Metamagnetism of itinerant electrons in the Hubbard model for the fcc lattice caused by the van Hove singularity
- Authors: Vasilevskiy F.A.1,2, Igoshev P.A.1, Irkhin V.Y.1
-
Affiliations:
- Institute of Metal Physics of the Ural Branch of the Russian Academy of Sciences
- Ural Federal University
- Issue: Vol 88, No 9 (2024)
- Pages: 1445–1450
- Section: Condensed Matter Physics
- URL: https://bakhtiniada.ru/0367-6765/article/view/283416
- DOI: https://doi.org/10.31857/S0367676524090161
- EDN: https://elibrary.ru/OCXZCH
- ID: 283416
Cite item
Full Text
Abstract
We investigated the itinerant metamagnetic phase transition in metals within the Hubbard model for a face-centered cubic lattice. The ratio of the transfer integral between the nearest and next-to-nearest neighbors is chosen to provide strong van Hove singularity in the density of states. The magnetic field dependencies of magnetization in the transition region are obtained, and the influence of model parameters on the character of the phenomenon is investigated.
Full Text
Введение
Данная работа посвящена исследованию фазового перехода, при котором магнитно неупорядоченная система зонных электронов под действием магнитного поля (внешнего или эффективного) скачком переходит в магнитоупорядоченное состояние. Явление, при котором происходит такой переход, называется зонным метамагнетизмом [1]. Понятие зонного метамагнетизма качественно отличается от понятия метамагнетизма в модели локализованных моментов, где метамагнитный переход — это переход в поле из антиферромагнитного в ферромагнитное состояние [2].
Свойства зонных магнетиков сильно зависят от особенностей их зонной структуры, поэтому необходимым для существования метамагнетизма является наличие особенности в энергетической зависимости плотности электронных состояний (DOS), которая должна иметь положительную кривизну на уровне Ферми [2, 3]. Одним из механизмов реализации такой особенности может быть наличие сингулярностей ван Хова в электронном спектре кубических решеток в приближении ближайших и следующими за ближайшими соседями [4–6]. Типичными примерами зонных метамагнетиков являются соединения, такие как CoS2 [7, 8], Y(Co1−xAlx)2 [9–12], LuCo2 [13, 14], UCoFeAl [15–17] и материалы с гигантским магнитокалорическим эффектом, такие как MnAs [18], Gd5Ge2Si2 [19, 20] и MnFeP1−xAsx [20].
Для объяснения возникновения метамагнитного фазового перехода можно рассмотреть теорию фазовых переходов Ландау, где разложение свободной энергии имеет вид
, (1)
где 𝑚 — намагниченность, ℎ — магнитное поле. Если рассматривать ситуацию, когда 𝑎2 > 0, 𝑎4 < 0, 𝑎6 > 0, то в отсутствие поля ℎ = 0, у свободной энергии возникает два локальных минимума 𝑚1 = 0 и 𝑚2 > 0, причем 𝐹(𝑚1) < 𝐹(𝑚2), что соответствует парамагнитному состоянию. При включении поля уровни свободной энергии понижаются и при определенном значении ℎ уровни минимумов 𝐹(𝑚1) = 𝐹(𝑚2), намагниченность изменяется скачком, что и говорит о возникновении фазового перехода первого рода — метамагнитном переходе. Проанализировав разложение Ландау, можно определить соотношения между коэффициентами разложения, при которых будет возникать метамагнетизм [3]
. (2)
Описание метамагнетизма с помощью разложения Ландау возможно только в случае малой намагниченности; такому подходу посвящено большое количество работ [2, 3, 21–27]. В работах [28–31] рассматривается микроскопический подход исследования метамагнетизма. В [32] исследуется возможность ферромагнитного упорядочения в невырожденной модели Хаббарда на гранецентрированной кубической решетке (ГЦК) в рамках метода функциональной ренормгруппы, в спектре учитываются соотношения интегралов переноса между узлами, которые обеспечивают возникновение гигантской сингулярности ван Хова плотности состояний. В частности, показано, что учет корреляционных эффектов возможен для построения фазовой диаграммы для трехмерных решеток в рамках теории Стонера путем перенормировки параметра электрон-электронного взаимодействия U, учитывающей его экранирование в частично-частичном канале. В работах [5, 6] для примитивной и объемноцентрированной кубических решеток также были найдены гигантские сингулярности ван Хова при некоторых соотношениях параметров переноса, соответствующих расходимости плотности электронных состояний как обратный корень четвертой степени из энергии, что является более слабой сингулярностью, чем имеющаяся для ГЦК решетки (обратный квадратный корень из энергии) при отношении интегралов переноса, равном –0.5 (см. далее). Отклонение от этого отношения приводит к замене расходимости плотности электронных состояний на дне зоны на плато, что является достаточно реалистичным сценарием для реально существующих соединений. Работы [33, 34] посвящены исследованию зонного метамагнетизма в соединении LuCo3. Расчеты, выполненные в рамках теории функционала плотности, показывают, что переход обусловлен значительным изменением заполненности электронных 3d-состояний. Скачок намагниченности соответствует переходу из низкоспинового в высокоспиновое состояние, по причине того, что уровень Ферми проходит через резкий пик плотности 3d-состояний при включении магнитного поля.
В данной статье представлено исследование метамагнитного фазового перехода в зонном ферромагнетике, имеющем сингулярности ван Хова в электронном спектре, для гранецентрированной кубической решетки в рамках теории среднего поля для модели Хаббарда в приближении ближайших и следующих за ближайшими соседями. Исследована фазовая диаграмма ферромагнетик–парамагнетик, а также род перехода в зависимости от существенных параметров (𝑈, 𝑛).
Спектр и модель
Мы используем гамильтониан невырожденной модели Хаббарда
, (3)
где 𝑡ij — интеграл переноса между ближайшими (−𝑡) и следующими за ближайшими (−𝑡′) соседями для ГЦК решеткиB, ℎ = μB𝐻 – магнитное поле в энергетических единицах, σ – 𝑧-проекция спина, 𝑎†,𝑎 – операторы рождения, уничтожения электрона на узле, 𝑛iσ = 𝑎†iσ 𝑎iσ оператор числа электронов на узле, имеющих проекцию спина σ. Учета только этих двух интегралов переноса достаточно, чтобы моделировать гигантскую сингулярнось ван Хова, возникающих для ГЦК решетки [4, 32]. Затравочный электронный спектр (где N – число узлов в решетке) в единицах 𝑡 имеет вид
(4)
где введено обозначение τ = 𝑡′/𝑡. Параметр τ регулирует ширину плато ван Хова и кривизну функции ρ(𝐸). Последняя оказывается достаточно выраженной при τ достаточно близком к −0.5 (см. рис. 1) [4].
Рис. 1. Плотность состояний ρ(𝜖) при τ = −0.52. Вертикальными линиями ограничена область, где наблюдается метамагнитный переход при 𝑈 =1.50 𝑡. На вставке изображена область плотности состояний, где рассматривался метамагнетизм.
Ниже мы исследуем термодинамику метамагнитного перехода в приближении среднего поля. Свободная энергия в этом приближении имеет вид [35]
(5),
где свободная энергия электронного газа
(6)
определяется через термодинамический потенциал электронного газа
(7)
являющийся функцией уровня Ферми 𝐸F = 𝐸F(𝑛, 𝑚) и «среднего» магнитного поля Δ = Δ(𝑛, 𝑚), определяемых из условий
(8)
. (9)
Для нахождения магнитных свойств системы в такой модели численно решалась система уравнений
(10)
(11)
для намагниченности 𝑚 и химпотенциала μ при заданных значениях 𝑈, электронной концентрации 𝑛 и поля ℎ. Здесь – функция Ферми, – плотность электронных состояний (DOS). Если решений получалось несколько, выбиралось то, которому соответствует наименьшая свободная энергия (5).
Уравнения (10), (11), вообще говоря, имеют несколько решений:
𝑚 = 𝑚i(𝑛, ℎ). (12)
Точка метамагнитного перехода соответствует тому, что два различных решения (12) имеет равную свободную энергию в магнитном поле ℎ > 0:
(13)
Уравнение (13) можно рассматривать как уравнение на критическое магнитное поле ℎ = ℎc(𝑛).
Заметим, что широко известный критерий Стонера
𝑈 ∙ 𝜌(𝐸F) > 1 (14)
соответствует условия существования локального максимума свободной энергии 𝐹(𝑛, ℎ = 0|𝑚) в нулевом магнитном поле, см (5), при 𝑚 = 0.
Результаты
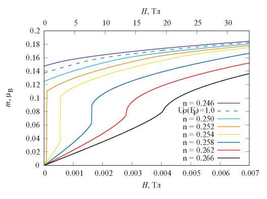
Исследуем зависимость 𝑚 = 𝑚i(𝑛, ℎc(𝑛)) в случае низких температур. Для удобства сопоставления с экспериментальными данными выберем референтное значение ширины зоны 𝑊 = 18 𝑡 равным 5 эВ, что соответствует соединениям переходных металлов. Мы выбираем , что соответствует 𝑇 ≈ 0.6 K. Выберем U = 1.5 𝑡 и зададим электронную концентрацию n так, чтобы критерий Стонера (14) был близок к выполнению. В этом случае зависимость плотности состояний от энергии в окрестности уровня Ферми в парамагнитной фазе будет в этом случае иметь сильную положительную кривизну (см. рис. 1). Решая уравнения (10−11), получим зависимость намагниченности от поля, показанную на рис. 2 для τ = −0.52 и задавая концентрацию 𝑛 так, чтобы критерий Стонера (14) был близок к выполнению, зависимость плотности состояний на уровне Ферми в парамагнитной фазе будет иметь сильную положительную кривизну (см. рис. 1), тогда получим зависимость намагниченности от поля, показанную на рис. 2 для τ = −0.52. Данная зависимость имеет характерный для метамагнитного фазового перехода вид: при определенном значении внешнего магнитного поля намагниченность изменяется скачком, что свидетельствует о фазовом переходе первого рода из неупорядоченной в магнитоупорядоченную [11–24]. Поведение зависимостей схоже с теми, что представлены в работе [2] для схематической плотности состояний, где существование метамагнетизма также связано с особым поведением плотности состояний вблизи энергии Ферми. При концентрациях, соответствующих ферромагнитной фазе в основном состоянии, имеет место заметный парапроцесс, т. е. зависимость намагниченности от приложенного поля.
Рис. 2. Зависимости намагниченности от магнитного поля при различных значениях концентрации при 𝑈 =1.50 𝑡, 𝑇 = = 2⋅10−4𝑡 для τ = −0.52. Пунктиром обозначена кривая соответствующая значению 𝑛, при котором выполняется критерий Стонера (14). Для оценки величины магнитного поля ширина зоны 𝑊 =18𝑡 выбиралась равной 5 эВ.
При изменении величины концентрации электронов 𝑛 вид зависимости 𝑚(ℎ) существенно меняется. Чтобы описать это изменение, можно ввести такие характеристики, как критическое поле ℎc(𝑛) – поле, при котором происходит скачок намагниченности, и величину самого скачка Δ𝑚(𝑛) при ℎ = ℎc. Благодаря этим характеристикам можно более подробно определить поведение кривой m(h) в зависимости от параметров (𝑈, 𝑛, 𝑇), что, в свою очередь, поможет понять механизм возникновения зонного метамагнетизма. На рис. 3 представлена фазовая диаграмма в переменных ℎ − 𝑛, которая показывает, при каком значении поля происходит скачок намагниченности в зависимости от 𝑛. Сплошная линия на диаграмме разделяет парафазу и ферромагнитную фазу. С увеличением концентрации 𝑛 значение критического поля ℎc увеличивается, тогда как Δ𝑚 уменьшается. Такое поведение является естественным следствием наличия двух локальных минимумов 𝑚 = 0 и 𝑚 = 𝑚1 свободной энергии 𝐹(𝑛, 𝑚) в нулевом магнитном поле. Из условия существования локального минимума при 𝑚 = 0 следует, что критерий Стонера не выполнен в метамагнитной области: . Линия перехода первого рода соответствует равенству F (n, h = 0 | m1) = F (n, h = 0 | 0) (см. рис. 1). Увеличение 𝑛 приводит к соотношению F (n, h = 0 | m1) − F (n, h = 0 | 0) > 0, причем данная разность растет с увеличением 𝑛. Таким образом, чем больше концентрация электронов, тем большее поле нужно включить, чтобы удовлетворить равенству F (n, hc | m1) − F (n, hc | 0).
Рис. 3. Фазовая диаграмма в переменных ℎс − 𝑛 и Δ𝑚 − 𝑛 𝑈 = = 1.50𝑡, 𝑇 = 2⋅10−4𝑡, сплошная линия разделяет две фазы, снизу — парамагнитная, сверху — ферромагнитная.
Важно также проанализировать как на метамагнитный переход влияет параметр кулоновского взаимодействия 𝑈. Для этого была построена фазовая диаграмма в переменных 𝑈 − 𝑛 (рис. 4).
Рис. 4. Фазовая диаграмма в переменных U − 𝑛 при 𝑇 = = 2⋅10−4𝑡 для τ = −0.52. Красные линии ограничивают область зонного метамагнетизма, черная пунктирная линия указывает критерий Стонера (14), где 𝐸F берется для парамагнитной фазы для данного 𝑛.
На ней область, ограниченная красными кривыми, соответствует области зонного метамагнетизма; пунктиром обозначена кривая, отвечающая параметрам 𝑈 и 𝑛, для которых выполняется критерий Стонера. Сверху от области метамагнетизма лежит область ферромагнетизма (ФМ), ниже — парамагнетизма (ПМ). Метамагнетизм наблюдается для параметров 𝑈 и 𝑛, при которых критерий Стонера близок к выполнению, но не выполнен. Концентрационный интервал, в котором наблюдается метамагнитный переход, существенно зависит от 𝑈: на рис. 4 представлен интервал , для которого концентрационный интервал оказывается достаточно широким, с увеличением параметра 𝑈 область существования метамагнетизма постепенно сужается.
Заключение
Нами был исследован метамагнитный фазовый переход в металлах с ГЦК решеткой в рамках модели Хаббарда, имеющих, при определенном выборе параметров спектра, особенность плотности состояний в виде узкого плато ван Хова. В заключение можно сделать вывод, что ключевую роль в формировании зонного метамагнетизма играет кривизна функции плотности состояний и ее значение на уровне Ферми, зависящее от концентрации электронов. Полученные полевые зависимости демонстрируют характерное для зонного метамагнетика поведение. Зависимости характеристик метамагнетизма ℎc(𝑛) и Δ𝑚(𝑛) показывают, как возникает и как исчезает метамагнитный фазовый переход. Фазовая диаграмма 𝑈−𝑛 позволяет оценить область метамагнетизма в параметрах (𝑈, 𝑛). В будущем было бы полезно изучить влияния температуры и параметра τ на характер перехода. Полученные результаты представляют интерес для дальнейших теоретических и экспериментальных исследований данного явления.
Исследования выполнены в рамках темы государственного задания «Квант», № 122021000038-7. В расчетах был использован суперкомпьютер «Уран» ИММ УрО РАН.
About the authors
F. A. Vasilevskiy
Institute of Metal Physics of the Ural Branch of the Russian Academy of Sciences; Ural Federal University
Author for correspondence.
Email: fedorvasilevski@gmail.com
Russian Federation, Ekaterinburg; Ekaterinburg
P. A. Igoshev
Institute of Metal Physics of the Ural Branch of the Russian Academy of Sciences
Email: fedorvasilevski@gmail.com
Russian Federation, Ekaterinburg
V. Yu. Irkhin
Institute of Metal Physics of the Ural Branch of the Russian Academy of Sciences
Email: fedorvasilevski@gmail.com
Russian Federation, Ekaterinburg
References
- Wohlfarth E., Rhodes P. // Philos. Mag. 1962. V. 7. No. 83. P. 1817.
- Левитин Р.З., Маркосян А.С. // УФН. 1988. Т. 155. № 8. С. 623; Levitin R., Markosyan A.S. // Sov. Phys. Usp. 1988. V. 31. No. 8. P. 730.
- Shimizu M. // J. Physics. 1982. V. 43. No. 1. P. 155.
- Igoshev P.A., Irkhin V.Y. // Phys. Lett. A. 2022. V. 438. P. 128107.
- Игошев П.А., Ирхин В.Ю. // Письма в ЖЭТФ. 2019. Т. 110. № 11. С. 741; Igoshev P.A., Irkhin V.Y. // JETP Lett. 2019. V. 110. P. 727.
- Igoshev P.A., Irkhin V.Y. // Phys. Met. Metallogr. 2019. V. 120. P. 1282.
- Adachi K., Matsui M., Kawai M. // J. Phys. Soc. Japan. 1979. V. 46. No. 5. P. 1474.
- Mushnikov N.V., Goto T. // Phys. Met. Metallogr. 2002. V. 93. No. Suppl. 1. P. 88.
- Mushnikov N.V., Goto T. // J. Phys. Cond. Matter. 1999. V. 11. No. 41. P. 8095.
- Sakakibara T., Goto T., Yoshimura K. // Phys. Lett. A. 1986. V. 117. No. 5. P. 243.
- Goto T., Fukamichi K., Sakakibara T., Komatsu H. // Solid State Commun. 1989. V. 72. No. 9. P. 945.
- Aлександрян В.В., Лагутин А.С., Левитин Р.З. и др. // ЖЭТФ. 1985. T. 89. № 1. С. 271; Aleksandryan V., Lagutin A., Levitin R. et al. // Sov. Phys. JETP. 1985. V. 62. No. 1. P. 183.
- Габелко И.Л., Левитин Р.З., Маркосян А., Снегирев В. // Письма в ЖЭТФ. 1987. Т 45. № 7. С 360; Gabelko I., Levitin R., Markosyan A., Snegirev V. // JETP Lett. 1987. V. 45. No. 7. P. 458.
- Fukamichi K., Yokoyama T., Saito H. // Phys. Rev. B. 2001. V. 64. No. 13. Art. No. 134401.
- Mushnikov N.V., Goto T., Andreev A.V. et al. // Phys. Rev. B. 2002. V. 66. No. 6. Art. No. 064433.
- Yamada H., Mushnikov N.V., Goto T. // J. Phys. Chem. Solids. 2002. V. 63. No. 6-8. P. 1189.
- Mushnikov N.V. , Goto T., Kamishima K. et al. // Phys. Rev. B. 1999. V. 59. No. 10. P. 6877.
- Gama S., Coelho A.A., de Campos A. // Phys. Rev. Lett. 2004. V. 93. No. 23. Art. No. 237202.
- Pecharsky V.K., Gschneidner Jr K.A. // Phys. Rev. Lett. 1997. V. 78. No. 23. P. 4494.
- Tegus O., Brück E., Zhang L. // Phys. B. Cond. Matter. 2002. V. 319. No. 1–4. P. 174.
- Yamada H. // Phys. Rev. B. 1993. V. 47. No. 17. P. 11211.
- Goto T., Fukamichi K., Yamada H. // Phys. B. Cond. Matter. 2001. V. 300. No. 1–4. P. 167.
- Yamada H., Goto T. // Phys. Rev. B. 2003. V. 68. No. 18. Art. No. 184417.
- Goto T., Shindo Y., Takahashi H., Ogawa S. // Phys. Rev. B. 1997. V. 56. No. 21. P. 14019.
- Belitz D., Kirkpatrick T., Rollbühler J. // Phys. Rev. Lett. 2005. V. 94. No. 24. Art. No. 247205.
- Yamada H. // Phys. B. Cond. Matter. 2007. V. 391. No. 1. P. 42.
- Berridge A., Grigera S., Simons B., Green A. // Phys. Rev. B. 2010. V. 81. No. 5. Art. No. 054429.
- Wysokiński M.M., Abram M., Spalek J. // Phys. Rev. B. 2015. V. 91. No. 8. Art. No. 081108.
- Sandeman K., Lonzarich G., Schofield A. // Phys. Rev. Lett. 2003. V. 90. No. 16. Art. No. 167005.
- Berridge A. // Phys. Rev. B. 2011. V. 83. No. 23. Art. No. 235127.
- Yamase H. // New J. Phys. 2023. V. 25. No. 3. Art. No. 033004.
- Igoshev P., Katanin A. // Phys. Rev. B. 2023. V. 107. No. 11. Art. No. 115105.
- Neznakhin D.S., Radzivonchik D.I., Gorbunov D.I. et al. // Phys. Rev. B. 2020. V. 101. No. 22. Art. No. 224432.
- Radzivonchik D.I., Neznakhin D.S., Lukoyanov A.V. // J. Phys. Chem. Solids. 2022. V. 163. Art. No. 110552.
- Mория T. Спиновые флуктуации в магнетиках с коллективизированными электронами. М: Мир, 1988. 287 с.
Supplementary files






