Features of the behavior of the superconducting spin valve Fe1/Cu/Fe2/Cu/Pb on a piezoelectric substrate
- 作者: Kаmаshev А.А.1, Validov A.A.1, Garif’yanov N.N.1, Bolshakov S.А.1, Mamin R.F.1, Gаrifullin I.A.1
-
隶属关系:
- Federal Research Center Kazan Scientific Center of the Russian Academy of Sciences
- 期: 卷 88, 编号 7 (2024)
- 页面: 1149-1155
- 栏目: Spin physics, spin chemistry and spin technologies
- URL: https://bakhtiniada.ru/0367-6765/article/view/279576
- DOI: https://doi.org/10.31857/S0367676524070237
- EDN: https://elibrary.ru/OZASRI
- ID: 279576
如何引用文章
全文:
详细
The properties of the superconducting spin valve Fe1/Cu/Fe2/Cu/Pb on a piezoelectric substrate PMN-PT ([Pb(Mg1/3Nb2/3) O3]0.7 — [PbTiO3]0.3) in external magnetic and electric fields are studied. The magnitude of the shift of the superconducting transition temperature more than 200 mK was found when the mutual orientation of the magnetizations of the ferromagnetic layers changes from antiparallel to perpendicular in the magnetic field H0 = 1 kOe. In this case, an anomalous behavior of the dependence of superconducting transition temperature on the angle between the magnetizations of the ferromagnetic layers was detected, which manifested itself in the maximum values of superconducting transition temperature at an orthogonal orientation of the magnetizations of the ferromagnetic layers. The full effect of the superconducting spin valve was observed. It has been established that with an increase in the applied electric field to the PMN-PT piezoelectric substrate, the shift of the superconducting transition temperature increases. The maximum shift was 10 mK at an electric field strength of 1 kV/cm.
全文:
Введение
Изучение взаимного влияния сверхпроводимости и ферромагнетизма на свойства друг друга ведется с середины прошлого века. Интерес к таким исследованиям обусловлен тем, что эти два явления антагонистичны, поскольку ферромагнетизм предполагает параллельную (П) ориентацию спинов, а сверхпроводимость — антипараллельную (АП), так как спины электронов куперовской пары противоположно направлены. Изначально взаимодействие сверхпроводимости и ферромагнетизма изучали в интерметаллических соединениях и сплавах (см., например, [1—3]). На сегодняшний день основной акцент исследований в этой области смещен в сторону искусственно созданных тонкопленочных гетероструктур, состоящих из ферромагнитных и сверхпроводящих слоев, поскольку в них существует возможность пространственного разделения сверхпроводимости и ферромагнетизма. Создание и исследование таких структур стало возможным благодаря технологическому прогрессу получения высококачественных тонкопленочных металлических мультислоев (см. например, [4—8]).
Явления, наблюдаемые в тонкопленочных слоистых металлических структурах на основе сверхпроводников (С) и ферромагнетиков (Ф), получили название эффект близости сверхпроводник/ферромагнетик (С/Ф). Большинство особенностей этого эффекта подробно изложены в работах [6—10]. На сегодняшний день существует две теоретические модели сверхпроводящего спинового клапана (ССК), основанного на эффекте близости С/Ф. Первая модель ССК Ф1/Ф2/C была предложена в 1997 году группой профессора Бисли из Стэнфордского университета [11]. Чуть позднее в 1999 году была предложена другая возможная теоретическая модель ССК Ф1/С/Ф2 Тагировым [12] и Буздиным и др. [13, 14]. Обе теоретические модели схожи и предполагают зависимость температуры перехода в сверхпроводящее состояние (Tc) от взаимной ориентации намагниченностей ферромагнитных слоев (Ф-слоев). Эффект сверхпроводящего спинового клапана, заключается в различной степени подавления сверхпроводимости в ССК структурах при параллельной и антипараллельной взаимной ориентации намагниченностей ферромагнитных слоев. Как правило, это приводит к более высокому значению температуры сверхпроводящего перехода в случае антипараллельной ориентации намагниченностей ферромагнитных слоев (TcAП), чем в случае параллельной ориентации (TcП). При обратном эффекте ССК будет наблюдаться противоположное явление (TcAП < TcП).
Структуры CCК являются перспективными пассивными элементами для современной сверхпроводящей спинтроники, с помощью которых можно управлять сверхпроводящим током. Основным условием для этого является реализация полного эффекта сверхпроводящего спинового клапана, то есть когда ΔTс > ∂Tс (здесь ΔTс — величина эффекта сверхпроводящего спинового клапана, которая определяется как разность между TcП и TcAП; ∂Tс — ширина сверхпроводящего перехода).
Первоначально влияние взаимного направления векторов намагниченности на Tс было показано для структур ССК модели Ф1/С/Ф2 (см. например, [15—18]). Однако величина эффекта ССК, обнаруженная в этих работах, оказалась меньше значения ширины сверхпроводящих переходов ∂Tс, то есть полный эффект ССК реализован не был. Впервые экспериментально реализовать полное переключение между нормальным и сверхпроводящим состояниями в структуре ССК модели Ф1/Ф2/C удалось в 2010 году [19]. Полный эффект ССК для этой модели был продемонстрирован при взаимном изменении направления векторов намагниченности ферромагнитных слоев во внешнем магнитное поле, при этом величина эффекта ССК составила ΔTс = 19 мК при ширине сверхпроводящих переходов ∂Tс ~ 7 мК. В последние годы были исследованы различные структуры ССК с различными ферромагнитными и сверхпроводящими материалами [20—34].
Также в последние годы особое внимание в структурах ССК уделяют возникновению дальнодействующих триплетных компонент (ДТК) сверхпроводящего конденсата. Это открывает дополнительный канал проникновения куперовских пар из С-слоя в Ф-слои, что, в свою очередь, позволяет увеличить величину эффекта ССК, а значит, эффективность работы ССК. Генерация ДТК сверхпроводящего конденсата в Ф-слое была предсказана при анализе процессов проникновения куперовской пары из С-слоя в Ф-слой [35]. Вероятнее всего ДТК возникают из-за градиента магнитного поля, так как куперовская пара проникает из немагнитного материала в магнитный. В случае одного Ф-слоя суммарный спин ДТК равен 0 (Sz = 0). В этом случае при изучении транспортных свойств двухслойных систем С/Ф ДТК зафиксированы быть не могут. Однако если в Ф-слое имеется какая-либо магнитная неоднородность или появляется второй Ф-слой с неколлинеарным (например, ортогональным) направлением вектора намагниченности относительно первого, то суммарный спин ДТК становится равен 1 (Sz = ±1). В этом случае ДТК могут проникать на аномально большие расстояния из С-слоя в Ф-слой. Это объясняется тем, что в случае генерации ДТК спины электронов куперовской пары сонаправлены, а значит обменное поле ферромагнетика оказывает существенно меньшее деструктивное влияние на куперовскую пару, чем в синглетном случае. Глубина проникновения куперовских пар при генерации ДТК сравнима с глубиной проникновения обычной синглетной куперовской пары в нормальный металл. Дальнедействующие триплетные компоненты проявляются в системах с неколлинеарной ориентацией намагниченностей ферромагнитных слоев [36], а также в системах с пространственной или импульсной зависимостью обменного поля [37]. В ряде работ (см. например, обзоры [9, 38]) продемонстрировано аномально глубокое проникновение сверхпроводящего конденсата в Ф-слои.
Результаты работ [39—41] демонстрируют существенные величины ССК во внешнем магнитном поле. Это стимулирует поиск и изучение новых структур ССК с различными подходами к управлению сверхпроводящим током. Одним из таких подходов может быть создание структур ССК на пьезоэлектрической подложке. Это позволит управлять ССК с помощью электрического, а не магнитного поля. Следует предположить, что в структурах ССК на пьезоэлектрической подложке, взаимное изменение направления векторов намагниченности Ф-слоев может происходить под действием внешнего электрического поля на пьезоэлектрическую подложку за счет обратного магнитострикционного эффекта. Обратный магнитострикционный эффект в этой системе будет возникать из-за деформаций пьезоэлектрической подложки при приложении внешнего электрического поля. Деформации в пьезоэлектрической подложке могут вызывать напряжения в Ф-слое, нанесенном на эту пьезоэлектрическую подложку. Это, в свою очередь, проявится в появлении дополнительной магнитной анизотропии, которая при определенной конструкции системы может привести к изменению направления вектора намагниченности Ф-слоя.
Таким образом, если ССК модели Ф1/Ф2/С приготовить на пьезоэлектрической подложке, то появляется возможность управлять сверхпроводящим током с помощью электрического поля. В такой структуре можно будет добиться того, чтобы намагниченность Ф1-слоя на пьезоэлектрической подложке меняла свое направление под действием электрического поля на подложку, а намагниченность Ф2-слоя была зафиксированной. Для этого можно использовать Ф-слои с различной коэрцитивной силой.
В предыдущих работах мы наблюдали изменение направления вектора намагниченности ферромагнитного слоя на сегнетоэлектрической подложке с помощью магнитооптического эффекта Керра, при приложении электрического поля напряженностью в диапазоне от 0 до 1 кВ/см (см. например, [42]).
В данной работе исследованы особенности поведения сверхпроводящего спинового клапана Fe1/Cu/Fe2/Cu/Pb на пьезоэлектрической подложке PMN-PT ([Pb(Mg1/3Nb2/3) O3]0.7 — [PbTiO3]0.3). Согласно работам [43—45] пьезоэлектрическая подложка PMN-PT обладает одним из самых высоких пьезопараметров. Максимальный сдвиг Tc при прикладывании электрического поля напряжённостью 1 кВ/см к подложке составил 10 мК. Показана возможность реализации полного эффекта ССК во внешнем магнитном поле H0 = 1кЭ. Показано аномальное поведение Tc во внешнем магнитном поле, проявляющееся в максимальных значениях Tc при ортогональной ориентации векторов намагниченности ферромагнитных слоев. Разница в Tc между антипараллельной (TcAП) и ортогональной (TcПП) ориентациями составила более 200 мК при ∂Tc ~ 100 мК во внешнем магнитном поле H0 = 1кЭ.
Образцы и методика измерений
Образцы были приготовлены методом молекулярно-лучевой эпитаксии и магнетронного распыления в сверхвысоком вакууме 1·10–9 мбар (напылительное оборудование фирмы BESTEC) на подложках PMN-PT размерами 2×10×0.5 мм. В качестве подложек использовались коммерческие пьезоэлектрические подложки PMN-PT ([Pb(Mg1/3Nb2/3) O3]0.7 — [PbTiO3]0.3), полированные с одной стороны с шероховатостью не более 0.5 нм. Структура приготовленных образцов представлена на рис. 1а. Состав приготовленных тонкопленочных гетероструктур был следующий: PMN-PT/Fe1(3 нм)/Cu(4 нм)/Fe2(dFe2)/Cu(1.2 нм)/Pb(60 нм)/Si3N4 с варьируемой толщиной слоя Fe2 dFe2 в диапазоне от 1 до 3 нм. В данной конструкции: PMN-PT — пьезоэлектрическая подложка; Fe1 и Fe2 — ферромагнитные слои; Cu(4 нм) — слой нормального металла необходимого для разнесения намагниченностей Ф-слоев (Fe1 и Fe2); Cu(1.2 нм) — буферный слой, необходимый для гладкого роста Pb-слоя; Pb(60 нм) — сверхпроводящий слой; Si3N4 — защитный слой от окисления образцов в атмосферной среде. Все материалы, использованные для приготовления образцов, имели чистоту не ниже 4N (уровень примесей менее 0.01 ат. %). В данной конструкции ССК отсутствует антиферромагнитный (АФ) слой, который обычно используется для фиксации направления вектора намагниченности одного из Ф-слоев [19, 27—29]. Как правило, в качестве АФ-слоя мы использовали оксид кобальта (CoOx) для фиксации направления вектора намагниченности Ф1-слоя. В данном случае нет возможности использовать такой АФ-слой, поскольку необходимо создать непосредственный контакт между пьезоэлектрической подложкой и Ф1-слоем (Fе1-слой). В этой конструкции ССК любые дополнительные слои между пьезоэлектрической подложкой и ферромагнитным слоем могут уменьшать влияние магнитострикционных эффектов. Слои Fe1, Fe2, Cu и Pb были приготовлены методом молекулярно-лучевой эпитаксии. Для приготовления защитного слоя нитрида кремния (Si3N4) применялся метод магнетронного распыления на переменном токе. Для приготовления слоев структуры были использованы следующие скорости: 0.5 Å/с для Fe1, Fe2 и Cu-слоев; 12 Å/с для Pb-слоя; 1.8 Å/с для защитного Si3N4-слоя. Образцы были приготовлены при пониженной температуре подложки (Tsub ~ 150 K). Это критически необходимо для гладкого роста сверхпроводящего слоя (Pb-слоя). Ранее мы показали, что сверхпроводящий Pb-слой гладко растет при пониженной температуре подложки [46].
Рис. 1. Модель исследуемых структур ССК (а). Схема измерения удельного электрического сопротивления образцов стандартным четырехконтактным методом в электрическом поле (б): 1, 4 — токовые электроды; 2, 3 — потенциальные электроды; 5, 6 — емкостные пластины (обкладки конденсатора) для приложения электрического поля к пьезоэлектрической подложке.
Удельное электрическое сопротивление образцов измерялось стандартным четырехконтактным методом. Образец помещался в измерительную низкотемпературную ячейку, в которой электрическое поле к образцу прикладывалось перпендикулярно плоскости подложки (электроды располагались на нижней и верхней гранях образца). Схематическая модель измерения Тс в электрическом поле показана на рис. 1б. Температура образца контролировалась с помощью угольного термометра Allen-Bradley сопротивлением 230 Ом, который особенно чувствителен в интересующем нас диапазоне температур. Критическая температура Tc определялась как середина сверхпроводящего перехода.
Как правило, качество сверхпроводящего слоя определяется отношением остаточных сопротивлений RRR = R(300K)/R(10K). Этот параметр критически важен для сверхпроводящих материалов. Чем ближе это значение к 1, тем хуже качество сверхпроводящего материала (больше примесей в материале). Для всех образцов RRR находился в пределах 10—15, что свидетельствует о высоком качестве приготовленного Pb-слоя.
Толщина С-слоя является очень важным параметром для эффективной работы конструкции ССК. Толщина должна быть такой, чтобы весь С-слой был чувствителен к магнитной части системы ССК. Только в этом случае взаимная ориентация намагниченности Ф1 и Ф2-слоев будет влиять на Tc всей структуры ССК. Согласно предварительным исследованиям сверхпроводящих свойств трехслойных систем Fe(5 нм)/Cu(1.2 нм)/Pb(dPb), оптимальная толщина Pb-слоя dPb = 60 нм для наших систем ССК.
Схема измерения Тс образцов была следующая. Сначала образцы охлаждали до гелиевых температур во внешнем магнитном поле 8 кЭ в плоскости образца (так называемая процедура field-cooling). Далее внешнее магнитное поле уменьшали до нуля, и проводили исследования свойств образцов под действием внешних электрического и магнитного полей.
Экспериментальные результаты и их обсуждение
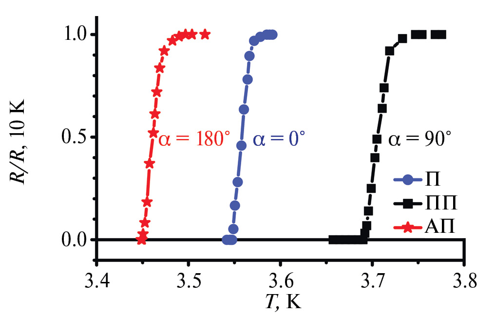
Наиболее интересные результаты были получены для образца PMN-PT/Fe1(3 нм)/Cu(4 нм)/Fe2(1 нм)/Cu(1.2 нм)/Pb(60 нм)/Si3N4. На рис. 2 представлены кривые сверхпроводящих переходов, измеренные при различной ориентации намагниченностей Ф-слоев: П (α = 0°), перпендикулярное (ПП, α = 90°) и АП (α = 180°). Здесь α — угол между направлением охлаждающего магнитного поля и приложенного магнитного поля H0 = 1 кЭ. Данные измерения проводились во внешнем магнитном поле H0 = 1 кЭ. Согласно рис. 2, разница в Тс между перпендикулярной (TcПП) и антипараллельной (TcAП) ориентациями намагниченностей Ф-слоев составляет более 200 мК при ∂Tc ~ 100 мК. Это демонстрирует возможность реализации полного эффекта ССК.
Рис. 2. Кривые сверхпроводящих переходов для образца PMN-PT/Fe1(3 нм)/Cu(4 нм)/Fe2(1 нм)/Cu(1.2 нм)/Pb(60 нм), измеренные при различной ориентации намагниченностей Ф-слоев (П – α = 0°; ПП — α = 90°; АП — α = 180°) во внешнем магнитном поле H0 = 1 кЭ. Ошибка эксперимента соответствует размеру символов.
На рис. 3 представлена зависимость сдвига Тс (ΔТс΄) от величины напряженности внешнего электрического поля (E), прикладываемого к пьезоэлектрической подложке PMN-PT, для образца PMN-PT/Fe1(3 нм)/Cu(4 нм)/Fe2(1 нм)/Cu(1.2 нм)/Pb(60 нм)/Si3N4. На вставке рис. 3 представлены кривые сверхпроводящих переходов для образца PMN-PT/Fe1(3 нм)/Cu(4 нм)/Fe2(1 нм)/Cu(1.2 нм)/Pb(60 нм)/Si3N4 при приложении электрического поля различной напряженности к пьезоэлектрической подложке PMN-PT.
Рис. 3. Зависимость сдвига Тс (ΔТс΄) от величины напряженности внешнего электрического поля (E), прикладываемого к пьезоэлектрической подложке PMN-PT, для образца PMN-PT/Fe1(3 нм)/Cu(4 нм)/Fe2(1 нм)/Cu(1.2 нм)/Pb(60 нм). На вставке представлены кривые сверхпроводящих переходов для образца PMN-PT/Fe1(3 нм)/Cu(4 нм)/Fe2(1 нм)/Cu(1.2 нм)/Pb(60 нм) при прикладывании электрического поля к пьезоэлектрической подложке PMN-PT. Ошибка эксперимента соответствует размеру символов.
Разница в Tc между перпендикулярной (TcПП) и антипараллельной (TcAП) ориентациями намагниченностей Ф-слоев составляет более 200 мК при ∂Tc ~ 100 мК (см. рис. 2). Следует отметить, что максимум в Tc наблюдается при ортогональной ориентации намагниченностей Ф-слоев при исследовании угловой зависимости Tc от угла α. Такое положение максимума является аномальным. Согласно теории Фоминова и др. [47], при ортогональной ориентации намагниченностей Ф-слоев должен наблюдаться минимум Tc на угловой зависимости. Это указывает на генерацию ДТК сверхпроводящего конденсата. Характерный минимум в Тс при ортогональной ориентации намагниченностей Ф-слоев наблюдался во множестве работ [29, 39—41]. В этих работах структуры ССК были как правило приготовлены на монокристаллических подложках МgO. Согласно результатам, представленным на рис. 2, можно предположить, что вектор намагниченности Fe1-слоя имеет фиксированную легкую ось намагничивания. Эта легкая ось намагничивания может быть связана с ростом образца на поверхности охлаждаемой пьезоэлектрической подложки PMN-PT. Деформация подложки при охлаждении может привести к возникновению легкой оси намагничивания Fe1-слоя. Можно предположить, что под воздействием внешнего магнитного поля вектор намагниченности Fe1-слоя скорее перпендикулярен (в плоскости) вектору намагниченности Fe2-слоя в структуре ССК. Этим косвенно можно объяснить наличие максимума Tc при ортогональной ориентации намагниченности Ф-слоев, то есть имеется поворот намагниченностей на 90° от классической модели [47]. К сожалению, такие особенности роста Fe1-слоя на поверхности подложки PMN-PT из магнитных измерений на СКВИДе зафиксировать не удалось.
Как известно, чем толще Ф-слой, тем легче повернуть направление его вектора намагниченности. Поэтому в наших образцах толщина Fe1-слоя как правило больше, чем толщина Fe2-слоя. Таким образом, Fe1-слой имеет меньшую коэрцитивную силу, чем Fe2-слой. Следовательно, изменить направление вектора намагниченности Fe1-слоя легче, чем Fe2-слоя.
Согласно результатам, представленным на рис. 3, сдвиг Tc увеличивается с увеличением величины напряженности электрического поля, приложенного к образцу. Кривые сверхпроводящего переходов на рис. 3 были измерены последовательно: без приложения электрического поля (0 кВ/см), с приложением 0.6 и 1 кВ/см соответственно. Увеличение приложенного электрического поля от 0.6 до 1 кВ/см привело к увеличению сдвига Tc в 2 раза (см. рис. 3). Существующая конструкция измерительной низкотемпературной ячейки не позволяет прикладывать большие значения напряженности внешнего электрического поля к образцу. Согласно результатам, представленным на рис. 3, осуществить полное переключение между нормальным и сверхпроводящим состояниями при приложении электрического поля не удалось. Главное условие для этого достигнуто не было (разница в Tc меньше величины ∂Tc). Несмотря на это, удалось продемонстрировать увеличение сдвига Tc с увеличением величины напряженности электрического поля, приложенного к образцу. С увеличением величины электрического поля возможно большее изменение взаимного направления векторов намагниченностей Ф-слоев, что и приводит к большему смещению Tc.
Согласно результатам, представленым на рис. 2 и 3, можно предположить, что без магнитного и электрического поля в наших структурах ССК существует некоторый угол между векторами намагниченности Ф-слоев. Это может быть обусловлено особенностями роста Fe1-слоя на поверхности охлаждаемой пьезоэлектрической подложки PMN-PT. Структура CCК работает на пьезоэлектрической подложке, если удается осуществить условие ΔTc > ∂Tc. Результат на рис. 3 демонстрирует возможное взаимное изменение направления векторов намагниченностей Ф-слоев, но этого изменения недостаточно для реализации полного эффекта ССК.
Заключение
Таким образом, исследованы особенности поведения сверхпроводящего спинового клапана Fe1/Cu/Fe2/Cu/Pb на пьезоэлектрической подложке PMN-PT во внешних магнитном и электрическом полях. Согласно полученным результатам, с увеличением величины напряженности приложенного электрического поля к подложке PMN-PT увеличивается сдвиг температуры перехода в сверхпроводящее состояние. Максимальная величина сдвига Tc составила 10 мК при приложении электрического поля напряженности 1 кВ/см. Обнаружен сдвиг температуры перехода в сверхпроводящее состояние более 200 мК, при этом продемонстрирована возможность реализации полного эффекта ССК во внешнем магнитном поле H0 = 1кЭ. Показано аномальное поведение зависимости Tc от α, которое проявлялось в максимальных значениях Tc при ортогональной ориентации Ф-слоев. Это косвенно может свидетельствовать о появлении легкой оси намагничивания Fe1-слоя при росте на охлаждаемую пьезоэлектрическую подложку PMN-PT. Увидеть это непосредственно из исследований магнитных свойств образцов не удалось, что, по-видимому, требует более детальных исследований. Результаты, полученные в магнитном поле, указывают на возможность реализации рабочей модели ССК на пьезоэлектрической подложке.
Исследования выполнены за счет средств Российского научного фонда (проект № 21-72-10178) и государственного задания ФИЦ КазНЦ РАН. В рамках гранта РНФ № 21-72-10178 были приготовлены образцы, проведены исследования образцов при воздействии электрического поля на пьезоэлектрическую подложку, проведена интерпретация полученных результатов при воздействии электрического поля. В рамках темы государственного задания ФИЦ КазНЦ РАН были проведены исследования образцов под воздействием магнитного поля и проведена интерпретация полученных результатов при воздействии магнитного поля.
作者简介
А. Kаmаshev
Federal Research Center Kazan Scientific Center of the Russian Academy of Sciences
编辑信件的主要联系方式.
Email: kаmаndi@mаil.ru
Zavoisky Physical-Technical Institute
俄罗斯联邦, KаzаnA. Validov
Federal Research Center Kazan Scientific Center of the Russian Academy of Sciences
Email: kаmаndi@mаil.ru
Zavoisky Physical-Technical Institute
俄罗斯联邦, KаzаnN. Garif’yanov
Federal Research Center Kazan Scientific Center of the Russian Academy of Sciences
Email: kаmаndi@mаil.ru
Zavoisky Physical-Technical Institute
俄罗斯联邦, KаzаnS. Bolshakov
Federal Research Center Kazan Scientific Center of the Russian Academy of Sciences
Email: kаmаndi@mаil.ru
Zavoisky Physical-Technical Institute
俄罗斯联邦, KаzаnR. Mamin
Federal Research Center Kazan Scientific Center of the Russian Academy of Sciences
Email: kаmаndi@mаil.ru
Zavoisky Physical-Technical Institute
俄罗斯联邦, KаzаnI. Gаrifullin
Federal Research Center Kazan Scientific Center of the Russian Academy of Sciences
Email: kаmаndi@mаil.ru
Zavoisky Physical-Technical Institute
俄罗斯联邦, Kаzаn参考
- Bulaevskii L.N., Buzdin A.I., Kuli´c M.L. et al. // Adv. Phys. 1985. V. 34. No 2. P. 175.
- Fischer O., Peter M. Magnetism: Magnetic properties of metallic alloys. Recent work on ferromagnetic superconductors. New York: Academic Press Inc., 1973.
- Rehmann S., Herrmannsdörfer T. // Phys. Rev. Lett. 1997. V. 78. No. 6. P. 1122.
- Garifullin I.A. // J. Magn. Magn. Mater. 2002. V. 240. P. 571.
- Chien C.L., Reich D.H. // J. Magn. Magn. Mater. 1999. V. 200. P. 83.
- Изюмов Ю.А., Прошин Ю.Н., Хусаинов М.Г. // УФН. 2002. Т. 172. № 2. С. 113.
- Buzdin A.I. // Rev. Mod. Phys. 2005. V. 77. No. 3. P. 935.
- Golubov A.A., Kupriyanov M.Y., Il’ichev E. // Rev. Mod. Phys. 2004. V. 76. No. 2. P. 411.
- Efetov K.B., Garifullin I.A., Volkov A.F., Westerholt K. // Magnetic heterostructures. Advances and perspectives in spinstructures and spintransport. Series Springer Tracts in Modern Physics. Berlin: Springer, 2007. 252 p.
- Bergeret F.S., Volkov A.F., Efetov K.B. // Rev. Mod. Phys. 2005. V. 77. P. 1321.
- Oh D., Youm S., Beаsley M.R. // Аppl. Phys. Lett. 1997. V. 71. Nо. 16. P. 2376.
- Tаgirоv L.R. // Physiса С. 1998. V. 307. P. 145.
- Buzdin A.I., Vedyayev A.V., Ryzhanova N.V. // Europhys. Lett. 1999. V. 48. No. 48. P. 686.
- Baladi´e I., Buzdin A.I., Ryazhanov N. et al. // Phys. Rev. B. 2000. V. 63. Art. No. 054518.
- Gu J.Y., You C.Y., Jiang J.S. et al. // Phys. Rev. Lett. 2002. V. 89. Аrt. Nо. 267001.
- Potenza A., Marrows C.H. // Phys. Rev. B. 2005. V. 71. Аrt. Nо. 180503.
- Moraru I.C., Pratt Jr. W.P., Birge N.O. // Phys. Rev. Lett. 2006. V. 96. Аrt. Nо. 037004.
- Miao G.-X., Ramos A.V., Moodera J. // Phys. Rev. Lett. 2008. V. 101. Аrt. Nо. 137001.
- Leksin P.V., Gаrif’yаnоv N.N., Gаrifullin I.А. et аl. // Аppl. Phys. Lett. 2010. V. 97. Аrt. Nо. 102505.
- Blamire M.G., Robinson J.W.A. // J. Phys. Cond. Matter. 2014. V. 26. Аrt. Nо. 453201.
- Eschrig M. // Rep. Progr. Phys. 2015. V. 78. Аrt. Nо. 104501
- Grein R., Löfwander T., Eschrig M. // Phys. Rev. B. 2013. V. 88. Аrt. Nо. 054502.
- Flokstra M.G., Cunningham T.C., Kim J. et аl. // Phys. Rev. B. 2015. V. 91. Аrt. Nо. 060501.
- Montiel X., Eschrig M. // Phys. Rev. B. 2018. V. 98. No. Аrt. Nо. 104513.
- Banerjee N., Ouassou J.A., Zhu Y. et аl. // Phys. Rev. B. 2018. V. 97. Аrt. Nо. 184521.
- Pugach N., Safonchik M., Belotelov V. et аl. // Phys. Rev. Appl. 2022. V. 18. Аrt. Nо. 054002.
- Leksin P.V., Garif’yanov N.N., Garifullin I.A. et аl. // Phys. Rev. Lett. 2012. V. 109. Аrt. Nо. 057005.
- Leksin P.V., Garif’yanov N.N., Kamashev A.A. et аl. // Phys. Rev. B. 2016. V. 93. Аrt. Nо. 100502
- Leksin P.V., Garif’yanov N.N., Kamashev A.A. et аl. // Phys. Rev. B. 2015. V. 91. Аrt. Nо. 214508.
- Камашев А.А., Валидов А.А., Гарифьянов Н.Н. и др. // Изв. РАН. Сер. физ. 2023. Т. 87. № 4. С. 518; Kamashev A.A., Validov A.A., Garif’yanov N.N. et al. // Bull. Russ. Acad. Sci. Phys. 2023. V. 87. No. 4. P. 448.
- Камашев А.А., Большаков С.А., Мамин Р.Ф., Гарифуллин И.А. // Изв. РАН. Сер. физ. 2023. Т. 87. № 9. С. 1268; Kamashev A.A., Bolshakov S.A., Mamin R.F., Garifullin I.A. // Bull. Russ. Acad. Sci. Phys. 2023. V. 87. No. 9. P. 1308.
- Камашев А.А., Гарифьянов Н.Н., Валидов А.А. и др. // Письма в ЖЭТФ 2019. Т. 110. № 5—6. С. 325; Kamashev A.A., Garif’yanov N.N., Validov A.A. et al. // JETP Lett. 2019. V. 110. No. 5. P. 342.
- Камашев А.А., Гарифьянов Н.Н., Валидов А.А. и др. // ЖЭТФ. 2020. Т. 158. № 2. С. 345. // Kamashev A.A., Garif’yanov N.N., Validov A.A. et al. // JETP. 2020. V. 131. No. 2. P. 311.
- Валидов А.А., Насырова М.И., Хабибуллин Р.Р., Гарифуллин И.А. // Изв. РАН. Сер. физ. 2023. Т. 87. № 4. С. 523; Validov A.A., Nasyrova M.I., Khabibullin R.R., Garifullin I.A. // Bull. Russ. Acad. Sci. Phys. 2023. V. 87. No. 4. P. 452.
- Bergeret F.S., Volkov A.F., Efetov K.B. // Phys. Rev. Lett. 2001. V. 86. Аrt. Nо. 4096.
- Volkov A.F., Bergeret F.S., Efetov K.B. // Phys. Rev. Lett. 2003. V. 90. Аrt. Nо. 117006.
- Mel’nikov A.S., Samokhvalov A.V., Kuznetsova S.M. et аl. // Phys. Rev. Lett. 2012. V. 109. Аrt. Nо. 237006.
- Efetov K.B., Garifullin I.A., Volkov A.F., Westerholt K. // Magnetic nanostructures. Spin dynamic and spin transport. Series Springer Tracts in Modern Physics. Berlin: Springer-Verlag, 2013. P. 85.
- Singh А., Vоltаn S., Lаhаbi K., Ааrts J. // Phys. Rev. X. 2015. V. 5. Аrt. Nо. 021019.
- Kаmаshev А.А., Gаrif’yаnоv N.N., Vаlidоv А.А. et аl. // Beilstein J. Nаnоteсhnоl. 2019. V. 10. P. 1458.
- Kаmаshev А.А., Gаrif’yаnоv N.N., Vаlidоv А.А. et аl. // Phys. Rev. B. 2019. V. 100. Аrt. Nо. 134511.
- Kamashev A.A., Leontyev A.V., Garifullin I.A. et al. // Ferroelectrics. 2022. V. 592. No. 1. P. 123.
- Zhang W., Wang Z., Yang X. et аl. // J. Cryst. Growth. 2021. V. 560—561. Аrt. Nо. 126061.
- Zhang Z., Xu J., Yang L. et аl. // Sens. Actuators A. 2018. V. 283. P. 273
- Song H.-C., Kang C.-Y., Yoon S-Y et аl. // Single Crystals. Met. Mater. Int. 2012. V. 18. P. 499.
- Leksin P.V., Kamashev A.A., Schumann J. et аl. // Nano Research. 2016. V. 9. P. 1005.
- Fоminоv Yа.V., Gоlubоv А.А., Kаrminskаyа T. Yu. et al. // Письма в ЖЭТФ. 2010. Т. 91. С. 329.
补充文件




