Influence of an external magnetic field on the current density in a photon crystal from impurity carbon nanotubes under the action of a laser pulse
- Authors: Dvuzhilova Y.V.1, Dvuzhilov I.S.1, Kistenev Y.V.2
-
Affiliations:
- Volgograd State University
- National Research Tomsk State University
- Issue: Vol 88, No 12 (2024)
- Pages: 1887-1891
- Section: Nanooptics, photonics and coherent spectroscopy
- URL: https://bakhtiniada.ru/0367-6765/article/view/286478
- DOI: https://doi.org/10.31857/S0367676524120071
- EDN: https://elibrary.ru/EWREQU
- ID: 286478
Cite item
Full Text
Abstract
We developed a theoretical model of the interaction of a photonic crystal made of semiconductor carbon nanotubes and a three-dimensional extremely short laser pulse in the presence of an external magnetic field. Based on numerical simulations, pictures of the time evolution of current density in a medium containing multi-level impurity are shown. The dependences of the shape of the current density on the values of the external magnetic field and on the hopping integrals between impurity levels have been established.
Full Text
Введение
Интерес к периодическим структурам с фотонной запрещенной зоной, называемых фотонными кристаллами, появился еще в середине 1980-х годов, начиная с пионерских работ Е. Яблоновича [1] и С. Джона [2]. Рассматривается одномерный фотонный кристалл, приближенный к реальным условиям [3], что открывает возможности дальнейшего использования расчетов для выполнения экспериментальных исследований и в наукоемком производстве. Неидеальность фотонного кристалла может быть обусловлена наличием многоуровневой примеси в структуре углеродных нанотрубок (УНТ). Под многоуровневой примесью будем понимать примесь с несколькими энергетическими уровнями, которые лежат выше уровня Ферми [4]. Такие примеси способны оказывать существенное влияние на электронную структуру вещества и тем самым вызывать изменения свойств полупроводников [5, 6]. Отметим, что исследования динамики предельно коротких оптических импульсов в нелинейном периодическом массиве УНТ с примесью показаны в работе [7]. Под предельно короткими лазерными импульсами (ПКИ) понимаются солитоноподобные импульсы, содержащие менее 5 периодов колебаний электромагнитного поля [8—11] (например, в работе [11] показаны различные методы генерации ПКИ). Отметим, что для стандартных титан-сапфировых лазеров длительность импульса составляет 10—30 фс. Исследование эволюции плотности тока в фотонном кристалле на основе УНТ под действием ультракороткого лазерного импульса были показаны в работе [12]. Обозначенная актуальность исследований взаимодействия коротковолновых фемтосекундных импульсов с фотонными кристаллами и послужили стимулом для данной работы.
Основные уравнения
Геометрия задачи имеет следующий вид: направление распространения лазерного импульса совпадает с осью, вдоль которой имеется модуляция показателя преломления одномерного фотонного кристалла (ось oz), ток, возникающий в среде, электрическое поле импульса и внешнее магнитное поле направлены вдоль оси нанотрубок (┴ oz).
Отметим, что в данной задаче можно считать, что ток распределен равномерно и использовать приближение сплошной среды. Это справедливо, поскольку, размер области локализации импульса существенно превосходит размеры нанотрубок и расстояние между ними.
Матричная форма гамильтониана, с использованием структуры блочных матриц, рассматриваемой задачи в рамках нашей модели имеет вид [13]:
,
, ,
, , (1)
где – энергетический спектр УНТ, ti — величина уровня энергии примеси, — интегралы перескока между примесными уровнями и подрешетками УНТ. Далее, используя длинноволновое приближение, запишем эффективный Гамильтониан задачи [13]:
. (2)
Cобственные значения Гамильтониана (2):
, (3)
где коэффициенты зависят от интегралов перескока между примесными уровнями и подрешетками УНТ, — закон дисперсии π-электронов в зоне проводимости УНТ [14], который в присутствии внешнего магнитного поля, направленного параллельно оси нанотрубки, имеет вид:
(4)
— постоянная решетки углеродной нанотрубки, — магнитный поток через поперечное сечение трубки (Φ0 = ћc/e, где – скорость света, – заряд электрона), m — количество гексагонов по периметру нанотрубки, значение меняется от 1 до m. Более подробное объяснение математической модели, описывающей взаимодействие ПКИ с УНТ, в присутствии многоуровневой примеси, показано в работах [15, 16].
Для определения временной эволюции плотности тока в фотонном кристалле построим уравнение на вектор-потенциал трехмерного лазерного импульса:
(5)
здесь — периодический показатель преломления среды, т. е. фотонный кристалл, — скорость света. Вектор-потенциал имеет вид: , плотность электрического тока: . Выбор цилиндрической системы координат оправдан тем, что в задаче наблюдается цилиндрическая симметрия и производной по углу можно пренебречь, что детально показано в [17].
Выражение для плотности тока имеет вид:
(6)
где q — заряд, F — функция распределения, которая подчиняется кинетическому уравнению Больцмана и в нулевой момент времени совпадает с функцией распределения Ферми F0. Отметим, что в расчетах мы выбирали собственные значения эффективного Гамильтониана (2), соответствующие верхней зоне проводимости. Применив метод характеристик [18] для выражения (6), получим:
(7)
где ZB — первая зона Бриллюэна. Более детальный вывод для выражения плотности тока можно найти, например, в [19].
Начальные условия на вектор-потенциал выбирались в виде функции Гаусса, а показатель преломления фотонного кристалла моделировался в виде:
(8)
здесь — глубина модуляции показателя преломления, — период модуляции показателя преломления.
Результаты и их обсуждение
Численное моделирование временной эволюции плотности тока в среде фотонного кристалла на основе примесных УНТ в отсутствии и присутствии внешнего магнитного поля проводилось с помощью прямой конечно-разностной схемы типа «крест» [20], в которой выполняется условие Куранта. Точность решения превышает 0.01 %. При численном моделировании исследуемой системы, ее параметры выбирались следующим образом: = 13, T = 293 K [21], время релаксации в УНТ ≈ 10-11 c, длительность импульса ≈ 10-14 c, ширина импульса вдоль осей координат: — скорость входа ПКИ в среду фотонного кристалла. Параметры модуляции показателя преломления фотонного кристалла задавались следующим образом: глубина модуляции = 0.25, период модуляции = 2.5 мкм.
Картины динамики плотности тока в фотонном кристалле из УНТ, с учетом многоуровневой примеси, под действием лазерного импульса, показаны на рис. 1, отметим, что внешнее магнитное поле при этом отсутствует.
Рис. 1. Эволюция плотности тока в фотонном кристалле с примесными УНТ под действием лазерного импульса в фиксированные момент времени (а). Продольные срезы плотности тока (б).
Обратим внимание, что с течением времени, и прохождении предельно короткого лазерного импульса сквозь среду, ток приобретает кольцевую форму, что начинается с примерно 12 пс, и к 15 пс уже хорошо просматривается. Максимальная плотность тока концентрируется не только в месте расположения импульса, но в его модуляционной части. С течением времени максимальное значение плотности тока увеличивается до определенной величины, а затем перестает изменяться, выходя на плато, это происходит в силу периодичности закона дисперсии электронов.
Далее рассмотрим временную эволюцию плотности тока в присутствии внешнего магнитного поля, параллельного оси УНТ (рис. 2). Наличие внешнего магнитного поля существенно меняет картины плотности тока. Так, кольцевая форма тока появляется и отчетливо видна на времени уже в 10 пс. С увеличением величины магнитного поля область максимального тока «раздвигается» в пространстве, при этом увеличивается и ее амплитуда, что более наглядно заметно на рис. 3. Такой эффект вызывает изменение спектра электронов в УНТ. Продольные срезы плотности тока при различных значениях величины внешнего магнитного поля в фиксированный момент времени 10 пс также показаны на рис. 3.
Рис. 2. Эволюция плотности тока в фотонном кристалле с примесными УНТ под действием лазерного импульса, при различных значениях внешнего магнитного поля: Φ/Φ0 = 0.1 (а), 1 (б).
Рис. 3. Продольные срезы плотности тока, в момент времени 10 пс, для различных значений внешнего магнитного поля.
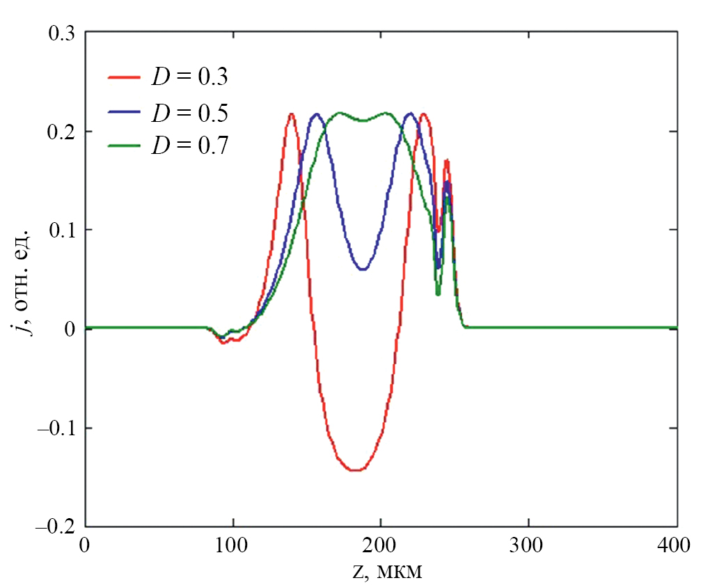
Далее, на рисунке 4 показаны зависимости продольных срезов плотности тока от величины интеграла перескока (параметр ), между примесными уровнями и уровнями УНТ. Параметр влияет на дисперсионное соотношение УНТ, и как следствие, на величину плотности тока. При его увеличении площадь, занимаемой плотности тока уменьшается, а также меняется ее форма, на наш взгляд это связано с тем, что возникает более сильная связь электронов, находящихся в зоне проводимости УНТ, с примесными уровнями.
Рис. 4. Продольные срезы плотности тока, в момент времени 10 пс, для различных значений параметра D.
Заключение
На основании результатов, полученных в рамках данного исследования, можно сделать следующий вывод. Величина внешнего магнитного поля, а также величина интеграла перескока между примесными уровнями и уровнями подрешеток УНТ оказывает существенное влияние на картину распределения плотности тока, такое изменение происходит за счет изменения закона дисперсии электронов в УНТ.
Исследование выполнено при финансовой поддержке Министерства науки и высшего образования Российской Федерации (договор № 075-15-2024-557 от 25.04.2024).
About the authors
Yu. V. Dvuzhilova
Volgograd State University
Email: dvuzhilov.ilya@volsu.ru
Russian Federation, Volgograd
I. S. Dvuzhilov
Volgograd State University
Author for correspondence.
Email: dvuzhilov.ilya@volsu.ru
Russian Federation, Volgograd
Yu. V. Kistenev
National Research Tomsk State University
Email: dvuzhilov.ilya@volsu.ru
Russian Federation, Tomsk
References
- Yablonovitch E. // Phys. Rev. Lett. 1987. V. 58. P. 2059.
- John S. // Phys. Rev. Lett. 1987. V. 58. P. 2486.
- Johri M., Ahmed Y.A., Bezboruah T. // Current Sci. 2007. V. 92. P. 1361.
- Hu E.T., Yue G.Q., Zhang R.J. et al. // Renew. Energy. 2015. V. 77. P. 442.
- Mantsevich V.N., Maslova N.S. // Письма в ЖЭТФ. 2010. V. 91. No. 3. P. 150.
- Mantsevich V.N., Maslova N.S. // Solid State Commun. 2010. V. 150. P. 2072.
- Dvuzhilova Yu.V., Dvuzhilov I.S., Konobeeva N.N. et al. // Roman. Rep. Phys. 2023. V. 75. P. 406.
- Fibich G., Ilan. B. // Opt. Letters. 2004. V. 29. No. 8. P. 887.
- Кившарь Ю.С., Агравал Г.П. Оптические солитоны. От световодов к фотонным кристаллам. М.: Физматлит, 2005. 648 с.
- Сазонов С., Халяпин В. Предельно короткие импульсы в анизотропных средах. London: LAMBERT Academic Publishing, 2011. 112 p.
- Архипов Р.М., Архипов М.В., Шимко А.А. и др. // Письма в ЖЭТФ. 2019. Т. 110. № 1. С. 9, Arkhipov R.M., Arkhipov M.V., Shimko A.A. et al. // JETP Lett. 2019. V. 110. No. 1. P. 15.
- Двужилова Ю.В., Двужилов И.С., Конобеева Н.Н. и др. // Изв. РАН. Сер. физ. 2023. Т. 87. № 12. С. 1754, Dvuzhilova Yu.V., Dvuzhilov I.S., Konobeeva N.N. et al. // Bull. Russ. Acad. Sci. Phys. 2023. V. 87. No. 12. P. 1833.
- Cortijo A., Guinea F., Vozmediano M.A.H. // J. Phys. A. Math. Theor. 2012. V. 45. Art. No. 383001.
- Dresselhaus M.S., Dresselhaus G., Eklund P.C. Science of fullerenes and carbon nanotubes. San Diego: Academic Press, 1996. 965 p.
- Zhukov A.V., Bouffanais R., Konobeeva N.N. et al. // Europhys. Lett. 2014. V. 106. P. 37005.
- Konobeeva N.N., Belonenko M.B. // Mod. Phys. Lett. B. 2017. V. 31. No. 2. Art. No. 1750005.
- Zhukov A.V., Bouffanais R., Fedorov E.G. et al. // J. Appl. Phys. 2013. V. 114. P. 143106.
- Волощенко Ю.И., Рыжов Ю.Н., Сотин В.Е. // ЖТФ. 1981. Т. 51. С. 902.
- Белоненко М.Б., Невзорова Ю.В., Двужилов И.С. // Опт. и спектроск. 2017. Т. 123. № 1. С. 116, Belonenko M.B., Nevzorova Yu.V., Dvuzhilov I.S. // Opt. Spectrosc. 2017. V. 123. No. 1. P. 111.
- Bakhvalov N.S. Numerical methods: analysis, algebra, ordinary differential equations. Moscow: Mir, 1997.
- Zhukov A.V., Bouffanais R., Malomed B.A. et al. // Phys. Rev. A. 2016. V. 94. Art. No. 053823.
Supplementary files






