Viscous friction in a coaxial layer of magnetic fluid under uniform translational motion of walls
- Authors: Ivanov А.S.1, Koskov М.A.1, Somov S.А.1
-
Affiliations:
- Perm Federal Research Center of the Ural Branch of the Russian Academy of Sciences
- Issue: Vol 88, No 7 (2024)
- Pages: 1141-1148
- Section: Spin physics, spin chemistry and spin technologies
- URL: https://bakhtiniada.ru/0367-6765/article/view/279572
- DOI: https://doi.org/10.31857/S0367676524070225
- EDN: https://elibrary.ru/OZILFA
- ID: 279572
Cite item
Full Text
Abstract
Viscous friction of a magnetic fluid in a coaxial gap between a stationary nonmagnetic tube wall and a translational moving permanent magnet was investigated experimentally and theoretically. An analytical expression for the effective friction coefficient, confirmed in a laboratory experiment, was proposed in the framework of the model concepts of the Couette-Poiseuille flow profile with zero flow rate.
Full Text
Введение
Механические инерционные датчики широко используются в измерительной и регистрирующей аппаратуре: акселерометрах, инклинометрах (датчиках угла наклона), сейсмографах и других устройствах. Габариты и масса инерционных датчиков уступают параметрам MEMS и емкостных аналогов, однако технология их изготовления, напротив, проще и дешевле. Применение магнитных жидкостей (феррожидкостей) — коллоидных растворов ферро- и ферримагнитных материалов в немагнитных жидкостях-носителях [1—4], дало инерционным датчикам еще одно конкурентное преимущество — на порядок большую чувствительность к малым (~10–3 g) ускорениям, в сравнении с емкостными сенсорами [5—7]. Повышение чувствительности обеспечивается уменьшением силы трения покоя, действующей на инертную массу — постоянный магнит, левитирующий в объеме магнитной жидкости (далее — МЖ) [1, 8]. Несмотря на перечисленные преимущества, массового производства инерционных МЖ-датчиков не существует. Основной недостаток типовой конструкции датчика, предложенной еще в XX веке [6, 9—11], связан с принципиально неустранимым явлением магнитофореза коллоидных частиц [13—15] в МЖ, приводящего к сильному дрейфу нуля этих устройств. Проблема была решена исключением МЖ из процесса формирования полезного сигнала, когда минимально возможный объем МЖ-используется в качестве смазки инертной массы без заполнения корпуса датчика целиком [16—19]. Однако это решение в свою очередь привело к проблеме нелинейной характеристики датчика [21—23]. В теории одноосных регистрирующих приборов [24], смещение z инертной массы от положения равновесия описывается уравнением вынужденных колебаний
, (1)
где t — время, а f(t), γ и ω02 — нормированные на массу чувствительного элемента сила внешнего воздействия (измеряемый сигнал), коэффициенты трения и упругости (квадрат собственной частоты) соответственно. Для однозначного измерения сигнала f по величине смещения z, нормированные коэффициенты γ и ω02 должны быть константами. Ранее в работах [25, 26] нами была предложена магнитная система с линейным осевым градиентом напряженности поля, обеспечивающая линейную возвращающую силу. Компьютерное моделирование и испытания лабораторного макета подтвердили работоспособность такой конструкции датчика с ω02 = const в (1).
Предлагаемая работа направлена на получение информации о силе трения [коэффициент γ в уравнении (1)], действующей со стороны МЖ, заполняющей коаксиальный зазор, при поступательном равномерном относительном движении цилиндрических стенок. Внутренней стенкой зазора является боковая поверхность аксиально намагниченного цилиндрического тела (чувствительного элемента), а внешней — стенка немагнитной диэлектрической трубки, имитирующей корпус датчика. На сегодняшний день хорошо исследованным является круговое течение МЖ в коаксиальных зазорах МЖ-герметизаторов [27—29]. Известны также исследования поступательного движения тел по слою МЖ [30], однако существенное отличие геометрии этих задач исключает обобщение этих известных результатов на случай течения МЖ в коаксиальном зазоре. Предлагаемая работа посвящена исследованию важнейшего частного случая такого течения, возникающего при равномерном поступательном движении инертной массы (dz / dt = u0 =const) под действием силы тяжести. Такая постановка задачи упрощает уравнения (1) d2z / dt2 = 0 и ω02 = 0 и позволяет судить о коэффициенте трения по скорости установившегося движения. Таким образом, экспериментальное исследование сводится к измерению установившейся скорости падения цилиндрического магнитного тела, покрытого слоем МЖ в вертикальной трубке, а теоретическое исследование подразумевает аналитическое описание течения МЖ в коаксиальном зазоре.
Лабораторный эксперимент
Лабораторные опыты проводились на экспериментальной установке, устройство которой поясняется принципиальной схемой на рис. 1а. Вертикальная стеклянная трубка длиной L = 138 см и внутренним радиусом r2 = 2.24 мм была зафиксирована креплениями из немагнитного и неэлектропроводного материала (ABS-пластик). В качестве инертной массы использовали магнитные тела цилиндрической формы с направлением магнитного момента вдоль оси цилиндра. Были выбраны тела нескольких конструкций (см. рис. 2): одиночный цилиндрический постоянный магнит (а); два магнита с немагнитным стержнем между ними (б, в); сборки из нескольких (8—16 штук) кольцевых магнитов с прослойками из немагнитного материала (г). Магнитные сборки были изготовлены в калиброванных формах с применением эпоксидной смолы, что позволило одновременно достичь механической прочности и точности изготовления тела заданного размера (отклонения от идеальной цилиндрической поверхности не превышали 0.05 мм при диаметре тела 2r1 = 4.20 мм).
Рис. 1. Схема экспериментальной установки (а). Заполненный МЖ коаксиальный зазор между магнитом и трубкой с указанием направления основных сил (б).
Рис. 2. Магнитные тела в осевом разрезе (размеры в миллиметрах) слева и фотография магнитных тел справа.
При проведении опытов использовали МЖ вида «магнетит — олеиновая кислота — жидкие углеводороды» на основе керосина (образец 1) и трансформаторного масла (образец 2). Плотность МЖ ρ измеряли пикнометром, а динамическая вязкость η — ротационным вискозиметром Брукфильда в интервале температур T = +15…+30 °C (рис. 3а). Кривую намагниченности M(H) образцов МЖ (рис. 3б) измеряли методом дифференциальной прогонки [31]. Средний магнитный момент частиц ⟨μ⟩ и их числовую концентрацию n определяли методом магнитогранулометрического анализа кривых M(H) [32] (табл. 1). Плотность обеих МЖ отличалась незначительно, а их вязкость отличалась на порядок.
Рис. 3. Температурная зависимость вязкости МЖ. Точки — эксперимент, сплошные линии — аппроксимация по Аррениусу (а). Кривые намагничивания МЖ (б). Точки — эксперимент, сплошная кривая — интерполяция сплайнами. Нумерация кривых, соответствует обозначениям в табл. 1.
Таблица 1. Физические свойства МЖ при T = 25 °C. M∞ — намагниченность насыщения феррожидкости, χ0 — начальная магнитная восприимчивость
Объект | ρ, г⋅см-3 | η⋅103, Па⋅c | M∞, кА⋅м-1 | ⟨μ⟩⋅1020, А⋅м2 | n⋅10-22, м-3 | χ0 |
Образец 1 | 1.30 | 4.7 | 33.4 | 16.4 | 20 | 3.05 |
Образец 2 | 1.24 | 47.1 | 25.1 | 9.3 | 27 | 0.41 |
При проведении опытов инертные массы (рис. 2) покрывали слоем МЖ, объем которой дозировали шприцом и подбирали для каждого тела опытным путем так, чтобы МЖ не стекала под своей тяжестью, а при помещении тела в трубку полностью заполняла образовавшийся коаксиальный зазор. После размещения тела с МЖ в трубке начиналось его движение вниз под действием силы тяжести и сил вязкого трения о стенки канала. Для регистрации перемещения тела внутри трубки на ее внешней поверхности закрепляли датчики Холла (7 шт.) на одинаковом расстоянии (22 см) друг от друга. Многоканальный самописец на основе микроконтроллера Arduino, опрашивал датчики в режиме реального времени и записывал измерения индукции магнитного поля B(t) в энергонезависимую память (см. рис. 4). При прохождении магнитного тела вблизи датчика самописец регистрировал один или два (в зависимости от количества изолированных полюсов магнитной системы) характерных изменения сигнала B(t) с ярко выраженным минимумом и максимумом. Скорость падения тела определяли по сигналам B(t) и расстоянию между разными парами датчиков.
Рис. 4. Осциллограмма сигнала B(t) с датчиков Холла в опыте с магнитным телом (рис. 2в) (а), покрытого МЖ № 1; то же в опыте с телом (рис. 2г) (б).
Теоретические оценки
Рассмотрим коаксиальный зазор между внутренней стенкой трубки и цилиндрическим телом длины ℓ (рис. 1б). Радиусы внутренней и внешней цилиндрических поверхностей зазора обозначим r1 и r2 соответственно. Трубка неподвижна, а цилиндр двигается вдоль вертикальной оси z под действием силы тяжести. Физическая модель предполагает, что тонкий (r2 — r1 << ℓ) коаксиальный зазор заполнен ньютоновской несжимаемой МЖ. Это упрощающее предположение позволяет пренебречь движением МЖ вблизи торцов тела и считать, что вдоль бо́льшей части его боковой поверхности течение осесимметрично, а скорость всюду параллельна z. Скорость установившегося движения жидкости в зазоре — функция радиальной координаты r: = {0, 0, υ(r)}. Условие несжимаемости div( ) = 0 выполняется тождественно, а стационарное уравнение для скорости [33]:
, (2)
принимает вид
. (3)
Перейдем в систему отсчета, связанную с намагниченным цилиндром, в которой цилиндр покоится, а граничное условие прилипания МЖ имеет вид
. (4)
Трубка при этом движется с постоянной скоростью u0, равной по модулю и противоположной по направлению скорости падения цилиндра относительно Земли, а второе граничное условие прилипания МЖ имеет вид
. (5)
Предположим, что силы, действующие на МЖ со стороны магнитного цилиндра, достаточны для удержания всего объема МЖ в зазоре. Ввиду несжимаемости МЖ это эквивалентно требованию нулевого расхода в любом поперечном сечении зазора. В выбранной системе отсчета выдвинутое условие выглядит наиболее просто
. (6)
Условие равномерности движения магнита в проекции на вертикальную ось: mg = F, где g — модуль ускорения свободного падения, а m — суммарная масса намагниченного цилиндра и МЖ, равная πr12ρmℓ + π(r22 — r12) ρℓ, где ρm — средняя плотность цилиндрического тела. Сила вязкого трения [33] F = 2πr2ℓη[dυ(r2)/dr] действует со стороны стенок трубки на МЖ. Полученное равенство
(7)
не содержит длины цилиндра ℓ, таким образом, скорость движения цилиндра не зависит от его длины.
Уравнения (3) и условий (4—6) достаточно для описания стационарного течения МЖ в коаксиальном зазоре, нахождения коэффициента трения и скорости движения цилиндра относительно стенок. Для уменьшения числа параметров задачи произведем переход к безразмерным величинам. В качестве единицы измерения расстояния используем радиус цилиндра r1, скорости — ν/r1, где ν = η / ρ — кинематическая вязкость МЖ. При таком выборе единиц измерения масштаб силы равняется ν2ρ. Условие (7) принимает вид:
, (8)
где R2 = r2 / r1 — безразмерный радиус трубки, Ar = ρ(ρm - ρ)r13gη –2, Ga = ρ2r13gη –2 — числа Архимеда и Галилея, выражающие отношение сил тяжести, действующих соответственно на магнитное тело и слой МЖ к силе вязкого трения. Уравнение (3) и условия (4—6) не изменяются кроме как переобозначением физических величин в безразмерном виде. Профиль скорости, удовлетворяющий (3—6) (рис. 5а):
(9)
Рис. 5. Профиль скорости течения МЖ в коаксиальном зазоре (а) и зависимость коэффициента трения (в единицах ηℓ / m) от отношения радиусов стенок коаксиального зазора R2 = r2 / r1 (б).
Первое слагаемое здесь описывает течение Куэтта в зазоре между двумя поступательно движущимися цилиндрами, второе — течение Пуазейля, направленное в противоположную сторону. Относительная безразмерная скорость движения стенок U0 = u0r1 / ν имеет смысл числа Рейнольдса Re, поэтому (8) можно рассматривать как прямую пропорциональность критериев подобия:
, (10)
где коэффициенты пропорциональности зависят только от геометрических параметров зазора. Эта пропорциональность справедлива и в общем случае (1) действия на систему произвольной внешней силы, с той разницей, что под ускорением g следует понимать нормированное на массу характерное значение этой силы. В плане разработки инерционных МЖ датчиков пропорциональность (10) полезна при масштабировании инертной массы датчика, чувствительной к ускорению.
Сила трения, приходящаяся на единицу безразмерной длины ℓ / r1 магнитного цилиндра прямо пропорциональна скорости:
(11)
Установим, что постоянный коэффициент трения γ, выраженный в единицах ηℓ / m (рис. 5б), равен
(12)
Установившаяся безразмерная скорость движения стенки относительно магнитного тела, полученная подстановкой (9) в (8):
. (13)
При этом профиль скорости (9) устойчив к нормальным возмущениям, имеющим вид осесимметричных валов [34], поскольку величина
(14)
положительна для любого R2 > 1. Таким образом, теоретический анализ предсказывает возможность равномерного прямолинейного движения в рассматриваемой системе, что в дальнейшем проверялось на практике.
В общем случае вязкость МЖ зависит от магнитного поля, которое воздействует на магнитные моменты частиц, что приводит к изменению угловой скорости их механического вращения в потоке жидкости-носителя и увеличению вязкости [27, 35]. Дополнительное влияние на вязкость оказывают диполь-дипольные межчастичные взаимодействия. Зависимость η(H) существенна, например, для кобальтовых МЖ с броуновским механизмом релаксации намагниченности, когда энергия магнитной анизотропии частицы [36] велика и ее магнитный момент жестко связан с кристаллическим телом. Однако в наших магнетитовых МЖ с мелкими частицами (см. табл. 1) механизм релаксации намагниченности является неелевским, то есть магнитный момент может вращаться независимо от механического движения частиц [27]. Более того, поле постоянного магнита имеет порядок 1 МА·м –1, в котором МЖ намагничивается до состояния насыщения, поэтому диполь-дипольными взаимодействиями частиц можно пренебречь. Следовательно, полевое влияние на вязкость МЖ оказывается пренебрежимо малым, и в рамках модельных представлений нами не учитывается.
Анализ экспериментальных результатов
Для проверки результатов теоретического анализа была выполнена серия опытов на экспериментальной установке (рис. 1) по измерению средней скорости движения υ пробного тела. Средняя скорость находилась по времени прохождения испытуемым телом расстояния между двумя датчиками Холла, расположенными у верхнего и нижнего конца трубки. Неравномерность движения оценивали по среднеквадратичному отклонению δυ скорости от υ
, (15)
где суммирование ведется по скоростям υj прохождения телом интервалов между последовательно расположенными датчиками Холла. Всего N = 6 интервалов (рис. 1).
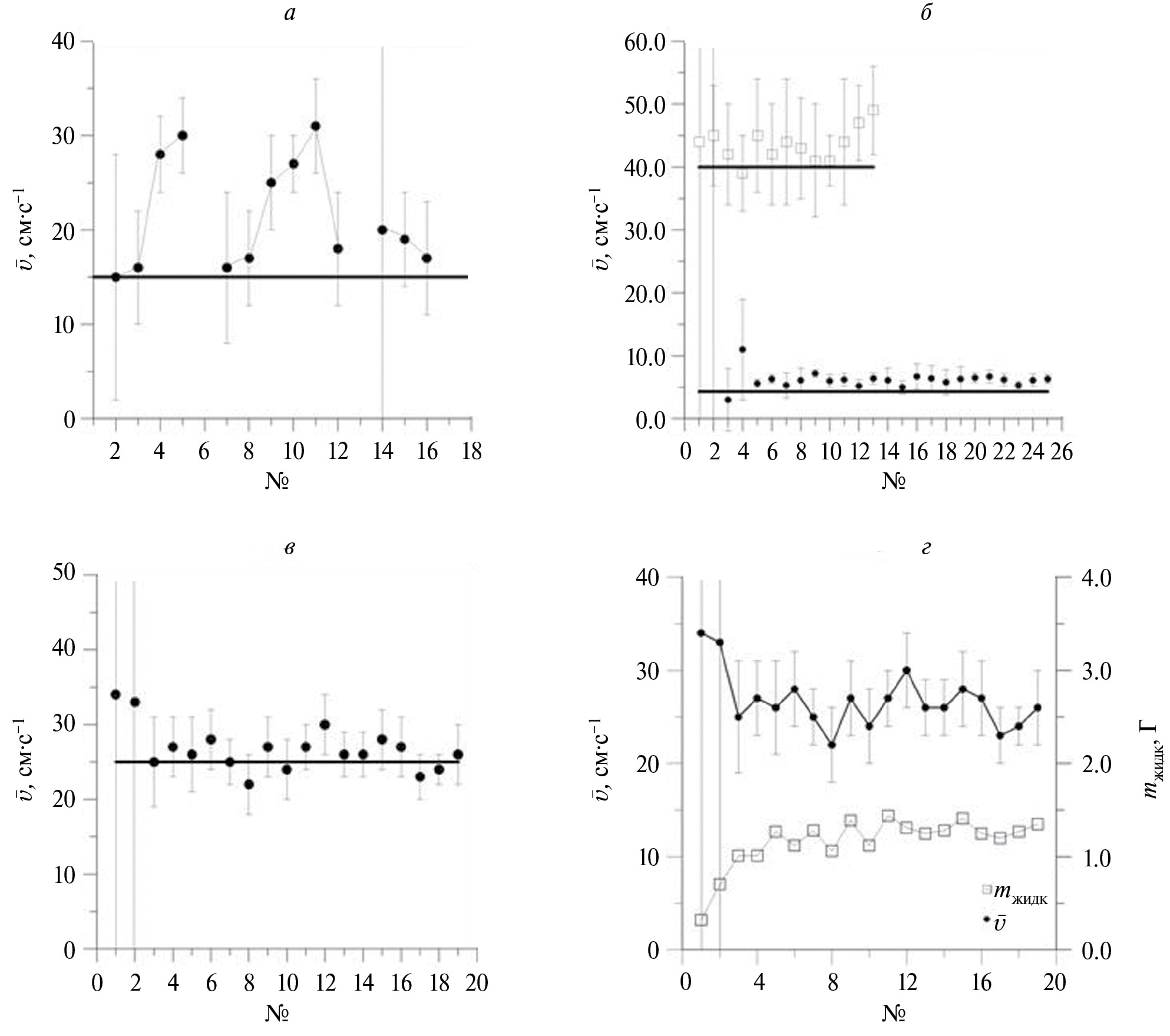
Некоторые результаты измерений представлены на рис. 6 в зависимости от номера последовательно проводимых опытов. Из рисунка видно, что первые опыты в каждой серии демонстрируют существенно неравномерное движение испытуемых тел δυ ≥ υ. Это явление связано с большим расходом МЖ на смачивание стенок изначально «сухой» трубки. По мере смачивания стенок движение магнитного тела становится более равномерным (рис. 6б и 6в), наблюдается повторяемость экспериментальных измерений δυ и υ. Впрочем, такой результат обнаруживается не для всех магнитных тел; например, на рис. 6а продемонстрированы нерегулярные результаты измерений υ для тела, изображенного на рис. 2б. Причина неудовлетворительного результата заключается в неспособности магнитной системы (рис. 2б) поддерживать сплошное наполнение коаксиального зазора МЖ. В процессе движения часть зазора заполнялась воздухом, структура течения в зазоре существенно менялась, что случайным образом влияло на среднюю скорость. В части опытов, из-за присутствия в коаксиальном зазоре воздуха, нарушалась цилиндрическая симметрия задачи, и испытуемое тело оказывалось прижатым к стенке трубки, что приводило к возникновению сухого трения и остановке движения (пропущенные точки на рис. 6а). Наилучшую равномерность движения демонстрируют цилиндрические тела (рис. 2г) с распределенными вдоль цилиндра чередующимися полюсами. В опытах с этими телами, МЖ полностью покрывала поверхность цилиндра, а коаксиальный зазор между цилиндром и стенками трубки оставался заполненным впродолжение всего опыта.
Рис. 6. Лабораторные измерения средней скорости падения магнитных тел из двух дисковых магнитов с немагнитной вставкой (рис. 2б), покрытого МЖ № 1 (а); тела из двух цилиндрических магнитов с алюминиевой вставкой (рис. 2в) покрытого МЖ № 1 и 2 (б); тела из 16 кольцевых магнитов с немагнитными вставками (рис. 2г), покрытого МЖ № 1 (в). Доверительные интервалы соответствуют среднеквадратичному отклонению скорости δυ. Горизонтальная прямая — расчет по формуле (13). Средняя скорость движения и масса слоя МЖ в трубке в зависимости от количества проведенных опытов (г).
Чтобы проверить пригодность формулы (12) для расчета коэффициента трения, измеренная средняя скорость сравнивалась с предсказаниями vU0 / r1 (рис. 6). Несмотря на простоту использованной физической модели, формула (13) хорошо описывает эксперимент: расчетные значения отличаются в меньшую сторону на 10—30 % по отношению к экспериментальным данным. Предположительно, причина расхождения объясняется наличием слоя МЖ на стенках трубки, из-за чего расход МЖ (6) через поперечное сечение коаксиального зазора оказывается отличным от нуля, что и приводит к увеличению скорости.
Для оценки толщины слоя МЖ, покрывающей трубку изнутри, в процессе опытов испытуемый магнитный цилиндр, покрытый слоем МЖ, взвешивали до и после прохода по трубке. Разность показаний весов демонстрировала количество МЖ, оставшихся на стенке трубки. На рис. 6г для примера, приведен совмещенный график средней скорости и массы пленки МЖ в зависимости от номера опыта. Разумеется, повторяемость измерений скорости соответствует постоянному количеству МЖ единомоментно находящемуся в трубке. Числовые оценки показывают, что толщина слоя МЖ на стенках составляет ≈ 0.06 мм, что коррелирует с систематической погрешностью ~ 30 % ширины коаксиального зазора.
Заключение
Таким образом, экспериментально и аналитически исследована сила вязкого трения, возникающая в слое МЖ, заполняющем тонкий коаксиальный зазор между подвижным магнитным внутренним цилиндром и внешней немагнитной трубкой. Рассмотрен случай установившегося равномерного прямолинейного движения тела под действием силы тяжести. Предложена простая аналитическая модель стационарного течения МЖ в зазоре, на основании которой выведена формула (12) для коэффициента трения, зависящего только от свойств МЖ и геометрии задачи. Описана прямая пропорциональность между критериями подобия: числами Рейнольдса, Архимеда и Галилея (8, 10), на основании которой получено выражение для установишейся скорости равномерного прямолинейного движения магнитного цилиндра (13). Выполнены эксперименты с магнитными цилиндрами различной длины и массы, характеризующиеся индивидуальной конфигурацией магнитного поля. Использованы два образца МЖ, близкие по плотности, но с различающейся на порядок вязкостью. Равномерное движение с повторяющимися значениями скорости наблюдается в экспериментах с телами (в) и (г) (рис. 2) при сплошном наполнении зазора МЖ, вне зависимости от ее вязкости, что указывает на постоянство коэффициента трения. Расчетная скорость падения наилучшим образом согласуется с результатами экспериментов при использовании тел с распределенными чередующимися магнитными полюсами (г). Тела такого типа наиболее пригодны для использования в МЖ датчиках. Систематическое отклонение данных теоретических расчетов от экспериментальных результатов на 10—30 % в меньшую сторону объяснено наличием слоя МЖ, смачивающего стенки трубки в процессе опытов. Полученные результаты позволяют представить инженерно-физическое обоснование новых конструкций инерционных МЖ-датчиков.
Авторы благодарны д. ф.-м.н, проф. Кракову М. С. за проявленный интерес и обсуждение работы.
Работа выполнена при поддержке Российского научного фонда (проект № 23-21-00100).
About the authors
А. S. Ivanov
Perm Federal Research Center of the Ural Branch of the Russian Academy of Sciences
Author for correspondence.
Email: lesnichiy@icmm.ru
Institute of Continuous Media Mechanics of the Ural Branch of the Russian Academy of Sciences
Russian Federation, PermМ. A. Koskov
Perm Federal Research Center of the Ural Branch of the Russian Academy of Sciences
Email: lesnichiy@icmm.ru
Institute of Continuous Media Mechanics of the Ural Branch of the Russian Academy of Sciences
Russian Federation, PermS. А. Somov
Perm Federal Research Center of the Ural Branch of the Russian Academy of Sciences
Email: lesnichiy@icmm.ru
Institute of Continuous Media Mechanics of the Ural Branch of the Russian Academy of Sciences
Russian Federation, PermReferences
- Розенцвейг Р. Феррогидродинамика. М.: Мир, 1989, 356 с.
- Бибик Е.Е., Лавров И.С. Способ получения феррожидкости. Патент СССР № 457666. 1972.
- Иванова А.В., Никитин А.А., Абакумов М.А. // Изв. РАН. Сер. физ. 2020. Т. 84. № 11. С. 1580.
- Ряполов П.А., Соколов Е.А., Калюжная Д.А. // Изв. РАН. Сер. физ. 2023. Т. 87. № 3. С. 348; Ryapolov P.A., Sokolov E.A., Kalyuzhnaya D.A. // Bull. Russ. Acad. Sci. Phys. 2023. V. 87. No. 3. P. 295.
- Bailey R.L. // J. Magn. Magn. Mater. 1983. V. 39. No. 1. P. 178.
- Фертман В.Е. Магнитные жидкости: справочное пособие. Минск, 1988. 184 с.
- Quan L., Li D. // J. Sensors. 2014. V. 2014. P. 9.
- Rosensweig R.E. // Nature. 1966. V. 210. P. 613.
- Evans K.S. Accelerometer incorporating fluid suspended magnet. UK Patent No. 2241785A. 1991.
- Takaharu I. Acceleration sensor. EP Patent No. 0293784B1. 1994.
- Pristup A.G., Romanov Yu.I. Accelerometer incorporating fluid suspended magnet. EP Patent No. 1640724A1. 2005.
- Simonenko D.V., Suprin A.E., Romanov Yu.I. Magnetofluidic accelerometer with active suspension. US Patent No. 0059990A1. 2006.
- Pshenichnikov A.F., Ivanov A.S. // Phys. Rev. E. 2012. V. 86. Art. No. 051401.
- Ряполов П.А., Полунин В.М., Баштовой В.Г. и др. // Изв. Юго-Запад. гос. ун-та. Сер.: Техн. и технол. 2020. Т. 10. № 4. С. 92.
- Ряполов П.А., Полунин В.М., Баштовой В.Г. и др. // Изв. Юго-Запад. гос. ун-та. Сер.: Техн. и технол. 2021. Т. 11. № 1. С. 75.
- Raj K. Ferrofluid sensor. DE, FR, UK, IT, SE Patent No. 0857945B1. 1998.
- Pristup A.G. Magnetofluidic unidirectional accelerometer. US Patent No. 0214889A1. 2007.
- Сайкин М.С., Марков М.Г., Федосеева В.П. Устройство для измерения вибраций. Патент РФ № 198257. 2020.
- Raj K., Ionescu C. Ferrofluid inclinometer. Patent US No. 5452520A. 1995.
- Сайкин М.С., Морозова Д.Ю. Магнитожидкостное устройство для определения угла наклона. Патент РФ № 166054. 2016.
- Смайт В. Электростатика и электродинамика, М.: Изд-во иностранной лит-ры, 1954. 606 с.
- Lagutkina D. Yu., Saikin M.S. // J. Magn. Magn. Materi. 2017. V. 431. P. 149.
- Ryapolov P.A., Bashtovoi V.G., Reks A.G. et al. // IEEE Magn. Lett. 2020. V. 11. P. 1.
- Бендриков Г.А., Иванов И.В., Карасев М.Д. и др. Теория колебаний. М.: Изд-во МГУ, 1983. 328 с.
- Косков М.А., Иванов А.С. // Вестн. Иванов. гос. энерг. ун-та. 2022. № 6. С. 26.
- Иванов А.С., Косков М.А. Магнитожидкостное устройство для измерения линейных ускорений и угла наклона. Патент РФ № 2788591C1. 2023.
- Берковский Б.М., Медведев В.Ф., Краков М.С. Магнитные жидкости. М.: Химия, 1989.
- Krakov M.S., Nikiforov I.V. // Technical Phys. 2011. V. 56. No. 12. P. 1745.
- Сайкин М.С. // Вестн. Иванов. гос. энерг. ун-та. 2010. № 4. С. 44.
- Sharova O.A., Merkulov D.I., Pelevina D.A. et al. // Phys. Fluids. 2021. V. 33. No. 8. Art. No. 087107.
- Пшеничников А.Ф., Лебедев А.В., Радионов А.В. и др. // Коллоид. журн. 2015. Т. 77. № 2. С. 207; Pshenichnikov A.F., Lebedev A.V., Radionov A.V. et al. // Colloid J. 2015. V. 77. No. 2. P. 196.
- Pshenichnikov A.F., Mechonoshin V.V., Lebedev A.V. // J. Magn. Magn. Mater. 1996. V. 161. P. 94.
- Ландау Л.Д., Лифшиц Е.М. Гидродинамика. М.: Наука, 1988. 736 с.
- Шлихтинг Г. Теория пограничного слоя. М.: Изд-во иностранной лит-ры, 1956. 528 с.
- Shliomis M.I. // Sov. Phys. Usp. 1974. V. 17. P. 153.
- Акимов М.Л., Поляков П.А. // Изв. РАН. Сер. физ. 2020. Т. 84. № 2. С. 192; Akimov M.L., Polyakov P.A. // Bull. Russ. Acad. Sci. Phys. 2020. V. 82. No. 2. P. 151.
Supplementary files








