта
При большей концентрации СНЧ растет начальное значение вязкости МЖ, и магнитореологический эффект также более выражен (рис. 3). Для СНЧ длиной 9 мкм наблюдается увеличение вязкости в 2.5 раза по сравнению с начальной вязкостью МЖ и =0 Тл.
Рис. 3. Зависимость динамической вязкости η от угловой частоты ω для образца с СНЧ длиной 9 мкм при двух значений массовой концентрации: 0.25 (а) и 0.5 масс.% (б). Величина напряженности магнитного поля B менялась от 0 до 1 Тл.
В табл. 1 представлена зависимость вязкости МЖ от концентрации (масс.%) СНЧ длиной 9 мкм при воздействии магнитного поля =1 Тл для разных угловых частот ω. При всех использованных частотах значения вязкости для =0.5 % примерно в 6 раз больше, чем для =0.25 %.
Таблица 1. Зависимость вязкости МЖ от концентрации СНЧ при наложении магнитного поля B = 1 Тл для угловой частоты ω =0.05, 0.08, 0.1, 0.2 и 0.3 c-1.
η, Па·с | ω = 0.05 c-1 | ω = = 0.08 c-1 | ω = = 0.1 c-1 | ω = = 0.2 c-1 | ω = =0.3 c-1 |
n = 0 | 3.5 | 3.5 | 3.5 | 3.5 | 3.5 |
n = 0.25 | 164 | 105 | 67,5 | 44 | 29 |
n = 0.5 | 985 | 670 | 442 | 285 | 185 |
Влияние магнитного поля
Для более анизотропных СНЧ длиной 9 мкм при малой угловой частоте ω = 0.05 с-1 получена практически линейная зависимость динамической вязкости МЖ от величины магнитного поля при обоих значениях концентрации СНЧ (рис. 4). Выбор малой частоты обусловлен более выраженным магнитореологическим эффектом.
Рис. 4. Зависимость динамической вязкости от величины магнитного поля при частоте ω =0.05 c-1 для СНЧ длиной 9 мкм и двух значениях концентрации СНЧ.
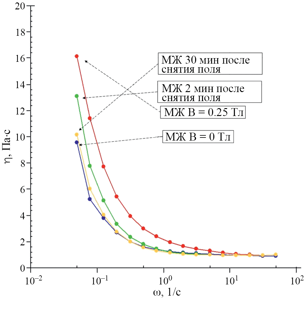
После снятия магнитного поля наблюдается релаксация структуры МЖ, что проявляется в изменении реологических кривых. Значения вязкости уменьшаются со временем почти до первоначальных значений в случае с наполнителем СНЧ длиной 1.3 мкм (рис. 5).
Рис. 5. Зависимость динамической вязкости η МЖ от угловой частоты ω для образца с СНЧ длиной 1.3 мкм: без приложения магнитного поля, при B = 0.25 Тл, после снятия магнитного поля: через 2 и 30 мин. Масс. содержание СНЧ%= 0.25.
Показано, что в начальный момент времени для образца МЖ без воздействия магнитного поля вязкость равна почти 10 ПаΧс, максимальная вязкость 16 ПаΧс достигалась при наложении =0.25 Тл.
В простейшем случае для всех выше описанных случаев можно записать следующие выражения для одного времени релаксации:
(1)
= (2)
где — значение вязкости в момент снятия поля, µ — значение вязкости МЖ при =0 Тл.
На рис. 6 приведен график зависимости логарифма разности ln(η(t) - η∞) для МЖ с СНЧ длиной 1.3 мкм и ω = 0.05 с-1. Выбрана частота для наиболее выраженного магнитореологического эффекта при B = 0.25 Тл. Практически линейная зависимость графика позволяет оценить время релаксации θ ≈ 30 мин.
Рис. 6. Зависимость ln(η(t) - η∞) от времени t.
Схожее по порядку время релаксации можно также оценить исходя из того, что при всех значениях магнитного поля кривые зависимости вязкости от частоты (рис. 2) сходятся на частотах 101—102 c-1. При этих частотах независимо от величины поля СНЧ не успевают следовать изменениям поля, и вязкость имеет то же значение, что в отсутствии поля.
Заключение
Получены образцы МЖ с наполнителем в виде пермаллоевых СНЧ с разной степенью анизотропии, синтезированных методом шаблонного синтеза.
Показано, что степень анизотропии СНЧ существенно влияет на величину магнитореологического эффекта, что косвенно свидетельствует о влиянии на время структурной релаксации.
При увеличении массовой концентрации СНЧ растет начальное значение вязкости МЖ, магнитореологический эффект также более выражен: при всех использованных частотах значения вязкости для =0.5 % примерно в 6 раз больше, чем для =0.25 %.
Проведено предварительное исследование релаксации структуры МЖ с наполнителем СНЧ длиной 1.3 мкм (масс. концентрация равна 0.25 %). Оценка времени релаксации дала величину порядка 30 мин.
Показано что, развитый метод шаблонного синтеза СНЧ представляется перспективным для получения различных МЖ с варьируемыми параметрами под конкретные задачи. Понимание процессов релаксации критически важно для оптимизации свойств МЖ и для достижения их максимальной эффективности. Время релаксации играет одну из ключевых ролей для биомедицинских приложений, в электронике и материалах с изменяемыми свойствами.
Работа выполнена в рамках государственного задания Министерства просвещения Российской Федерации «Физика наноструктурированных материалов и высокочувствительная сенсорика: синтез, фундаментальные исследования и приложения в фотонике, науках о жизни, квантовых и нанотехнологиях» (тема № 124031100005-5).
About the authors
Y. А. Filippova
Moscow State Pedagogical University; Lomonosov Moscow State University
Author for correspondence.
Email: yufi26@list.ru
Russian Federation, Moscow; Moscow
О. A. Yakusheva
Moscow State Pedagogical University
Email: yufi26@list.ru
Russian Federation, Moscow
A. V. Papugaeva
Moscow State Pedagogical University
Email: yufi26@list.ru
Russian Federation, Moscow
References
- Такетоми С., Тикатзуми С. Магнитные жидкости. М.: Мир, 1993. 272 c.
- Sütterlin S., Bölke D., Ehresmann M. et al. // CEAS Space J. 2024. doi: 10.1007/s12567-024-00539-x.
- Sabzi Dizajyekan B., Jafary A., Vafaie-Sefti V. et al. // Sci. Reports. 2024. V. 14. No. 1. Art. No.1296.
- Немцева М.П., Филиппов Д.В., Федорова А.А. Реологические свойства коллоидных систем. Иваново: ИГХТУ, 2016. 80 с.
- López-López M. T., Kuzhir P., Bossis G. // J. Rheology. 2009. V. 53. No. 1. P. 115.
- Ерин К.В., Вивчарь В.И., Шевченко Е.И. // Изв. РАН. Сер. физ. 2023. Т. 87. № 3. C. 315, Yerin C.V., Vivchar V.I., Shevchenko E.I. // Bull. Russ. Acad. Sci. Phys. 2023. V. 87. No. 3. P. 272.
- Zubarev A.Y., Iskakova L.Y. // J. Magn. Magn. Mater. 2023. V. 588. P. 171448.
- Испирян А.Г. // Наука. Инновации. Технологии. 2018. № . 2. P. 49.
- Филиппова Ю.А., Папугаева А.В., Панов Д.В. и др. // Изв. РАН. Сер. физ. 2023. Т. 87. № 12. C. 1813, Filippova Y.A., Papugaeva A.V., Panov D.V. et al. // Bull. Russ. Acad. Sci. Phys. 2023. V. 87. No. 12. P. 1885.
- Шлиомис М.И. // УФН. 974. Т. 112. № . 3. С. 427.
- Филиппова Ю.А., Бижецкий А.С., Папугаева А.В. и др. // Изв. РАН. Сер. физ. 2023. Т. 87. № 10. C. 1452, Filippova Y.A., Bizhetskiy A.S., Popugaeva A.V. et al. // Bull. Russ. Acad. Sci. Phys. 2015. V. 87. No. 10. P. 1483.
Supplementary files








