Surface tension of propane–methane solution in the temperature range of 318.15–333.15 K
- Authors: Khotienkova M.N.1, Andbaeva V.N.1
-
Affiliations:
- The Institute of Thermal Physics of the Ural Branch of the Russian Academy of Sciences
- Issue: Vol 88, No 9 (2024)
- Pages: 1345–1351
- Section: Condensed Matter Physics
- URL: https://bakhtiniada.ru/0367-6765/article/view/283352
- DOI: https://doi.org/10.31857/S0367676524090026
- EDN: https://elibrary.ru/OESAKR
- ID: 283352
Cite item
Full Text
Abstract
We presented the results of measuring of the capillary constant of a propane-methane solution along the saturation line in the temperature range of 318.15–333.15 K at pressures from the saturation pressure of pure propane up to 4 MPa. The surface tension of the solution was determined. Equations approximating the concentration and pressure dependences of surface tension are constructed.
Full Text
Введение
К основным экологическим проблемам современного мира относятся разрушение озонового слоя Земли, загрязнение атмосферы и Мирового океана и др. По данным World Energy Council, на угольные станции в США и Германии приходится более половины вырабатываемой электроэнергии, а в Австралии, Индии и Китае эта доля приближается к 80%. В России этот показатель не превышает 18%. Сжигание угля приводит к выбросам в атмосферу ядовитых веществ (SO2, NO, CO, Hg, As). Но самая большая проблема – это выброс углекислого газа. По этим причинам мировое сообщество постепенно переходит на альтернативные топлива и хладагенты. Согласно Монреальскому протоколу, хладагенты в охлаждающем оборудовании должны быть лишены возможности воспламеняться и соответствовать определенным экологическим требованиям [1]. Все больше набирает популярность оборудование, где в качестве рабочего вещества используется смесь углеводородов. В связи с этим встают задачи по исследованию различных свойств углеводородных систем.
Одним из важных физико-химических свойств является поверхностное натяжение σ. Оно играет ключевую роль в процессах кипения и конденсации. В кинетической теории нуклеации [2, 3] работа зародышеобразования новой фазы определяется третьей степенью σ [2].
В настоящей работе в качестве объекта исследования выбрана система пропан–метан. Данный раствор применяется в различных производственных процессах: изготовление стекла, плавильни, используется в качестве топлива для автотранспорта и авиации. Раствор пропан–метан обладает нулевым потенциалом разрушения озонового слоя и его использование может существенно уменьшить выбросы загрязняющих веществ в атмосферу по сравнению с традиционными видами топлива.
Обзор статей, посвященных экспериментальному определению поверхностного натяжения раствора пропан–метан представлен в работе [4]. Имеющиеся данные относятся к ограниченной области температур и не могут быть использованы для построения уравнения, позволяющего определить поверхностное натяжение раствора в интервале температур от тройной до критической точки растворителя – пропана (85.52−369.89 К). Данная работа является первой частью серии работ, посвященных определению поверхностного натяжения раствора пропан–метан в широком интервале температур и построению единого уравнения для поверхностного натяжения.
В работе представлены экспериментальные данные по поверхностному натяжению системы пропан–метан, полученные методом капиллярного поднятия. Приводится вид уравнения состояния, с помощью которого был определен состав раствора, а также плотности жидкой и паровой фаз. Получены уравнения, описывающие барическую и концентрационную зависимости поверхностного натяжения в интервале температур 318.15–333.15 К.
Эксперимент
Метод капиллярного поднятия позволяет определить капиллярную постоянную a2 исследуемого вещества из условия баланса давлений в сосуществующих фазах на уровне горизонтальной поверхности [5]. Дифференциальный вариант данного метода предполагает использование нескольких капилляров различного внутреннего диаметра (в эксперименте количество капилляров равно трем), что позволяет получить три независимых значения a2 и тем самым повысить надежность полученных данных. Схема экспериментальной установки и методика проведения эксперимента представлены в работе [6].
В эксперименте катетометром измеряются высоты поднятия жидкости hi в стеклянных капиллярах различного внутреннего диаметра. В предположении полной смачиваемости стенок капилляра a2 можно определить по формуле:
(1)
где hij – разность высот поднятия жидкости в двух капиллярах, bi – радиус кривизны мениска в i-м капилляре.
Давление в системе, по значению которого определяется состав исследуемой смеси, измерялось пружинным манометром с неопределенностью и(р) = 0.006 МПа. Температура определялась с помощью платинового термометра сопротивления на 100 Ом с неопределенностью и(T) = 0.02 К. Термостатирование в эксперименте производилось прокачкой полиметилсилоксановой жидкости (ПМС-20) через циркуляционный термостат Julabo SL 12. Неопределенность измерения высоты столба жидкости в капилляре равна и(h) = 0.03 мм.
В табл. 1 представлена информация об используемых в эксперименте рабочих веществах.
Таблица 1. Постоянная решетки, ширина запрещенной зоны Gd2Zr2O7, рассчитанные с различными DFT-функционалами. В скобках после названия фун-кционала приведена доля ХФ-обмена, учитываемая в данном функционале
Расчет | Параметр решетки, Å | Ширина запрещенной зоны (HOMOLUMO), эВ |
PBE0 (25% ХФ) | 10.5878 | 5.65 |
B3LYP (20% ХФ) | 10.6839 | 5.28 |
WC1LYP (16% ХФ) | 10.6310 | 4.80 |
PBE (0% ХФ) | 10.6615 | 3.34 |
Эксперимент | 10.5341 [1] | [18] |
Неопределенность капиллярной постоянной и(a2) определяется точностью измерения высоты поднятия жидкости в капилляре (hij) и точностью определения радиусов капилляров (ri):
. (2)
Объединенное стандартное отклонение капиллярной постоянной иc(a2) можно оценить, используя уравнение (2), куда входит неопределенность капиллярной постоянной и(a2), давления и(р) и температуры и(T).
(3)
Подробный расчет неопределенности капиллярной постоянной и поверхностного натяжения представлен в наших предыдущих работах [6, 7].
Наибольший вклад оказывает неопределенность, связанная с определением радиуса капилляра, а максимальное значение иc(a2) не превосходит 0.030 мм2.
Стандартная неопределенность определения поверхностного натяжения иc(σ) не превосходит 0.077 мН/м и складывается из неопределенности капиллярной постоянной, разности ортобарических плотностей жидкой и паровой фаз, рассчитанных по уравнению состояния, а также давления и температуры.
Результаты
В ходе опытов капиллярная постоянная раствора пропан–метан измерена при четырех значениях температуры: 318.15, 323.15, 328.15 и 333.15 К от давления насыщения чистого пропана до 4 МПа. Результаты экспериментов (T, p, a2) представлены в табл. 2.
Таблица 2. Кристаллическая структура Sm2Zr2O7. Постоянная решетки и межионные расстояния, Å. Расчет с функционалом PBE0
Давление, ГПа | Постоянная решетки | Координата кислорода O1 (48 f ) | Zr-O1 × 6 | Sm-O1 × 6 | Sm-O2 × 2 |
0 | 10.6654 | 0.337 | 2.1009 | 2.5653 | 2.3091 |
3 | 10.6085 | 0.337 | 2.0923 | 2.5475 | 2.2968 |
6 | 10.5555 | 0.338 | 2.0843 | 2.5311 | 2.2853 |
9 | 10.5049 | 0.338 | 2.0767 | 2.5153 | 2.2744 |
12 | 10.4568 | 0.339 | 2.0695 | 2.5004 | 2.2640 |
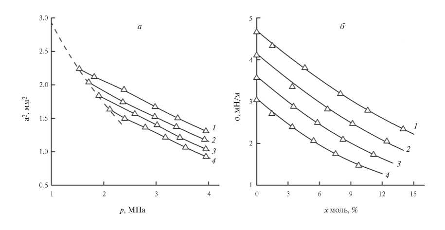
Зависимость капиллярной постоянной раствора пропан–метан от давления представлена на рис. 1а. Здесь же пунктирной линией показана капиллярная постоянная чистого пропана [8]. Во всем исследованном диапазоне T и p зависимость капиллярной постоянной является квадратичной функцией давления. Увеличение давления (что соответствует росту концентрации метана в растворе) приводит к уменьшению капиллярной постоянной.
Рис. 1. Барическая зависимость капиллярной постоянной (а) и концентрационная зависимость поверхностного натяжения (б) раствора пропан–метан по изотермам. (1 – T = 318.15 К; 2–323.15; 3–328.15; 4–333.15).
Поверхностное натяжение рассчитано по формуле [5, 9]:
, (4)
где g = 9.8162 Н/кг – ускорение свободного падения, Δρ = ρL – ρV – разность ортобарических плотностей жидкой и паровой фаз.
Состав сосуществующих фаз раствора и значения ортобарических плотностей определены по равновесному значению давления, используя уравнение состояния GERG-2004 [10]. В данной модели приведенная энергия Гельмгольца раствора представлена в виде:
, (5)
где α0 – описывает свойства идеально газовой смеси при заданной плотности раствора, температуре и молярном составе, αm – описывает неидеальность раствора, αr – задает свойства чистых компонентов раствора. На линии фазового равновесия должны быть равны давления жидкой p′ и паровой p′′ фаз, а также химические потенциалы жидкой μ′ и паровой μ′′ фаз первого и второго компонентов раствора:
(6)
Решение данной системы уравнений (6) проведено методом Ньютона–Рафсона [11]. Результаты расчета (x, y, Δρ и σ) представлены в табл. 2.
Концентрационные зависимости поверхностного натяжения раствора пропан–метан представлены на рис. 1б. В исследованном диапазоне параметров состояния изотермы поверхностного натяжения описываются квадратичными функциями концентрации метана в жидкой фазе раствора x. Для зависимости поверхностного натяжения от давления характерна аналогичная зависимость. Можно записать следующие соотношения для зависимостей поверхностного натяжения от давления и концентрации метана в жидкой фазе раствора:
(7)
. (8)
Здесь ps – давление чистого пропана на линии насыщения [12], , и σ0 – поверхностное натяжение чистого пропана [13]:
(9)
где σ* = 57.81 мН/м, μ = 1.271, γ1 = –0.144, γ2 = 0.226, (Tc = 370.4 K) [13],
(10)
где n1 = –6.7722, n2 = 1.6938, n3 = –1.3341, n4 = –3.1876, n5 = 0.94937, pc = 1.2512 MПа [12].
Функции , , , могут быть записаны в виде
(11)
(12)
(13)
(14)
Коэффициенты уравнений (11)–(14) определены методом регрессионного анализа, значения представлены в табл. 3.
Таблица 3. Sm2Zr2O7. Заряды ионов, |e|. Заряды на связях, |e|. В приближении Малликена
Давление, ГПа | Sm | Zr | O1 | O2 | Sm-O1 | Sm-O2 |
0 | +2.233 | +3.009 | –1.475 | –1.636 | 0.031 | 0.065 |
3 | +2.270 | +3.007 | –1.480 | –1.673 | 0.027 | 0.082 |
6 | +2.294 | +3.004 | –1.484 | –1.695 | 0.023 | 0.094 |
9 | +2.316 | +3.002 | –1.486 | –1.719 | 0.018 | 0.107 |
12 | +2.336 | +2.999 | –1.489 | –1.736 | 0.014 | 0.118 |
На рис. 2 показаны отклонения экспериментальных данных по поверхностному натяжению σ раствора пропан–метан от значений σeq, рассчитанных по уравнениям (7) и (8) соответственно.
Рис. 2. Отклонения экспериментальных данных по поверхностному натяжению раствора пропан–метан от рассчитанных по уравнению (7) (а) и отклонения экспериментальных данных по поверхностному натяжению раствора пропан–метан от рассчитанных по уравнению (8) (б). (1 – T = 318.15 К; 2 – 323.15; 3 – 328.15; 4 – 333.15.)
На рис. 2 значение . В исследованном интервале температур и при давлениях до 4 МПа максимальные отклонения получены на изотерме T = 323.15 K: 0.085 мН/м (от уравнения (7)) и 0,092 мН/м (от уравнения (8)).
Свойства реальных растворов отличаются от свойств, рассчитанных по правилу аддитивности. При температурах ниже критической температуры низкокипящего компонента (в данном случае критической температуры метана):
, (15)
где – капиллярная постоянная чистого пропана, – капиллярная постоянная чистого метана.
При температурах выше критической температуры метана (Tc = 190.54 K [5]):
(16)
где xc – мольная доля метана на критической линии.
На рис. 3 представлены экспериментальные данные по критическим параметрам раствора пропан–метан [4, 14–17]. Зависимость x(Tc) была аппроксимирована уравнением вида:
, (17)
где l1 = 15.734 моль, %, l2 = 0.848 моль, %∙К–1, l3 = = –1.94802 моль, %∙К–2, l3 = –1.16082∙10–6 моль, %∙К–3.
Рис. 3. Критическая линия раствора пропан–метан: 1 – [15]; 2 – [14]; 3 – [16]; 4 – [4], 5 – [17], пунктирная линия – данные, рассчитанные по уравнению (17).
Значения xc для каждой изотермы рассчитаны по уравнению (17). Экспериментальные значения a2(x) меньше значений, рассчитанных по правилу аддитивности [уравнение (16)]. Величина проявляет слабую ассиметрию. Отклонения от аддитивности уменьшаются с повышением температуры. Минимумы на изотермах с ростом температуры смещаются в сторону меньших значений концентрации метана в растворе.
Заключение
В интервале температур 318.15–333.15 К по четырем изотермам и при давлениях, не превышающих 4 МПа, получены данные по капиллярной постоянной и определено поверхностное натяжение раствора пропан–метан вдоль линии насыщения. Состав раствора и ортобарические плотности определены по уравнению состояния.
Увеличение доли метана в растворе приводит к понижению как капиллярной постоянной, так и поверхностного натяжения. Измерения проводились при температурах выше критической температуры метана, поэтому исследуемый раствор можно отнести к классу газонасыщенных растворов. В отличие от водорода и гелия, растворимость которых в жидких углеводородах достаточно мала (порядка 3–4 моль, %) [7, 18], в экспериментах с раствором пропан–метан концентрация метана достигала 14 моль, %. Даже в условиях комнатной температуры и при нормальном давлении, растворяясь в пропане метан образует однородный газовый раствор.
Рис. 4. Отклонение экспериментальных данных по капиллярной постоянной раствора пропан–метан от аддитивных значений, рассчитанных по уравнению (16): T = 318.15 K – сплошная линия; 323.15 K – штриховая линия; 328.15 K – пунктирная линия; 333.15 K – штрих-пунктирная линия.
Дальнейшее исследование данной системы (расширение температурного и концентрационного диапазона) позволит получить новые коэффициенты уравнений (7) и (8), описывающие поверхностное натяжение раствора пропан–метан в интервале температур от тройной до критической точки растворителя (пропана).
About the authors
M. N. Khotienkova
The Institute of Thermal Physics of the Ural Branch of the Russian Academy of Sciences
Email: andbaeva@mail.ru
Russian Federation, Ekaterinburg
V. N. Andbaeva
The Institute of Thermal Physics of the Ural Branch of the Russian Academy of Sciences
Author for correspondence.
Email: andbaeva@mail.ru
Russian Federation, Ekaterinburg
References
- Llovell F. // J. Chem. Eng. Data. 2020. V. 65. No. 9. P. 4175.
- Baidakov V.G., Kaverin A.M., Andbaeva V.N. // J. Chem. Phys. B. 2022. V. 126. No. 51. P. 10907.
- Паршкова М.А., Липнягов Е.В. // Изв. РАН. Сер. физ. 2023. Т. 87. № 11. С. 1554; Parshakova M.A., Lipnyagov E.B. // Bull. Russ. Acad. Sci. Phys. 2023. V. 87. No. 11. P. 1586.
- Seneviratne K.N., Hughes T.J., Johns M.L. et al. // J. Chem. Thermodynam. 2017. V. 111. P. 173.
- Байдаков В.Г. Межфазная граница простых классических и квантовых жидкостей. Екатеринбург: УИФ «Наука», 1994.
- Andbaeva V.N., Baidakov V.G. // Fluid Phase Equilib. 2023. V. 565. Art. No. 113644.
- Андбаева В.Н., Хотиенкова М.Н. // Изв. РАН. Сер. физ. 2023. Т. 87. № 11. С. 1541; Andbaeva V.N., Khotienkova M.N. // Bull. Russ. Acad. Sci. Phys. 2023. V. 87. No. 11. P. 1575.
- Andbaeva V., Baidakov V. // Fuel. 2020. V. 287. Art. No. 119546.
- Андбаева В.Н., Хотиенкова М.Н., Каверин А.М. // Тезисы всеросс. конф. «XXXI Сибирский теплофизический семинар» (Новосибирск, 2014). С. 506.
- Kunz O., Klimeck R., Wagner W., Jaeschke M. The GERG-2004 wide-range equation of state for natural gases and other mixtures. Düsseldorf: VDI Verlag GmbH, 2007. 555 p.
- Волкова Е.А. Численные методы. М.: Физматлит, 2003. 249 с.
- Lemmon E.W., McLinden M.O., Wagner W. // J. Chem. Eng. Data. 2009. V. 54. P. 3141.
- Baidakov V.G., Sulla I.I. // J. Phys. Chem. 1985. V. 59. P. 551.
- Roof J.G., Baron J.D. // J. Chem. Eng. Data. 1967. V. 12. P. 292.
- Reamer H.H., Sage B.H., Lacey W.N. // Ind. Eng. Chem. 1950. V. 42. P. 534.
- Wichterle I., Kobayashi R. // J. Chem. Eng. Data. 1972. V. 17. P. 4.
- Sage B.H., Lacey W.N., Schaafsma J.G. // Ind. Eng. Chem. 1934. V. 26. P. 214.
- Андбаева В.Н., Хотиенкова М.Н. // Изв. РАН. Сер. физ. 2022. Т. 86. № 2. С. 210; Andbaeva V.N., Khotienkova M.N. // Bull. Russ. Acad. Sci. Phys. 2022. V. 86. No. 2. P. 154.
- Sage B.H., Lacey W.N., Schaafsma J.G. // Ind. Eng. Chem. 1934. V. 26. P. 214.
Supplementary files






