Effect of magnetic field and temperature on the structure of a two-dimensional magnetic on a substrate
- Authors: Maltsev I.V.1, Kuznetsov I.A.1, Bychkov I.V.1
-
Affiliations:
- Chelyabinsk State University
- Issue: Vol 88, No 9 (2024)
- Pages: 1360–1365
- Section: Condensed Matter Physics
- URL: https://bakhtiniada.ru/0367-6765/article/view/283356
- DOI: https://doi.org/10.31857/S0367676524090043
- EDN: https://elibrary.ru/OEKHGT
- ID: 283356
Cite item
Full Text
Abstract
We presented a study of the influence of temperature, external magnetic field, and non-magnetic substrate on a two-dimensional magnet with a skyrmion structure. The study was conducted using Monte Carlo simulation. The skyrmion structure was ensured by the presence of the Dzyaloshinsky-Moriya interaction and anisotropy in the energy of the system. The effect of the substrate was described by the Frenkel-Kontorova potential.
Full Text
Введение
Интерес к исследованию свойств наноструктур на основе 2D-магнитных материалов обусловлен широкой перспективой их применения в качестве электронных устройств спинтроники. 2D-магнетики делают возможным создание нового типа энергонезависимой памяти с более высокой плотностью записи. В качестве единицы информации в такой памяти могут выступать топологически защищенные вихреобразные спиновые структуры – скирмионы.
Кроме топологической устойчивости скирмионов, к их достоинствам можно отнести возможность управления посредством спин-поляризованного тока очень малой плотности [1, 2], что положительно отражается на энергопотреблении устройств. Способы получения одиночных скирмионов нанометрового масштаба исследовались в работах [1–8], формирование скирмионных кристаллов [9–12], движение скирмионов индуцируемое спин-поляризованным током [1, 3, 4, 13], а также способы детектирования [14, 15] и удаления [16] скирмионов.
Одним из механизмов образования скирмионов является наличие антисимметричного взаимодействия Дзялошинского–Мория [17, 18], которое конкурирует с обменным взаимодействием. В работе [19] показана возможность управления взаимодействием Дзялошинского–Мория, и соответственно динамикой скирмионов, с помощью электрического поля. А в работе [24] экспериментально показано влияние магнитного поля на положение и размеры скирмионов в тонких пленках CoPt. Условия формирование скирмионной решетки в тонкой пленке, состоящей из антиферромагнитного и сегнетоэлектрического слоев, исследовалось в работе [25].
Одними из многих материалов, в которых возможно образование магнитных скирмионов, являются кубические нецентросимметричные магнетики. В них может присутствовать неколлинеарные спиновые конфигурации, которые могут состоять из одной или нескольких спиралей, тем самым образуя скирмионы. MnSi со структурой B20 является примером геликоидального магнетика. В экспериментальной работе по рассеянию нейтронов [20] в MnSi получена двумерная скирмионная фаза, которая может быть представлена как гибридное состояние, состоящее из трех спиралей с волновыми векторами, формирующими между собой угол 120°.
Компьютерный эксперимент
В работе использована 3D-модель Гейзенберга на квадратной решетке. Взаимодействие Дзялошинского–Мория лежит в плоскости (x, y) для получения геликоидальной конфигурации спинов, внешнее магнитное поле приложено вдоль оси z. Гамильтониан такой модели будет выглядеть [21]:
(1)
где J – обменный интеграл ферромагнитного взаимодействия, в данной работе мы приняли J = 1, D – взаимодействие Дзялошинского–Мория, A1 и A2 – постоянные анизотропии (в данной работе мы приняли A1 = 0.5), h – внешнее магнитное поле. Моделирование выполнялось на решетке размером 18×18, поэтому отношение D/J было выбрано равным , что дает значение волнового вектора k = 2π/6, позволяющее разместить несколько периодов спирали. Для упрощения моделирования, постоянная решетки, как и постоянная Больцмана были выбраны равными единице. При моделировании был использован стандартный алгоритм Метрополиса. Первые 2·106 МК шагов на спин для каждой температуры отбрасывались, термодинамические параметры рассчитывались в течении следующих 2·106 МК шагов на спин.
Анализ полученных конфигураций магнитной системы был выполнен с помощью Фурье-преобразования null усредненной спиновой конфигурации null. Для определения типа полученной конфигурации строился профиль интенсивностей null в плоскости (kx, ky).
Варьируя параметры анизотропии и внешнего поля, можно добиться нескольких видов спиновых конфигураций. Фазовая диаграмма данной системы получена в работе [21]. В данной работе исследовались 3 скирмионные фазы с параметрами (A2, h) = = (2,0) – фаза SC1, (3,0) – фаза SC2, (1,2) – фаза SCh, имеющие различные спиновые конфигурации и профили интенсивностей, которые изображены на рис. 1 (при T = 0.01).
Рис. 1. Спиновая конфигурация и профиль интенсивностей для скирмионных фаз при низкой температуре (T = 0.01). Стрелками обозначены направления спинов в плоскости XY.
Фаза SC1 и SC2 образуются в результате суперпозиции двух спиновых спиралей, о чем наглядно свидетельствует их профиль интенсивности. При этом видно, что интенсивность одной из спиралей в SC1 заметно меньше другой. Фаза SCℎ промодулирована в трех направлениях, отстоящих друг от друга на 120°. Профиль интенсивности для фазы SCℎ имеет шестиугольную форму.
Для исследования влияние магнитного поля на магнитную структуру системы рассчитывалась локальная хиральность по формуле
(2)
Изменение локальной хиральности при увеличении магнитного поля схематически обозначено на рис. 2. При ℎ = 0 для фаз SC1 и SC2 отчетливо видны области формирования скирмионов (светлые участки) и антискирмионов (темные участки). С увеличением магнитного поля периодическая структура разрушается и появляются одиночные скирмионы. При низком значении анизотропии A2 и в отсутствии поля h система находится в фазе SS со спиральным упорядочением спинов в плоскости (x, y). С повышением магнитного поля спиральная фаза переходит в скирмионную SCℎ, но при дальнейшем увеличении поля одиночные скирмионы не появляются.
Рис. 2. Изменение магнитной структуры фаз SC1, SC2, SS под действием магнитного поля. Темными и светлыми участками обозначены значения локальной хиральности χij. Cтрелками обозначены направления спинов в плоскости XY.
Влияние температуры на спиновую структуру можно исследовать с помощью определения параметра порядка, что непросто сделать для неколлинеарного расположения спинов [10]. Для этого необходимо провести сравнение спиновой конфигурации при температуре T на каждом шаге моделирования с основным состоянием системы. Далее нужно провести усреднение по всем шагам и по всем спинам. Таким образом, параметр порядка Q определяется аналогично параметру порядка Эдварда–Андерсона для спиновых стекол [22]:
(3)
где – конфигурация магнитной системы при температуре T для каждого шага Монте–Карло, nшаг – общее количество шагов Монте–Карло, L – размер решетки, – основное состояние магнитной системы. При таком определении параметр порядка Q(T) будет близок к единице, когда все спины в текущей конфигурации слабо отклоняется от основного состояния, а при переходе в парамагнитную фазу Q(T) будет близок к нулю.
Далее необходимо рассмотреть вопрос о том, является ли скирмионная фаза основным состоянием исследуемой системы. Для этого были рассчитаны конфигурации магнитной системы для трех скирмионных фаз при нулевой температуре с помощью алгоритма Метрополиса. Расчет подтвердил, что основным состоянием системы при параметрах (A2, ℎ) = = (2,0) и (3,0) действительно является скирмионная фаза, состоящая из двух спиновых спиралей. Однако для значений (A2, ℎ) = (1,2) этого сделать не удалось.
Обращая внимание на то, что здесь было важно исследовать процесс разрушения скирмионной фазы, в качестве основного состояния были рассмотрены также конфигурации, полученные иным способом.
Так как основным показателем, определяющим тип спиновой конфигурации, стал профиль интенсивностей null, то и факт перехода из одной фазы к другой можно отследить по изменению этого профиля. Поэтому в качестве основного состояния можно взять такие спиновые конфигурации, которые соответствовали бы профилям интенсивностей для скирмионной фазы. Чтобы получить такие конфигурации, профили интенсивностей, полученные при T = 0.01 были очищены от всех примесей, то есть были оставлены только основные пики. Далее с помощью обратного Фурье-преобразования получены требуемые конфигурации. Они и были приняты в качестве основного состояния при расчете зависимости Q(T) на рис. 3.
Рис. 3. Зависимость параметра порядка Q(T) для скирмионных фаз SC1, SC2, SCh.
По зависимости Q(T) для фазы SC1 можно сделать вывод о том, что переход в парамагнитную фазу осуществлялся в 2 этапа. Рассмотрение зависимости Q(T) отдельно для каждой компоненты говорит о том, что при T < 0.1 фаза SC1 сохраняется, в промежутке от 0.1 до 0.2 пропадает упорядочение по оси x. При T > 0.3 начинает пропадать порядок и по оси y. При этой же температуре начинает разрушаться фаза SC2. Фаза SCℎ начинает разрушаться еще при температуре T < 0.1 и к T ≈ 0.3 переходит в ферромагнитную фазу.
Учет влияния подложки
Также было исследовано влияние подложки на магнитную систему, которое проявляется через взаимодействие атомов 2D-магнетика и подложки. Влияние атомов подложки на геометрическое положение атомов 2D-магнетика моделируется с помощью двумерного потенциала Френкеля–Конторовой [23] с периодически расположенными потенциальными ямами:
(4)
где x, y – координаты на поверхности подложки, bx и by периоды потенциала подложки вдоль осей x и y соответственно, а αFK – амплитуда этого потенциала.
Упругое взаимодействие между атомами 2D-магнетика описывается в гармоническом приближении.
(5)
где g – упругая постоянная, (xn, m, yn, m) координаты (n, m) атома, a – постоянная решетки магнетика.
Влияние подложки на магнитную систему проявлялось через зависимость обменного интеграла от расстояния между атомами магнетика.
(6)
где J0 – обменный интеграл недеформированной ФМ пленки. Параметр r0 определяет степень убывания обменного интеграла с расстоянием и зависит от вещества пленки. В данной работе r0 = 0.1, соотношение αFK/g = 0.002.
Перед началом исследования магнитной структуры находилось равновесное положение атомов магнетика при помощи метода последовательных итераций. В качестве одной итерации выступало пробное смещение каждого атома на случайный вектор. Если новое положение атома уменьшало потенциальную энергию системы (Usub + Uel), то оно принималось. При достижении минимума потенциальной энергии проход по всем атомам не меняет их положения, и итерационный процесс останавливается.
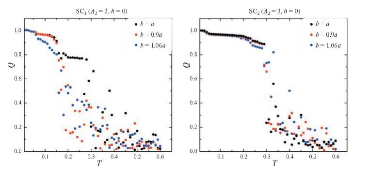
Влияние потенциала подложки на температурную эволюцию спиновых конфигураций показано на рис. 4. Тут изображена зависимость параметра порядка от температуры для фаз SC1 и SC2. На графике для SC1 можно заметить, что при наличии подложки скирмионная структура начинает разрушаться при T > 0.2 не переходя в состояние с одной спиновой спиралью.
Рис. 4. Зависимость Q(T) при различных значениях периода потенциала подложки b (αFK/g = 0.002).
При этом, в случае если период потенциала больше постоянной решетки магнетика, скирмионная структура начинает разрушаться раньше. Для фазы SC2 существенного влияния потенциала подложки на спиновые конфигурации замечено не было.
Заключение
В ходе исследования были выделены несколько скирмионных фаз с различной структурой, исследовано влияние на них температуры и внешнего магнитного поля. Влияние магнитного поля проявлялось в нарушении периодичной магнитной структуры и образовании одиночных скирмионов с последующим переходом в ферромагнитную фазу.
При повышении температуры скирмионная структура разрушалась, а процесс разрушения различался для каждой фазы.
Было проведено исследование влияния немагнитной подложки на структуру 2D-магнетика. Подложка моделировалась путем введения в энергию системы двумерного потенциала Френкеля–Конторовой с периодом, близким к постоянной решетке магнетика. Результатом стало разрушение скирмионной структуры при более низких температурах (для периода потенциала больше постоянной решетки) и исчезновение перехода из скирмионной фазы, состоящей из двух спиралей в фазу, состоящую из одной спирали.
Разработка Монте–Карло модели выполнена при поддержке Российского научного фонда (проект № 22-19-00355); численные расчеты выполнены при поддержке Министерства науки и высшего образования РФ в рамках выполнения темы государственного задания № 075-00992-24-00.
About the authors
I. V. Maltsev
Chelyabinsk State University
Author for correspondence.
Email: malts_iv@mail.ru
Russian Federation, Chelyabinsk
I. A. Kuznetsov
Chelyabinsk State University
Email: malts_iv@mail.ru
Russian Federation, Chelyabinsk
I. V. Bychkov
Chelyabinsk State University
Email: malts_iv@mail.ru
Russian Federation, Chelyabinsk
References
- Iwasaki J., Mochizuki M., Nagaosa N. // Nature Nanotech. 2013. V. 8. P. 742.
- Boulle O., Vogel J., Yang H. et al. // Nature Nanotech. 2017. V. 12. P. 830.
- Sampaio J., Cros V., Rohart S. et al. // Nature Nanotech. 2013. V. 8. P. 839.
- Woo S., Litzius K., Krüger B. et al. // Nature Mater. 2016. V. 15. P. 501.
- Yu G., Jenkins A., Ma X. et al. // Nano Lett. 2018. V. 18. No. 2. P. 980.
- Rana K.G., Finco A., Fabre F. et al. // Phys. Rev. Appl. 2020. V. 13. Art. No. 044079.
- Guang Y., Bykova I., Liu Y. et al. // Nature Commun. 2020. V. 11. P. 949.
- Moreau-Luchaire C., Moutafis C., Reyren N. et al. // Nature Nanotechnol. 2016. V. 11. P. 444.
- Sun L., Cao R.X., Miao B.F. et al. // Phys. Rev. Lett. 2013. V. 110. P. 167201.
- Sharafullin I.F., Diep H.T. // Symmetry. 2020. V. 12. No. 1. Art. No. 26.
- Hog S.E., Sharafullin I.F., Diep H. et al. // J. Magn. Magn. Mater. 2022. V. 563. P. 169920.
- Hu X.C., Wu H.T., Wang X.R. // Nanoscale. 2022. V. 14. P. 7516.
- Emori S., Bauer U., Ahn S.M. et al. // Nature Mater. 2013. V. 12. P. 611.
- Hanneken C., Otte F., Kubetzka A. et al. // Nature Nanotechnol. 2015. V. 10. P. 1039.
- Hamamoto K., Ezawa E., Nagaosa N. // Appl. Phys. Lett. 2016. V. 108. No. 11. P. 112401.
- Romming N., Hanneken C., Menzel M. et al. // Science. 2013. V. 341. No. 6146. P. 636.
- Dzyaloshinskii I. // J. Phys. Chem. Solids. 1958. V. 4. No. 4. P. 241.
- Moriya T. // Phys. Rev. 1960. V. 120. P. 91.
- Dai B., Wu D., Razavi S.A. et al. // Sci. Adv. 2023. V. 9. No. 7. Art. No. eade6836.
- Mühlbauer S., Binz B., Jonietz F. et al. // Science. 2009. V. 323. P. 915.
- Yi S. D., Onoda S., Nagaosa N. et al. // Phys. Rev. B. 2009. V. 80. Art. No. 054416.
- Edwards S.F., Anderson P.W. // J. Physics F. Met. Phys. 1975. V. 5. No. 5. P. 965.
- Frenkel Y., Kontorova T. // Acad. Sci. USSR J. Phys. 1939. V. 1. P. 137.
- Темирязев А.Г., Здоровейщев А.В., Темирязева М.П. // Изв. РАН. Сер. физ. 2023. T. 87. № 3. C. 368; Temiryazev A.G., Zdoroveishchev A.V., Temiryazeva M.P. // Bull. Russ. Acad. Sci. Phys. 2023. V. 87. No. 3. P. 318.
- Шарафуллин И.Ф., Нугуманов А.Г., Баишева А.Х. и др. // Изв. РАН. Сер. физ. 2023. Т. 87. № 4. С. 511; Sharafullin I.F., Nugumanov A.G., Baisheva A.H. et al. // Bull. Russ. Acad. Sci. Phys. 2023. V. 87. No. 4. P. 443.
Supplementary files






