Light absorption and light scattering in magnetic fluids with different aggregative stability
- Authors: Yerin C.V.1, Vivchar V.I.1
-
Affiliations:
- North Caucasus Federal University
- Issue: Vol 88, No 10 (2024)
- Pages: 1513-1518
- Section: Physics of magnetic fluids and composite materials based on them
- URL: https://bakhtiniada.ru/0367-6765/article/view/283349
- DOI: https://doi.org/10.31857/S0367676524100025
- EDN: https://elibrary.ru/DTSKOO
- ID: 283349
Cite item
Full Text
Abstract
The optical effects of dichroism, static scattering and light extinction of under the action of a magnetic field in magnetic fluids with an average particle size of 6.7 and 13.7 nm have been studied. Significant differences were found both in the magnitude of the effects and in their spectral behavior, which can be associated with the formation of aggregates in the sample with larger particles, which significantly change the optical properties of the system. The appearance of aggregates under the action of the field was confirmed by the method of dynamic light scattering.
Full Text
ВВЕДЕНИЕ
Многочисленные исследования показывают, что в магнитных жидкостях могут содержаться агрегаты наночастиц различного типа [1—4]. Такие агрегаты могут возникать как спонтанно, за счет различных взаимодействий между наночастицами, так и под действием внешнего магнитного поля. Наличие агрегатов может существенно менять физические свойства системы [1, 2, 5, 6].
Влияние агрегатов на оптические свойства магнитных жидкостей исследуется с 1970-х гг. Одной из первых стала работа [7], в которой по возникновению анизотропного рассеяния света были обнаружены агрегативные структуры в магнитной жидкости в магнитном поле. В дальнейшем помимо рассеяния света для обнаружения больших и малых агрегатов коллоидных частиц и исследования структур в магнитных жидкостях широко использовался эффект изменения прозрачности [8, 9], динамическое рассеяние света [10, 11], а также двойное лучепреломление и дихроизм [12, 13]. Одновременно с исследованиями агрегатов был накоплен большой массив экспериментальных фактов и построены теории оптических эффектов в магнитных жидкостях, не склонных к образованию агрегатов, в том числе учитывающие наличие у магнитных наночастиц суперпарамагнитных свойств [14, 15]. Разделение вкладов в оптический эффект, вызываемых отдельными наночастицами и агрегатами, вызывает известные трудности, связанные с полидисперсностью образцов [16], а также тем, что агрегаты, как правило, не обладают спонтанной намагниченностью в отсутствие поля [17]. В связи с этим представляет интерес изучение особенностей оптических эффектов, обусловленных рассеянием и ослаблением света, в близких по составу и концентрации магнитных жидкостях, но при этом отличающихся степенью агрегативной устойчивости. Комплексные исследования рассеяния света и изменения прозрачности хорошо зарекомендовали как себя для магнитных жидкостей с наночастицами магнетита [18], так и для композитных сред на их основе [19, 20].
В настоящей работе мы представляем результаты экспериментальных исследований статического и динамического рассеяния света, а также спектров пропускания двух образцов магнитных жидкостей, один из которых обладает высокой устойчивостью к образованию агрегатов, а другой склонен к их возникновению в достаточно малых полях.
ЭКСПЕРИМЕНТ
Были произведены измерения двух исходных магнитных жидкостей типа магнетит в керосине с дисперсным составом. Образец № 1 (производитель НИПИ «Газпереработки», г. Краснодар) исходная объемная концентрация магнетита концентрация 15 %, средний радиус частиц магнетита 6.7 нм. Образец № 2 (производитель НТЦ «Магнитные жидкости», г. Наро-Фоминск), исходная объемная концентрация магнетита 10 %, средний радиус частиц магнетита 13.7 нм. Объемная концентрация определялась по измерениям плотности исходных образцов. Из двух исходных магнитных жидкостей путем разбавления были получены несколько образцов с концентрациями от 0.01 до 0.5 %.
Исследовались следующие оптические параметры образцов: спектры пропускания и их изменение под действием магнитного поля, спектры параметра дихроизма ∆k. Для измерения эффектов ослабления света и дихроизма использовался эллипсометрический комплекс «ЭЛЛИПС-1891» в режиме спектрофотометра. Магнитное поле создавалось электромагнитом, установленным на столике для образца в эллипсометре. Образец магнитной жидкости помещался в стеклянную прямоугольную кювету толщиной от 1 до 5 мм в зависимости от концентрации, и производились измерения падающего I0 и прошедшего I света, далее автоматически с помощью программного обеспечения Spectr производился расчет светопропускания по формуле
. (1)
Для исследования явления дихроизма образец в кювете толщиной 5 мм помещали на предметный столик эллипсометра в область однородного магнитного поля. Свет, поляризованный под углом 45° к вертикали, проходил через слой магнитной жидкости. Магнитное поле создает в магнитном коллоиде одноосную оптическую анизотропию, в результате световой луч, прошедший перпендикулярно оптической оси становится эллиптически поляризованным. В технике эллипсометрии состояние поляризации принято описывать при помощи эллипсометрических углов ∆ и Ψ. За счет дихроизма коэффициенты ослабления света для состояний поляризации, параллельных и перпендикулярных направлению поля, будут отличаться, что позволяет определять основной параметр дихроизма через измерение эллипсометрического угла Ψ. Расчет параметра дихроизма ∆k осуществляли по формуле:
, (2)
где k|| и k^ — показатели ослабления света для лучей, поляризованных параллельно и перпендикулярно полю, длина волны падающего света, l — толщина слоя магнитной жидкости.
Образцы также исследовали методом динамического и статического рассеяния света. Для измерения рассеянного света использовали спектрометр динамического и статического рассеяния света Photocor Complex. Проводили измерения статического и динамического рассеяния света на угол 90°. Определяли распределение частиц по вкладу в интенсивность рассеянного света G(r), а также измеряли зависимости изменения интенсивности рассеянного света от напряженности внешнего магнитного поля.
На рис. 1 показаны спектры пропускания двух образцов магнитных жидкостей с одинаковой концентрацией твердой фазы 0.5 % без воздействия магнитного поля в кювете толщиной 1 мм. Спектры светопропускания для двух образцов одинаковой концентрации имеют схожий характер, но светопропускание в образце № 2 заметно меньше, чем в образце № 1. Характерной особенностью спектров пропускания магнитных жидкостей с магнетитовыми частицами является наличие выраженного максимума прозрачности в области 740—750 нм.
Рис. 1. Спектры пропускания образцов № 1 и № 2 одинаковой концентрации 0.5 % в кюветах одинаковой толщины.
Действие магнитного поля на агрегативно неустойчивую магнитную жидкость может приводить к появлению агрегатов частиц размером от нескольких десятков до нескольких сотен нанометров. Наличие таких агрегатов даже в небольшой концентрации должно кардинально изменить оптические свойства системы. Мы исследовали влияние агрегатов на ослабление и рассеяние света под действием магнитного поля в магнитных жидкостях, устойчивых и неустойчивых к агрегированию.
На рис. 2 представлены изменения спектров пропускания образцов № 1 и № 2 с концентрацией 0.1 % в кювете толщиной 2 мм при воздействии магнитного поля. В образце № 1 изменение спектров пропускания незначительное и не превышает 10 % в поле 20 кА/м. При этом в образце № 2 максимальное значение светопропускания уменьшается более чем в 2 раза при воздействии такого же поля и при этом максимум пропускания в области 740—750 нм практически исчезает.
Рис. 2. Изменение спектра пропускания образца № 1 (а) и образца № 2 (б) при воздействии магнитного поля.
Результаты измерения параметра дихроизма ∆k как функции длины волны при различных значениях напряженности поля представлены на рис. 3. Главной особенностью данных спектров является наличие максимума в коротковолновой области спектра и минимума в области около 750 нм. Наличие минимума в спектре дихроизма хорошо коррелирует с наличием максимума в спектре пропускания магнитных коллоидов. При этом из графика видно, что в образце № 2 эффект в 3.5—4 раза больше, чем в образце № 1 при воздействии одинакового по величине поля. При воздействии поля изменения спектров дихроизма в образцах с различным размером частиц выглядят по-разному. В образце № 1 действие поля делает минимум в области 750 нм более выраженным и увеличивает амплитуду максимума в коротковолновой области, а в образце № 2 увеличение напряженности поля приводит к росту дихроизма в ближней ИК-области и практически полному исчезновению минимума в области 740—750 нм.
Рис. 3. Спектры эффекта дихроизма в образцах № 1 (а) и № 2 (б).
На рис. 4 представлены результаты измерения относительной интенсивности рассеянного света на угол 90° для образцов № 1 и № 2 с концентрацией 0.1 % в зависимости от величины магнитного поля. В образце № 1 влияние магнитного поля на интенсивность рассеянного света крайне незначительно, в поле около 15 кА/м изменение не превышает 5 %. В образце № 2, начиная с 8 кА/м, наблюдается резкий рост интенсивности рассеянного света, в поле 15 кА/м интенсивность рассеянного света почти в два раза превышает первоначальную.
Рис. 4. Изменение интенсивности рассеянного света на угол 90° для образца № 1 и образца № 2 при воздействии магнитного поля.
ОБСУЖДЕНИЕ РЕЗУЛЬТАТОВ
Для коллоидов с малой концентрацией частиц прозрачность определяется на основе закона Бугера—Ламберта, согласно которому:
(3)
Здесь σ = σs + σa — сечение ослабления света отдельной частицей, складывающееся из сечения рассеяния σs и сечения поглощения света σa, n — числовая концентрация частиц. Сечение ослабления света для рэлеевских частиц x=2pr/l<<1 можно записать в виде [21, 22]
, (4)
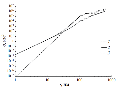
где — относительный комплексный показатель преломления материала частиц и окружающей среды, nk — показатель преломления керосина, n2 — комплексный показатель преломления магнетита, r − радиус частиц магнетита. Первое слагаемое в формуле (4) описывает поглощение света частицей, а второе — рассеяние света. Эти вклады имеют различные зависимости от размера частицы. Сечение поглощения для рэлеевских частиц пропорционально объему частицы, а сечение рассеяния — квадрату объема. Из этого следует, что с увеличением размера частицы вклад рассеяния света растет быстрее поглощения. Необходимо учитывать, что в процессе агрегирования могут образовываться структуры, размер которых не соответствует рэлеевскому приближению. В этом случае для частиц произвольного размера сечения ослабления, рассеяния и поглощения света могут быть рассчитаны по теории Ми [21]. Результаты таких расчетов для частиц магнетита представлены на рис. 5 для длины волны 650 нм. Как видно из рисунка, для малых частиц магнетита радиусом до 25 нм преобладает поглощение света, поскольку сечение поглощения значительно превосходит сечение рассеяния. При размере частиц около 30 нм вклад рассеяния и поглощения становится сравним, а при дальнейшем возрастании размеров вклад рассеяния частиц становится определяющим в сечении ослабления света. Также необходимо отметить практически линейную зависимость сечения ослабления от размера частицы в двойном логарифмическом масштабе только до размеров около 25—30 нм. Это означает, что известная из оптики дисперсных систем зависимость σ ~ λ‒4 не выполняется для частиц магнетита размером уже в несколько десятков нанометров. Очевидно, что причиной этого является значительное поглощение света нанодисперсным магнетитом в видимой области, особенно это нужно учитывать в области 480—600 нм, в которой у магнетита выраженный максимум мнимой части комплексного показателя преломления [23]. С учетом этого различие прозрачности для образцов одинаковой объемной концентрации, но с различным размером частиц (рис. 1) выглядит вполне логичным, так как сечение ослабления света для наночастиц магнетита радиусом 6.7 и 13.7 нм отличаются почти на порядок. При этом числовая концентрация более крупных частиц будет меньшей при одинаковой объемной концентрации магнетита в образцах. Принимая во внимание закон Бугера—Ламберта, ожидаемое различие прозрачности может составлять 1.5—2.5 раза, что согласуется с результатами, представленными на рис. 1.
Рис. 5. Расчет сечений ослабления (1), рассеяния σs (3) и поглощения света σa (2) частицами произвольного размера по теории Ми.
Из рис. 5 видно, что сечение рассеяния очень сильно зависит от размера частиц. Для рэлеевских частиц σs ~ r6, таким образом, изучение статического рассеяния света может успешно применяться для анализа агрегативной устойчивости магнитных жидкостей. С этой точки зрения отличия в характере рассеяния и ослабления света при воздействии поля, показанные на рис. 2б и 4б, могут быть объяснены агрегативной неустойчивостью образца № 2, в котором в полях свыше 8 кА/м происходит образование вытянутых вдоль поля агрегатов наночастиц и, как образованию агрегатов не приводит, поэтому изменения интенсивности рассеянного света и спектров пропускания в нем незначительны. Такие изменения могут быть интерпретированы изменением степени ориентационной упорядоченности несферических наночастиц магнетита под действием поля.
Появление в магнитном поле вытянутых вдоль направления поля агрегатов наночастиц оказывает существенное влияние и на эффекты оптической анизотропии в таких системах. Для света, поляризованного вдоль длинной оси агрегата, коэффициент ослабления света существенно увеличивается по мере вытяжения агрегата. Это приводит к значительному росту параметра дихроизма системы (см. рис. 3б). При этом в агрегативно устойчивой магнитной жидкости эффект дихроизма, как и хорошо изученный эффект двойного лучепреломления, объясняется ориентационным упорядочением несферических наночастиц магнетита под действием поля (рис. 3а). Особенно хорошо отличие в величине дихроизма в агрегативно устойчивой и неустойчивой магнитной жидкости заметно в области окна прозрачности (700—900 нм). Здесь величина эффектов в образце № 1 и № 2 отличается почти в 20 раз в поле одной и той же напряженности, при том, что в коротковолновой части видимого спектра отличие составляет примерно 4 раза.
Подтверждением возникновения агрегатов являются результаты исследования размеров частиц в образцах № 1 и № 2 методом динамического рассеяния света. В данном методе производится измерение коэффициентов поступательной диффузии и соответствующих им размеров частиц на основе анализа флуктуаций интенсивности рассеянного света [24].
На рис. 6 представлены распределения частиц по размерам в образцах № 1 и № 2 без поля и при воздействии поля напряженностью 9 кА/м, полученные методом динамического рассеяния света. В образце № 1 действие магнитного поля до 10—15 кА/м существенным образом не влияет на распределение частиц по размерам, что подтверждает его относительную агрегативную устойчивость. В образце № 2 при воздействии поля наблюдается существенное изменение распределения частиц по размерам со смещением максимума распределения в область более крупных частиц. Это является прямым доказательством наличия в образце № 2 агрегатов, возникающих при достижении некоторого критического поля.
Рис. 6. Распределение частиц по размерам по вкладу в интенсивность рассеянного света в образце № 1 (а) и образце № 2 (б).
ЗАКЛЮЧЕНИЕ
Возникновение агрегатов в магнитной жидкости приводит к существенным изменениям комплекса оптических эффектов, связанных с рассеянием и поглощением света. Отличие возникает не только в величине эффектов или их полевых зависимостях, что было обнаружено ранее, но и в спектральных особенностях эффектов. Физический механизм влияния агрегатов на оптические эффекты в магнитных жидкостях связан с зависимостью сечения ослабления света от размера частицы. Расчеты по теории Ми показывают, что в отдельных наночастицах магнетита и малых агрегатах радиусом до 30—40 нм преобладает поглощение света. При размерах агрегатов свыше 60—70 нм ослабление света определяется в основном рассеянием света на них.
Работа выполнена при поддержке государственного задания Минобрнауки России на выполнение научно-исследовательских работ (проект FSRN-2023-0006) с использованием оборудования Центра коллективного пользования Северо-Кавказского федерального университета при финансовой поддержке Минобрнауки России (уникальный идентификатор проекта RF-2296.61321X0029, соглашение № 075-15-2021-687).
About the authors
C. V. Yerin
North Caucasus Federal University
Author for correspondence.
Email: exiton@inbox.ru
Russian Federation, Stavropol
V. I. Vivchar
North Caucasus Federal University
Email: exiton@inbox.ru
Russian Federation, Stavropol
References
- Philip J. // Adv. Coll. Int. Sci. 2023. V. 311. Art. No. 102810.
- Chikazumi S., Taketomi S., Chikazumi S. // J. Magn. Magn. Mater. 1987. V. 65. P. 245.
- Mehta R.V., Rajesh Patel, Upadhyay R.V. et al. // Phys. Rev. B. 2006. V. 74. Art. No. 195127.
- Такетоми С., Тикадзуми С. Магнитная жидкость. М.: Мир, 1993. 272 с.
- Диканский Ю.И., Гладких Д.В. // ЖТФ. 2006. Т. 76. № 8. C. 13; Dikanskij Yu.I., Gladkikh D.V. // Tech. Phys. 2006. V. 51. No. 8. P. 976.
- Диканский Ю.И., Вегера Ж.Г., Закинян Р.Г. и др. // Коллоид. журн. 2005. Т. 67. № 2. С. 161; Dikanskij Yu.I., Vegera Zh.G., Zakinyan R.G. et al. // Colloid J. 2005. V. 67. No. 2. P. 134.
- Hayes C.F. // J. Coll. Int. Sci. 1975. V. 52. No. 2. P. 239.
- Mehta R.V., Upadhyay R.V., Patel R., Trivedi P. // J. Magn. Magn. Mater. 2005. V. 289. P. 36.
- Ерин К.В. // ЖТФ. 2006. Т. 76. № 9. С. 94; Erin K.V. // Tech. Phys. 2006. V. 51. No. 9. P. 1203.
- Reed W., Fendler J.H. // J. Appl. Phys. 1986. V. 59. No. 8. P. 2914.
- Ерин К.В. // Опт. и спектроск. 2016. Т. 120. № 2. С. 333; Erin K.V. // Opt. Spectrosc. 2016. V. 120. No. 2. P. 320.
- Jennings B.R., Xu M., Ridler P.J. // Proc. Royal Soc. A. 2000. V. 456. P. 891.
- Di Z., Chen X., Pu S., Hu X., Xia Y. // Appl. Phys. Lett. 2006. V. 89. No. 21. Art. No. 211106.
- Скибин Ю.Н., Чеканов В.В., Райхер Ю.Л. // ЖЭТФ. 1977. Т. 72. № 3. С. 949; Skibin Y.N., Chekanov V.V., Raikher Yu.L. // Sov. Phys. JETP. 1977. V. 45. No. 3. P. 496.
- Hasmonay E., Dubois E., Bacri J.-C. et al. // Eur. Phys. J. B. 1998. V. 5. P. 859.
- Ерин К.В., Вивчарь В.И., Шевченко Е.И. // Изв. РАН. Сер. физ. 2023. Т. 87. № 3. С. 315; Yerin C.V., Vivchar V.I., Shevchenko E.I. // Bull. Russ. Acad. Sci. Phys. 2023. V. 87. No. 3. P. 272.
- Ерин К.В. // Опт. и спектроск. 2009. Т. 106. № 9. С. 945; Erin K.V. // Opt. Spectrosc. 2009. V. 106. No. 6. P. 858.
- Иванова А.В., Никитин А.А., Абакумов М.А. // Изв. РАН. Сер. физ. 2020. Т. 84. № 11. С. 1580.
- Белых С.С., Ерин К.В. // Изв. РАН. Сер. физ. 2019. Т. 83. № 7. С. 962; Belykh S.S., Yerin C.V. // Bull. Russ. Acad. Sci. Phys. 2019. V. 83. No. 7. P. 878.
- Белых С.С., Ерин К.В., Фурсова В.В. // Изв. РАН. Сер. физ. 2023. Т. 87. № 3. С. 333; Belykh S.S., Yerin C.V., Fursova V.V. // Bull. Russ. Acad. Sci. Phys. 2023. V. 87. No 3. P. 287.
- Борен К., Хафмен Д. Поглощение и рассеяние света малыми частицами. М.: Мир, 1986. 664 с.
- Yerin C.V., Vivchar V.I., Belykh S.S. // Eurasian Phys. Tech. J. 2022. V. 19. No. 2. P. 86.
- Ерин К.В. // Неорг. матер. 2022. Т. 58. № 4. С. 421; Yerin C.V. // Inorg. Mater. 2022. V. 58. No. 4. P. 403.
- Schärtl W. Light scattering from polymer solutions and nanoparticle dispersions. Heidelberg, Berlin: Springer, 2007. 200 p.
Supplementary files








