Heat transfer and vapor bubble formation during boiling of magnetic fluid on a single vapor formation center in an alternating magnetic field
- Authors: Simonovsky А.Y.1,2, Zakinyan A.R.2
-
Affiliations:
- Stavropol State Agrarian University
- North Caucasus Federal University
- Issue: Vol 88, No 10 (2024)
- Pages: 1621-1625
- Section: Microfluidics and ferrohydrodynamics of magnetic colloids
- URL: https://bakhtiniada.ru/0367-6765/article/view/283404
- DOI: https://doi.org/10.31857/S0367676524100182
- EDN: https://elibrary.ru/DSHEVJ
- ID: 283404
Cite item
Full Text
Abstract
The frequency of vapor bubble formation and heat transfer during boiling of a magnetic fluid in a homogeneous alternating horizontal magnetic field are studied experimentally. Bubble formation occurs at a single vapor formation center. To measure the frequency of vapor bubble formation, an induction method based on the occurrence of induction current in the coil turns through which the vapor bubbles move is used. It is found that the specific heat flux and the frequency of vapor bubble formation depend significantly on the frequency of the magnetic field. The obtained results indicate the possibility of effective non-contact control of the boiling process of magnetic fluid, which may have practical application.
Full Text
ВВЕДЕНИЕ
Исследование процессов кипения жидкости имеет большое значение для широкого спектра инженерных приложений. В частности, значительный интерес вызывают задачи управления теплообменом при кипении жидкости. Магнитные жидкости представляют собой устойчивый коллоидный раствор однодоменных наночастиц ферромагнетика в жидкой среде. В макромасштабных процессах магнитная жидкость ведет себя как сплошная жидкая намагничивающаяся среда, способная интенсивно взаимодействовать с внешними магнитными полями даже относительно невысокой напряженности (~ 1 кА/м). В последнее время был выполнен ряд исследований о влиянии магнитного поля на теплообмен при кипении магнитной жидкости [1—9]. В частности, такие исследования представляют интерес в контексте возможности применения магнитной жидкости в качестве закалочной среды [10—12].
Несмотря на достаточно большое число исследований влияния магнитного поля на кипение магнитных жидкостей, в данной предметной области имеется ряд неразрешенных задач. В частности, кипение магнитных жидкостей экспериментально исследовалось практически исключительно при воздействии неоднородных внешних магнитных полей, а исследования в однородных магнитных полях являются недостаточными. Также существующие исследования ограничиваются стационарными магнитными полями. Кроме этого, в существующих исследованиях по кипению магнитных жидкостей зачастую используется сложная форма теплоотдающей поверхности (например, в форме цилиндра); а также геометрия силовых линий и величина магнитного поля оказываются различными на разных участках теплоотдающей поверхности [13, 14]. Изучение явления кипения жидкости во внешнем поле в базовой конфигурации задачи (плоская теплоотдающая поверхность в однородном поле) представляет фундаментальный интерес поскольку поддается аналитическому рассмотрению.
Помимо сказанного следует отметить, что в подавляющем большинстве существующих экспериментальных работ исследуется влияние внешнего поля на интегральные характеристики кипения (тепловой поток, коэффициент теплопередачи). Элементарный акт кипения, т. е. формирование отдельных пузырьков пара во внешнем поле, исследовался в основном методами компьютерного моделирования, либо в рамках косвенных модельных наблюдений [15].
Для понимания природы влияния внешних магнитных полей на процесс кипения магнитной жидкости представляется необходимым дополнительное экспериментальное изучение формирования отдельных пузырьков пара. В данной работе исследуется влияние внешнего однородного переменного низкочастотного магнитного поля на частоту формирования пузырьков пара при кипении магнитной жидкости на одиночном центре парообразования. Полученные результаты представляют фундаментальный интерес для понимания закономерностей кипения жидкости во внешнем поле и могут быть также распространены на случай диэлектрической жидкости в электрическом поле.
МАТЕРИАЛЫ И МЕТОДЫ
Для изучения процесса кипения и частоты образования пузырьков пара при в магнитной жидкости был применен индукционный метод. Установка, реализующая индукционный метод представлена на рис. 1. Магнитная жидкость 1 заливалась в немагнитный цилиндрический контейнер 2. В данных экспериментах использовалась магнитная жидкость со следующими свойствами при 300 К: плотность 1060 кг/м3, начальная статическая магнитная восприимчивость 3, намагниченность насыщения 20.6 кА/м, поверхностное натяжение на границе с воздухом 30×10–3 Н/м, динамическая вязкость 2.2×10–3 Па×с. Через осевое отверстие дна контейнера пропускался медный стержень 3 диаметром 1.5 мм, при помощи которого тепло подводилось к магнитной жидкости, создавая одиночный центр парообразования. Источником тепла служил электрический нагреватель 4. Вдоль оси теплоподводящего медного стержня устанавливались спаи двух хромель–копелевых термопар 5, при помощи которых определялась величина теплового потока. Расчет теплового потока производился по формуле q = −λ∇T, где λ — коэффициент теплопроводности материала теплоподводящего стержня, ∇T= (T2 − T1)/Δx, Т1 и Т2 — температуры в верхней и нижней точках теплоотдающего стержня соответственно, а Δx — расстояние между точками измерения температур Т1 и Т2. В нашем случае — это есть расстояние между точками установки термопар вдоль оси теплоподводящего стержня.
Рис. 1. Схема экспериментальной установки (изображение не в масштабе), пояснения в тексте.
На внешней поверхности контейнера с жидкостью располагался дополнительный нагреватель 6, который служил для поддержания температуры основной массы магнитной жидкости вблизи, но несколько ниже точки кипения (~90°C). Контейнер с магнитной жидкостью помещался во внешнее однородное переменное магнитное поле, которое создавалось катушками Гельмгольца 7. Магнитное поле было направленно горизонтально, вдоль теплоотдающей поверхности. Для создания переменного магнитного поля на катушки подавался переменный ток частотой до 10 Гц от генератора.
Для регистрации паровых пузырей использовалась система измерительных индукционных катушек 8, надетых на коаксиально установленную внутри сосуда с магнитной жидкостью вертикальную полую трубку 9. Появление парового пузыря в объеме магнитной жидкости приводит к искажению магнитного поля, существующего в рабочем зазоре измерительной катушки, а движение пузырей приводит к изменению во времени магнитного потока через плоскости витков катушки. Возникающий в результате этого индукционный ток в измерительных катушках регистрировался при помощи аналого-цифрового преобразователя в виде осциллограмм. Характерный вид осциллограмм, полученных в экспериментах, представлен на рис. 2. На осциллограммах выбирались участки длительностью 20 секунд, в течение которых, температура нагревателя не изменялась более чем в пределах ошибок измерений. Подсчитывалось число всплесков, частота образования пузырьков пара находилась как отношение числа всплесков на осциллограмме к длительности интервала наблюдения.
Рис. 2. Характерный вид осциллограмм, полученных в экспериментах.
Измерения проводили следующим образом: на основной и дополнительный нагреватели одновременно подавали напряжение. Интенсивность подвода тепла от дополнительного и основного нагревателей подбирали такой, чтобы магнитная жидкость закипала на теплоотдающем торце основного нагревателя. Все измерения проводились при одинаковых значениях напряжений, подаваемых на обмотки нагревателей. Система измерительных катушек располагалась над теплоотдающим торцом. С течением времени температуры жидкости и поверхности нагревателя возрастали. На торце нагревателя в магнитной жидкости начиналось образование пузырьков пара. Затем пузырьки пара отрывались от поверхности нагревателя и всплывали под действием силы тяжести и электромагнитных сил, попадая в объем измерительной катушки.
ЭКСПЕРИМЕНТАЛЬНЫЕ РЕЗУЛЬТАТЫ
Было обнаружено, что под действием низкочастотного переменного магнитного поля происходит изменение удельного теплового потока, поглощаемого магнитной жидкостью в процессе кипения. На рис. 3 представлены зависимости удельного теплового потока q от температуры теплоотдающей поверхности Т, полученные во внешних переменных магнитных полях напряженностью 1.8 кА/м различной частоты. Различные кривые соответствуют частотам переменного магнитного поля, равным 1, 5, 7 и 9 Гц. Из рис. 3 видно, что с увеличением температуры поверхности нагревателя удельный тепловой поток монотонно растет во всем исследуемом интервале частот магнитного поля.
Рис. 3. Экспериментальная зависимость удельного теплового потока при кипении магнитной жидкости от температуры теплоотдающей поверхности при различных значениях частоты внешнего магнитного поля.
Также из рисунка видно, что при всех температурах поверхности нагревателя увеличение частоты переменного магнитного поля приводило к росту удельного теплового потока. Данный факт иллюстрируется приведенными на рис. 4 зависимостями удельного теплового потока от частоты магнитного поля, полученными при различных значения температуры теплоотдающей поверхности. Из рис. 4 видно, что тепловой поток растет монотонно с частотой магнитного поля в исследованном интервале величин частот.
Рис. 4. Экспериментальная зависимость удельного теплового потока при кипении магнитной жидкости от частоты внешнего магнитного поля при различных значениях температуры теплоотдающей поверхности.
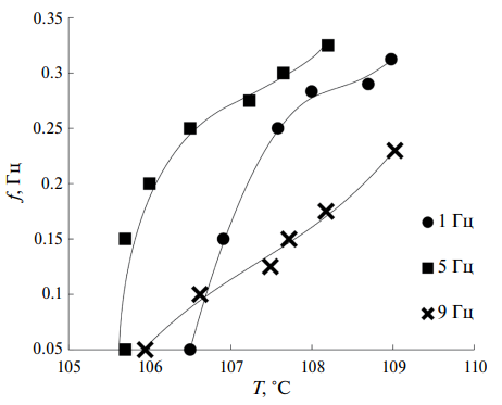
В результате проведенных исследований было обнаружено, что переменное магнитное поле влияет на частоту регистрации пузырьков пара. Так, на рис. 5 представлены зависимости частоты образования пузырьков пара f от температуры теплоотдающей поверхности Т, полученные во внешних переменных магнитных полях напряженностью 1.8 кА/м различной частоты. Различные кривые соответствуют частотам переменного магнитного поля, равным 1, 5 и 9 Гц. Начало регистрации пузырьков пара происходило при разных температурах теплоотдающей поверхности от 105 до 106 °C. Это могло быть связано не только с тем, что температура начала кипения изменяется с изменением частоты приложенного магнитного поля, но и с погрешностями метода измерений. Так как в этом интервале температур кипение магнитной жидкости недогретое и всплывающие пузырьки пара могут схлопываться, не достигая объема измерительных катушек.
Рис. 5. Зависимости частоты образования пузырьков пара при кипении магнитной жидкости от температуры теплоотдающей поверхности при различных значениях частоты внешнего магнитного поля.
Из рис. 5 видно, что во всем представленном интервале частот переменного магнитного поля с ростом температуры теплоотдающей поверхности происходит монотонное увеличение частоты образования пузырьков пара. Однако, в зависимости от частот приложенного переменного магнитного поля увеличение частоты образования пузырьков пара происходит с разной интенсивностью. То есть, при увеличении температуры нагревателя на 3—4 °C в переменном магнитном поле частотой от 5 до 10 Гц частота образования пузырьков пара увеличивается в 4 раза, а притом же увеличении температуры нагревателя в магнитном поле частотой от 1 до 5 Гц частота образования пузырьков пара уже увеличивается в 6—7 раз. Таким образом, зависимость частоты образования пузырьков пара от температуры нагревателя носит монотонный характер, а от частоты приложенного переменного магнитного поля немонотонный.
Чтобы отобразить данную немонотонность выбирались 3 значения температур поверхности нагревателя из интервала уверенной регистрации (106.5—108.5 °C), при которых по данным рис. 5 были построены зависимости частоты образования пузырьков пара f от частоты внешнего приложенного магнитного поля fмп. Эти зависимости представлены на рис. 6. Различные кривые соответствуют температурам поверхности нагревателя 106.5, 107.5 и 108.2 °C. Из рис. 6 видно, что при увеличении частоты внешнего переменного магнитного поля от 1 до 5 Гц во всем представленном интервале температур поверхности нагревателя частота образования пузырьков пара возрастает. При дальнейшем повышении частоты внешнего переменного магнитного поля от 5 до 7 Гц частота парообразования уменьшается. При увеличении частоты внешнего переменного магнитного поля от 7 до 9 Гц во всем представленном интервале температур поверхности нагревателя частота образования пузырьков пара не изменяется более чем в пределах погрешностей измерения.
Рис. 6. Зависимости частоты образования пузырьков пара при кипении магнитной жидкости от частоты внешнего магнитного поля при различных значениях температуры теплоотдающей поверхности.
Наблюдаемые закономерности должны быть связаны с особенностями деформации в магнитном поле пузырьков пара, формирующихся на центре парообразования. При малых частотах поля может происходить раскачивание пузырька за счет его периодического вытяжения вдоль поля и последующего сжатия, что приводит к стимулированию отрыва пузырька от поверхности. При частотах поля, превышающих обратное время релаксации формы пузырька, будет иметь место его стационарная деформация в магнитном поле, и частота отрыва пузырьков не будет зависеть от частоты поля.
ЗАКЛЮЧЕНИЕ
Результаты изучения влияния низкочастотного переменного магнитного поля на процесс кипения магнитной жидкости на одиночном центре парообразования показали, что имеет место изменение удельного теплового потока, поглощаемого магнитной жидкостью в процессе кипения. Измерения частоты образования пузырьков пара при кипении магнитной жидкости показали, что частота образования пузырьков пара монотонно зависит от температуры теплоотдающей поверхности и немонотонно от частоты внешнего переменного магнитного поля. Таким образом, обнаружено существенное влияние низкочастотного магнитного поля на процесс образования пузырьков пара и теплообмен при кипении жидких намагничивающихся сред на одиночном центре парообразования.
Работа выполнена с использованием оборудования Центра коллективного пользования Северо-Кавказского федерального университета при финансовой поддержке Минобрнауки России (уникальный идентификатор проекта RF-2296.61321X0029, соглашение № 075-15-2021-687).
About the authors
А. Ya. Simonovsky
Stavropol State Agrarian University; North Caucasus Federal University
Author for correspondence.
Email: simonovchkij@mail.ru
Russian Federation, Stavropol; Stavropol
A. R. Zakinyan
North Caucasus Federal University
Email: simonovchkij@mail.ru
Russian Federation, Stavropol
References
- Takahashi M., Shinbo K., Ohkawa R. et al. // J. Magn. Magn. Mater. 1993. V. 122. P. 301.
- Shuchi S., Sakatani K., Yamaguchi H. // J. Mech. Eng. Sci. 2004. V. 218. P. 223.
- Mohammadpourfard M., Aminfar H., Sahraro M. // Heat Mass Transf. 2014. V. 50. P. 1167.
- Naphon P. // Int. J. Thermophys. 2015. V. 36. P. 2810.
- Abdollahi A., Salimpour M.R., Etesami N. // Appl. Therm. Eng. 2017. V. 111. P. 1101.
- Guo K., Li H., Feng Y., Wang T., Zhao J. // Int. J. Heat Mass Transf. 2019. V. 134. P. 17.
- Sarafraz M.M., Pourmehran O., Yang B. et al. // Int. J. Therm. Sci. 2020. V. 147. Art. No. 106131.
- Yanovskii A.A., Simonovskii A.Ya. // Surf. Eng. Appl. Electrochem. 2023. V. 59. P. 452.
- Simonovskii A.Ya., Yanovskii A.A., Zakinyan A.R. // J. Magn. Magn. Mater. 2024. V. 589. Art. No. 171557.
- Gogosov V.V., Simonovskii A.Ya., Smolkin R.D. // J. Magn. Magn. Mater. 1990. V. 85. P. 227.
- Khoshmehr H.H., Saboonchi A., Shafii M.B., Jahani N. // Appl. Therm. Eng. 2014. V. 64. P. 331.
- Kole M., Khandekar S. // J. Magn. Magn. Mater. 2021. V. 537. Art. No. 168222.
- Zandabad H.J., Jahanshaloo L., Aminfar H., Mohammadpourfard M. // Exp. Heat Transf. 2022. V. 35. P. 341.
- Tabrizi A.H., Aminfar H., Mohammadpourfard M., Zonouzi S.A. // Heat Transf. Eng. 2023. V. 44. P. 512.
- Ряполов П.А., Соколов Е.А., Калюжная Д.А. // Изв. РАН. Сер. физ. 2023. Т. 87. № 3. С. 348; Ryapolov P.A., Sokolov E.A., Kalyuzhnaya D.A. // Bull. Russ. Acad. Sci. Phys. 2023. V. 87. No. 3. Р. 300.
Supplementary files









