Algorithm for calculating the transmission coefficient through periodic one-dimensional and two-dimensional nanostructures
- Authors: Sadykov N.R.1, Skryabin S.N.1
-
Affiliations:
- Snezhinsky Institute of Physics and Technology National Research Nuclear University Moscow Energy Physics Institute
- Issue: Vol 88, No 12 (2024)
- Pages: 1866-1872
- Section: Nanooptics, photonics and coherent spectroscopy
- URL: https://bakhtiniada.ru/0367-6765/article/view/286465
- DOI: https://doi.org/10.31857/S0367676524120045
- EDN: https://elibrary.ru/EXJMKB
- ID: 286465
Cite item
Full Text
Abstract
The numerical algorithm for calculating the transmission function was implemented based on the numerical method of searching for energy levels and eigenwave functions of stationary states for Schrödinger particles. The program has been tested on well-known analytical and numerical solutions. Nanoribbon and chiral liquid crystal considered as two-dimension nanostructures. Results can be used to generalize on waveguide: the problem of calculating the eigenfunctions and propagation constants of guided modes.
Full Text
Введение
Процесс распространения электромагнитных волн или электронный транспорт в периодических средах в настоящее время является актуальной задачей в наноэлектронике. Полупроводниковые квантово-размерные структуры, в частности, гетероструктуры с квантовыми ямами и барьерами, занимают лидирующие позиции в качестве материалов для опто- и наноэлектроники [1, 2]. Возникающий при этом эффект резонансного туннелирования в тонкопленочных гетероструктурах является основой создания целого ряда новых резонансно-туннельных приборов, в частности, большой интерес представляет резонансное прохождение носителей заряда сквозь периодическую структуру [3]. Задача о распространении электромагнитных волн в периодической слоистой среде с цилиндрической симметрией предполагает решение уравнений Максвелла с целью определения электрических и магнитных полей в областях, заполненных диэлектриком и металлом. На плоскопараллельных и цилиндрических границах раздела сред в металлодиэлектрических наноструктурах, в том числе — в металлических нанопленках и нанопроволоках с многослойной оболочкой, возможно возбуждение поверхностных плазмон-поляритонов [4]. В последние годы эффекты резонансного туннелирования и рассеяния носителей заряда в полупроводниковых гетероструктурах стали широко использоваться при разработке всевозможных приборов оптической и квантовой электроники [5—7]. В частности, эффекты резонансного туннелирования лежат в основе разрабатываемых в настоящее время новых устройств связи, детекторов, а также компактных излучателей, работающих в терагерцовом диапазоне длин волн [8—10]. Источники полевой электронной эмиссии (FE) востребованы во многих практических приложениях: в рентгеновских устройствах, источниках электронов для микроволнового оборудования, генераторах и детекторах терагерцового излучения, компактных масс-спектрометрах, автоэмиссионных индикаторах и дисплеях, а также при создании нового класса электровакуумныx приборов [11—14]. В последние десятилетия интенсивно исследуются углеродные наноматериалы в качестве автоэмиттеров в силу их уникальных свойств.
В случае транспорта за счет баллистического механизма электронов реализуется квантовое туннелирование частиц, когда энергия частиц в отличие от классического случая меньше энергии потенциального барьера (применительно к углеродным наночастицам — это парадокс Клейна в графене). При туннелировании электронов за счет баллистического механизма, а также при вычислении тока, важной величиной является зависимость функции прохождения от величины энергии носителей заряда в наноструктурах [15—17], где при баллистическом транспорте длина нанотрубок меньше, чем ≈1 мкм, а ток через нанотрубку вычисляется по формуле Ландауэра—Бутикера [18]. В этой связи возникает насущная необходимость в разработке простых численных методов, позволяющих в рамках одночастичной квантовой механики анализировать эффекты туннелирования носителей заряда через одиночные и множественные потенциальные барьеры произвольной формы.
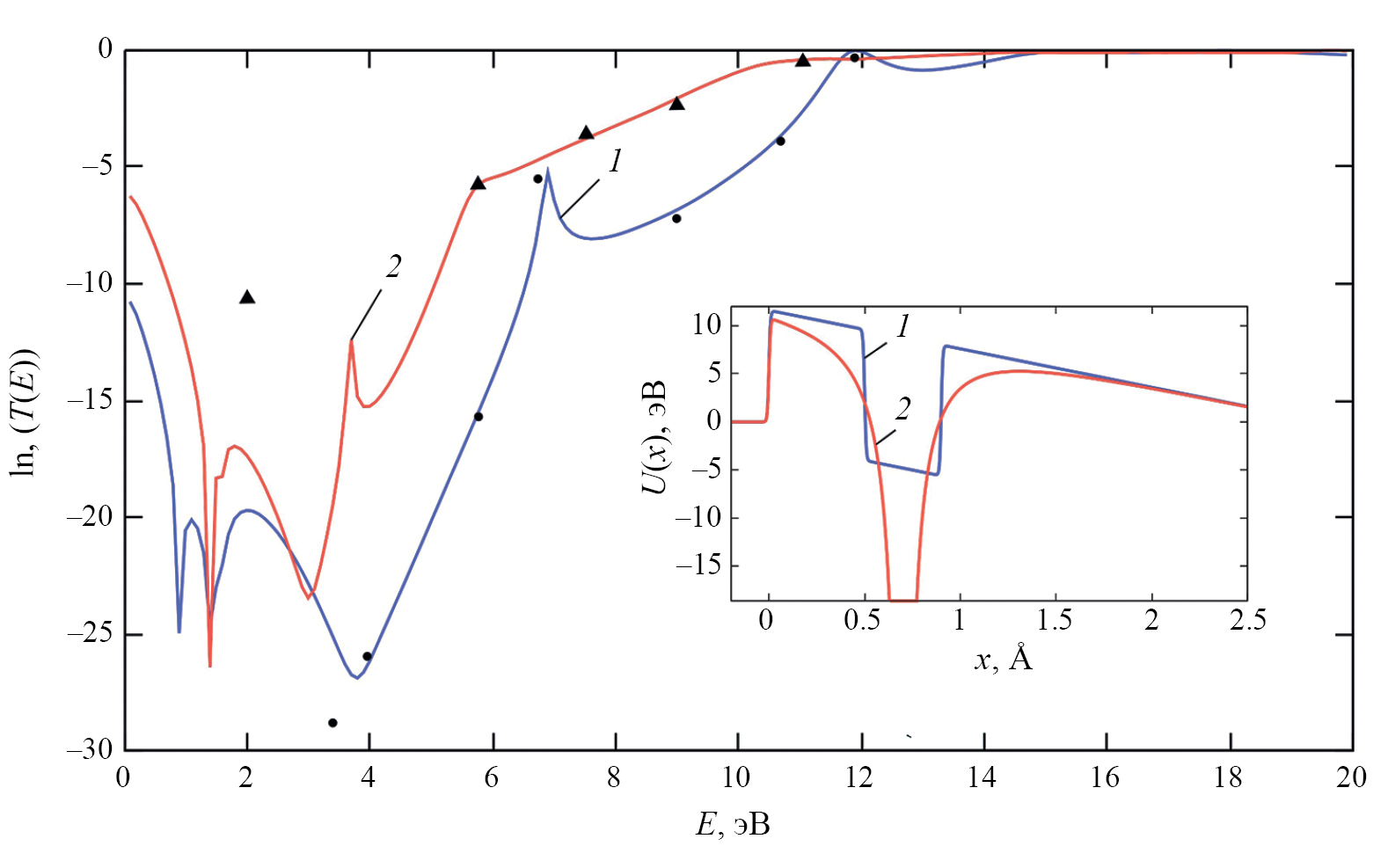
В данной работе исходя из метода поиска собственных значений и собственных функций (метод обратных итераций со сдвигом или модифицированый метод Виландта [19, 20]) стационарных состояний для уравнения Шредингера реализован алгоритм вычисления функции пропускания в материалах Шредингера нанометрового диапазона. Результаты частично обобщены или предлагается обобщить на случай двумерных потенциальных ям: скрученная нанолента [21], поверхность Дини [22] или холестерик [23], периодическая структура, зависящая от продольной и поперечной координат в цилиндрической системе координат. Следует подчеркнуть, что в случае скрученной наноленты задачу собственных значений и собственных функций невозможно свести к методу разделения переменных. В качестве иллюстрации отметим, что реализованный алгоритм использовался для расчета функции прохождения в логарифмическом масштабе: на рис. 1 кривые 1 и 2 соответствуют потенциалам 1 и 2, изображенным на врезке. Маркеры «круг» и «треугольник» соответствуют аналитическим кривым, которые приведены в работе [24, рис. 36]. Тестирование выполнялось также с другими профилями потенциальных энергий, в частности, проведен расчет коэффициента прохождения через прямоугольный потенциальный барьер по аналогии с работой [15]. Сам метод поиска собственных значений и собственных функций стационарных состояний, на основе которого реализован алгоритм вычисления функции пропускания, был в свое время протестирован на осесимметричных волноводах [25, 26], на квантовых точках планарной, цилиндрической и сферической геометрий [27].
Рис. 1. Зависимость функции прохождения от энергии в логарифмическом масштабе для изображенных на врезке потенциалов 1 и 2.
Описание алгоритма
Суть алгоритма вычисления функции прохождения состоит в следующем. В одномерном случае будем искать решение волновой функции в виде
Φ(t,x) = Ψ(t,x)exp(-iE/ћ), (1)
где параметр сдвига в методе обратных итераций. В результате для планарного случая получаем одномерное нестационарное уравнение Шредингера с соответствующими краевыми и начальными условиями
,
-L/2 ≤ x ≤ L/2,
Ψ(t, x = ± L/2), Ψ(t = 0, x) = f(x). (2)
В (2) для планарного (плоского) случая , – регулярная функция от переменной x. Будем искать решение для уравнения (2) методом разделения переменных
,
(3)
где Em и Ψm — уровень энергии и собственная функция стационарного состояния. Для уравнения (2) на отрезках -L/2 ≤ x |≤ L/2 и 0 ≤ t ≤ t0 введем сеточную функцию Ψj(i) = Ψ(t = tj, x = xi) на равномерной сетке
(4)
и аппроксимируем нестационарное уравнение Шрeдингера (2) двухслойной разностной схемой с весом σ
(5)
В случае последовательных итераций для коэффициентов разложения сеточной функции с учетом (3) из (5) получим равенство
(6)
В случае неявной разностной схемы σ = 1 из (6) следует степенная зависимость для коэффициентов разложения
(7)
Из (7) следует, что при выполнении условий (Em - E) → 0, τ → ∞ и (Em - E)τ = const решение будет по степенному закону сходиться к стационарному m — состоянию. Таким образом зная два краевых условия (на левой и правой границах) можно определить уровень энергии Em стационарного m — состояния. Часто, например, в случае полевой эмиссии, проблематично сформулировать краевое условие на правой границе. Так как исходя из двух краевых условий можно определить уровень энергии состояния, то исходя из краевого условия на левой границе (одно граничное условие) и заданного значения параметра энергии E = Em можно вычислить краевое условие на правой границе, т. е. найти собственную функцию Ψm m — состояния. Для вычисления функции прохождения необходимо знать два независимых решения уравнения Шредингера. Для того, чтобы вычислить первое решение Ψm = y1(x), мы на левой границе задавали первое краевое условие и при фиксированном значении параметра энергии E = const в разностном уравнении (5) методом прямой прогонки вычислялась первое решение. Далее решение уточнялось методом обратных итераций (модифицированный метод Виландта [19, 20]) исходя из алгоритма поиска собственных значений и собственных функций стационарных состояний. Для второго решения Ψm = y2(x) на левой границе задавалось второе краевое условие.
Функция потенциальной энергии, приведенная на врезке на рис. 2, соответствует случаю полевой эмиссии с поверхности уединенной нанотрубки. На рис. 2а показана расчетная зависимость функции пропускания от энергии E во внешнем электрическом поле, где потенциальная энергия в области нанотрубки имеет треугольный профиль
(8)
где U5 = EF — уровень Ферми металлического катода, U6 — уровень Ферми CNT, точка L3 находится на таком расстоянии от L2, чтобы выполнялось ассимптотическое разложение функции Эйри (см. [28], рис. 2). На рис. 2б показана расчетная зависимость функции пропускания от энергии E для случая, когда мы аппроксимируем потенциальную энергию в нанотрубке (штриховая линия на вставке, рис. 2) мелкой прямоугольной потенциальной ямой (сплошная линия на вставке, рис. 2). Из результатов расчетов, которые приведены на рис. 2, следует полное совпадение с результатами работ (см. [16, 29], рис. 3б): на рис. 2 кривые 1, 2 и 3 — это результаты наших расчетов, полученные с помощью реализованной программы, маркеры «звездочка», «круг» и «квадрат» представляют собой результаты расчетов, полученные в [16]. Результаты, приведенные на рис. 2a, незначительно отличаются количественно по сравнению с результатами, показанными на рис. 2б. Существует также небольшое качественное отличие: сдвиг максимумов по горизонтали, в результате чего на рис. 2a в отличие от рис. 2б не видно вершины третьего максимума. Такое отличие объясняется тем, что на рис. 2a для случая внешнего электрического поля используется зависимость для потенциальной энергии с треугольным профилем. Следует отметить, что отличие потенциалов в данной работе (см. врезки на рисунках 2a и 2b) приводит к тому, что функции прохождения τ(E) смещаются друг относительно друга вдоль оси энергии E.
Рис. 2. Зависимость функции прохождения от энергии E. Кривые 1, 2 и 3 соответствуют нанотрубкам длиной L1 = 3.5, 7 и 14 нм, соответственно.
На рис. 3 приведена расчетная зависимость коэффициента прохождения от энергии E для периодической потенциальной ямы U(x)
(9)
где U0 = 0.1 эВ, a = 3.5 нм, b = 0.6 нм, d = a + b = 4.1 нм, d — длина периода, количество периодов N = 9. Из рис. 3 видно, что количество осцилляций между двумя большими минимумами располагается (N - 1) дополнительных максимумов, разделенных по аналогии с дифракционной решеткой вторичными минимумами.
Рис. 3. Расчетная зависимость функции прохождения в случае потенциала с периодическим профилем.
Задачу вычисления функции прохождения в этой работе предлагается обобщить на случай двумерной потенциальной функции. В связи с этим для двумерного потенциала реализован модифицированный метод Виландта (метод обратных итераций со сдвигом) по аналогии с одномерным потенциалом [19, 20]. Следует подчеркнуть, что в общем случае двумерной потенциальной ямы задачу поиска собственных функций и уровней энергии стационарных состояний невозможно свести к методу разделения переменных. В качестве примера рассмотрим случай двумерной потенциальной ямы скрученную наноленту [21]. Если нестационарное уравнение Шредингера в геликоидальной системе координат (скрученная нанолента) [21] (см. также [29])
(10)
с краевыми условиями аппроксимировать неявной двухслойной разностной схемой и реализовать итерационный процесс, то решение волновой функции в результате последовательных итераций сходится к функции стационарного состояния. В (10) поле W направлено вдоль продольной координаты q2, где L = 10H и H = 1.23 нм есть длина и ширина наноленты, кручение наноленты, E = const — параметр сдвига. На рис. 4a показана зависимость волновой функций стационарного состояния при nx = 1 и ny = 3 от поперечной q1 и продольной q2 координат, соответственно, в скрученной наноленте при отсутствии продольного электрического поля W с учетом поверхностного потенциала для частиц. На рис. 4б, приведена аналогичная зависимость при наличии продольного электрического поля W = 108 В/м.
Рис. 4. Волновая функция состояния |nx = 1⟩, |ny = 3⟩. W = 0, Enx = 1, ny = 3 = −6.13926 эВ (а). W = 108 В/м, Enx = 1, ny = 3 = −6.5737 эВ (б).
Далее для удобства проведения теоретического анализа при реализации алгоритма вычисления функции прохождения в случае двумерной потенциальной ямы по аналогии с [21] (случай узкой ленты ) в последнем слагаемом в левой части (10) заменим выражение на единицу. В результате уравнение (10) преобразуется к виду
(11)
В этом случае к уравнению (11) можно применить метод разделения переменных . В результате получим систему уравнений для собственных функций и
(12)
где уровни энергии nx — состояния в поперечном направлении, уровни энергии ny — состояния в продольном направлении. Далее, исходя из краевых условий и используя алгоритм поиска функций и уровней энергии стационарных состояний по аналогии с одномерным потенциалом можно найти два независимых решения внутри наноленты. Если падающую и отраженную волны в области левее наноленты, а также прошедшую волну правее наноленты взять пропорциональными функции , то задача поиска сводится к случаю одномерного потенциала. Всю проведенную выше процедуру вычисления функции прохождения, которая реализуется на основе двух одномерных задач (12), можно упростить, если для вычисления уровней энергии и функций состояния воспользоваться реализованным двумерным модифицированным методом Виландта (см. рис. 4). На рис. 5 приведена зависимость расчетной функции прохождения через скрученную наноленту (через двумерную потенциальную яму исходя из (11) и (12)) по аналогии с [21] для состояний с квантовым числом nx = 1.
Рис. 5. Зависимость функции прохождения от энергии для состояний |nx = 1⟩ при наличии продольного электрического поле W = 108 В/м.
Заключение
Таким образом, реализован алгоритм вычисления функции прохождения в случае произвольного потенциального поля как в одномерном, так и в двумерном случаях (в двумерном случае на данный момент времени рассмотрена задача для состояний с квантовым числом nx = 1). Реализованный алгоритм можно применить как к наноструктурам, так и к оптическим системам. В частности, это относится к актуальной задаче распространения электромагнитных волн [30] или электронного транспорта в гетероструктурах (каскадные лазеры [31]). В работе [30] предлагается использовать квазипериодическую структуру из микрополостей в сердцевине волокна в качестве рассеивателя в медицинских приложениях и как чувствительный элемент волоконно-оптических датчиков. В случае оптики в качестве примера можно привести многослойные суперхолестерики [23, 32], волноводы с сердцевиной произвольной геометрии, волноводы с периодически возмущенной сердцевиной, в том числе не синусоидальные возмущения [33]). Сам метод поиска собственных значений и собственных функций, на основе которого реализован алгоритм вычисления функции прохождения, при аппроксимации двухслойной схемы схемой Кранка—Никольсона можно использовать также для моделирования процесса распространения излучения как в световодах с периодически возмущенной сердцевиной [33]), так и в удлиненных наночастицах. Результаты [33] можно обобщить на случай «периодически возмущенной» потенциальной энергии в продольном направлении и моделирование процесса распространения носителей заряда можно обобщить на удлиненные наночастицы или на наноструктуры. В последние годы значительное внимание уделяется исследованию диэлектрических метаповерхностей, обладающие исключительными возможностями управления светом (включая циркулярную поляризацию), которые могут быть легко интегрированы со сверхтонкими метаповерхностями, что позволяет нам создать сверхкомпактные лазеры с круговой поляризацией излучения [34, 35, 36].
Авторы статьи благодарят Национальный исследовательский ядерный университет МИФИ за поддержку, оказанную в рамках Программы повышения конкурентоспособности «Проект 5-100» (договор № 02.a03.21.0005.27.08.2013).
About the authors
N. R. Sadykov
Snezhinsky Institute of Physics and Technology National Research Nuclear University Moscow Energy Physics Institute
Author for correspondence.
Email: n.r.sadykov@rambler.ru
Snezhinsk
S. N. Skryabin
Snezhinsky Institute of Physics and Technology National Research Nuclear University Moscow Energy Physics Institute
Email: n.r.sadykov@rambler.ru
Russian Federation, Snezhinsk
References
- Демиховский В.Я., Вугальтер Г.А. Физика квантовых низкоразмерных структур. М.: Логос, 2000. 248 с.
- Дегтярев В.Ф., Жилинский А.П. // Нанострукт. Матем. физ. и моделир. 2020. Т. 21. № 2. С. 33.
- Драгунов В.П., Неизвестный И.Г., Гридчин В.А. Основы наноэлектроники. Новосибирск: НГТУ, 2000. 331 с.
- Селина Н.В. // Нанострукт. Матем. физ. и моделир. 2018. Т. 18. № 1. С. 33.
- Давидович М.В. // ЖТФ. 2022. Т. 92. № 9. С. 1387, Davidovich M.V. // Tech. Phys. 2022. V. 67. No. 9. P. 1196.
- Давидович М.В. // ЖТФ. 2023. Т. 93. № 4. С. 495, Davidovich M.V. // Tech. Phys. 2023. V. 68. No. 4. C. 462.
- Krive I.V., Palevski A., Shekhter R.I., Jonson M. // Low Temp. Phys. 2010. V. 36. No. 2. P. 119.
- Wang J., Naftaly M., Wasige E. // Appl. Sciences. 2022. V. 12. P. 3822.
- Asada M., Suzuki S. // Sensors. 2021. V. 21. P. 1384.
- Grishakov K., Katin K., Maslov M. // Appl. Sciences. 2023. V. 13. P. 3007.
- Parmee R.J., Collins C.M., Milne W.I., Cole M.T. // Nano Convergence. 2015. V. 2. P. 1.
- Evtukh A., Hartnagel H., Yilmazoglu O., Mimura H., Pavlidis D. Vacuum nanoelectronic devices: novel electron sources and applications. West Sussex: John Wiley & Sons Ltd., 2015. 464 p.
- Egorov N.V. Sheshin E.P. Field emission electronics. Springer Series in Advanced Microelectronics. Switzerland, 2017. 568 p.
- Елецкий А.В. // УФН. 2010. Т. 180. С. 897, Eletskii A.V. // Phys. Usp. 2010. V. 53. P. 863.
- Захарченко М.В., Глинский Г.Ф. // «Журнал технической физики». 2023. Т. 93. № 10. С. 1396, Zakharchenko M.V., Glinskii G.F. // Technical Physics. 2023. Vol. 68. No. 10. Р. 1297.
- Sadykov N.R., Khrabrov R.S., Pilipenko I.A. // Eur. Phys. J. D. 2023. V. 77. Art. No. 9.
- Кусмарцев Ф.В., Кревчик В.Д., Семенов М.Б. и др. // Письма в ЖЭТФ. 2016. Т. 104. № 6. С. 406, Kusmartsev F.V., Krevchik V.D., Semenov M.B. et al. // JETP Lett. 2016. V. 104. No. 6. P. 392.
- Buttiker M. // Phys. Rev. B. 1992. V. 46. P. 12485.
- Wielandt H. // Math. Z. 1944. V. 60. P. 93.
- Икрамов Х.Д. Несимметричная проблема собственных значений: численные методы. М.: Наука, 1991. 240 с.
- Скрябин С.Н., Петрова Ю.А., Садыков Н.Р. // Письма в ЖЭТФ. 2024. Т. 50. № 15. С. 41, Skryabin S.N., Petrova Y.A., Sadykov N.R. // Tech. Phys. Lett. 2024. V. 50. No. 8. P. 37.
- Schmidt A.G.M., Pereira M.E. // Phys. Lett. A. 2024. Т. 517. Art. No. 12967.
- Беляков В.А. // Нанострукт. Матем. физ. и моделир. 2014. Т. 10. № 2. С. 41.
- Jensen Kevin L. Electron emission physics. Advances in imaging and electron physics. V. 149. Academic Press, 2007. 338 p.
- Ардашева Л.И., Садыков Н.Р., Черняков В.Е. // Квант. электрон. 1992. Т. 19. № 9. С. 903, Ardasheva L.I., Sadykov N.R., Chernyakov V.E. // Sov. J. Quantum. Electron. 1992. V. 22. No. 9. P. 840.
- Афанасьев А.Н., Мялицин Л.А., Садыков Н.Р., Садыкова М.О. // Изв. вузов. Физ. 2005. Т. 48. № 1. С. 11, Afanas’ev A.N., Myalitsin L.A., Sadykov N.R., Sadykova M.O. // Russ. Phys. J. 2005. V. 48. No. 1. P. 10.
- Юдина Н.В., Садыков Н.Р. // Вестн. НИЯУ МИФИ. 2017. Т. 6. № 6. С. 512.
- Stern T.E., Gossling B.S., Fowler R.H. // Proc. Royal. Soc. London A. 1929. V. 124. P. 699.
- Садыков Н.Р., Петрова Ю.А., Пилипенко И.А. и др. // Журн. хим. физики. 2023. Т. 97. № 2. С. 1., Sadykova N.R., Petrova Yu.A., Pilipenko I.A. et al. // Russ. J. Phys. Chem. A. 2023. V. 97. No. 2. P. 367.
- Petukhova A.Y., Perminov A.V., Starikova V.A., Konina Y.A. // Bull. Russ. Acad. Sci. Phys. 2024. V. 88. No. 6. P. 1000.
- Казаринов Р.Ф., Сурис Р.А.// ФТП. 1971. № 4. С. 797.
- Weiglhofert W.S., Lakhtakia A. // J. Phys. D. Appi. Phys. 1993. V. 26. P. 2117.
- Дремов В.В., Садыков Н.Р. // Опт. и спектроск. 1996. Т. 80. № 5. С. 814, Dremov V.V., Sadykov N.R. // Opt. Spectrosc. 1996. V. 80. No. 5. P. 731.
- Maksimov A.A., Filatov E.V., Tartakovskii I.I. et al. // Phys. Rev. Appl. 2022. V. 17. Art. No. L021001.
- Максимов А.А., Тартаковский И.И. // Изв. РАН. Сер. физ. 2024. Т. 88. № 2. С. 185, Maksimov A.A., Tartakovskii I.I. // Bull. Russ. Acad. Sci. Phys. 2024. V. 88. No. 2. P. 156.
- Максимов А.А., Филатов Е.В., Тартаковский И.И. // Изв. РАН. Сер. физ. 2021. Т. 85. № 2. С. 241, Maksimov A.A., Filatov E.V., Tartakovskii I.I. // Bull. Russ. Acad. Sci. Phys. 2021. V. 85. No. 2. P. 176.
Supplementary files







