Nonreciprocity in the behavior of photon echo in constant and pulsed magnetic fields in YLiF4: Er3+ and LuLiF4: Er3+ crystals
- 作者: Shegeda А.M.1, Korableva S.L.2, Morozov O.А.1
-
隶属关系:
- Federal Research Center “Kazan Scientific Center of the Russian Academy of Sciences”
- Kazan (Volga region) Federal University
- 期: 卷 88, 编号 12 (2024)
- 页面: 1969-1973
- 栏目: Nanooptics, photonics and coherent spectroscopy
- URL: https://bakhtiniada.ru/0367-6765/article/view/286558
- DOI: https://doi.org/10.31857/S0367676524120202
- EDN: https://elibrary.ru/EVAJLZ
- ID: 286558
如何引用文章
详细
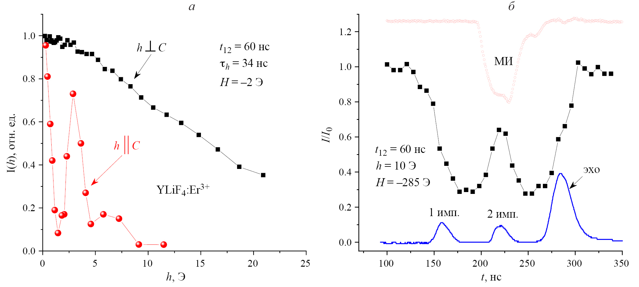
Studying the influence of nanosecond pulsed magnetic fields on the behavior of the photon echo in YLiF4: Er3+ and LuLiF4: Er3+ samples, it was found that the effect of the pulsed field strongly depends on the magnitude and direction of change of the constant magnetic field. An unexpected increase in the intensity of the photon echo is observed when two identical magnetic pulses are turned on, one after the first laser pulse, the second after the second laser pulse.
全文:
作者简介
А. Shegeda
Federal Research Center “Kazan Scientific Center of the Russian Academy of Sciences”
编辑信件的主要联系方式.
Email: shegedaam@gmail.com
Zavoisky Physical-Technical Institute
俄罗斯联邦, KazanS. Korableva
Kazan (Volga region) Federal University
Email: shegedaam@gmail.com
俄罗斯联邦, Kazan
O. Morozov
Federal Research Center “Kazan Scientific Center of the Russian Academy of Sciences”
Email: shegedaam@gmail.com
Zavoisky Physical-Technical Institute
Kazan参考
- Thiel C.W., Bottger T., Cone R.L. // J. Luminescence. 2011. V. 131. P. 353.
- Lauk N., Sinclair N., Barzanjeh Sh. et al. // Quantum Sci. Technol. 2020. V. 5. Art. No. 02050.
- MacFarlane R.M., Cassanho A., Meltzer R.S. // Phys. Rev. Lett. 1992. V. 69. P. 54.
- Gerasimov K.I., Minnegaliev M.M., Malkin B.Z. et al. // Phys. Rev. B. 2016. V. 94. Art. No. 054429.
- Minnegaliev M.M., Dyakonov I.Y., Gerasimov K.I. et al. // Laser Phys. Lett. 2018. V. 15. Art. No. 045207.
- Popova M.N., Klimin S.A., Moiseev S.A. et al. // Phys. Rev. B. 2019. V. 99. Art. No. 235151.
- Шегеда А.М., Кораблева С.Л., Морозов О.А. и др. // Письма в ЖЭТФ. 2023. Т. 117. № 4. С. 264, Shegeda A.M., Korableva S.L., Morosov O.A. et al. // JETP Lett. 2023. V. 117. No. 4. P. 267.
- Лисин В.Н., Шегеда А.М., Герасимов К.И. // Письма в ЖЭТФ. 2012. Т. 95. № 2. С. 67, Lisin V.N., Shegeda A.M., Gerasimov K.I. // JETP Lett. 2012. V. 95. No. 2. P. 61.
- Suttler J.P., Nemarich J. // Phys. Rev. B. 1971. V. 4. No. 1. P. 1.
- Пятаков А.П., Звездин А.К. // УФН. 2012. Т. 182. С. 593, Pyatakov A.P., Zvezdin A.K. // Phys. Usp. 2012. V. 55. P. 557.
- Нурмухаметов А.Р., Еремин М.В. // ЖЭТФ. 2022. Т. 162. С. 390, Nurmukhametov A.R., Eremin M.V. // J. Exp. Theor. Phys. 2022. V. 135. P. 339.
- Shimada Y., Kiyama H., Tokura Y. // Phys. Rev. B. 2007. V.75. Art. No. 245125.
补充文件




