Влияние заместителя в лиганде и противоиона на свойства гептаядерного разновалентного комплекса железа
- Авторы: Батуева Е.Е.1, Шарипова А.Р.2, Фролова Е.Н.2, Савостина Л.И.1,2, Базан Л.В.2, Черосов М.А.1, Батулин Р.Г.1, Туранова О.А.2, Туранов А.Н.2
-
Учреждения:
- Федеральное государственное автономное учреждение высшего образования “Казанский (Приволжский) федеральный университет”
- Федеральное государственное бюджетное учреждение науки Федеральный исследовательский центр «Казанский научный центр Российской академии наук»
- Выпуск: Том 88, № 7 (2024)
- Страницы: 1135-1140
- Раздел: Спиновая физика, спиновая химия и спиновые технологии
- URL: https://bakhtiniada.ru/0367-6765/article/view/279571
- DOI: https://doi.org/10.31857/S0367676524070213
- EDN: https://elibrary.ru/OZQSZY
- ID: 279571
Цитировать
Полный текст
Аннотация
Получены новые гептаядерные разновалентные комплексы железа с пентадентатными лигандами и исследованы их магнитные свойства. Методами магнитометрии и ЭПР установлено, что наличие тиоционат-анионов приводит к проявлению спин-переменных свойств. Введение в молекулу длинных алкоксильных цепочек приводит к термотропным жидкокристаллическим свойствам и усилению кооперативных магнитных свойств.
Полный текст
Введение
Новые соединения, композиты, наночастицы с магнитными свойствами полезными для практического применения регулярно описываются в научной литературе [1—4]. Комплексы Fe(III) c пентадентатными лигандами являются перспективными для поиска и создания новых материалов, управляемых внешними факторами (температура, давление, облучение и т. п.). Известны как моноядерные координационные соединения, так биядерные и полиядерные координационные системы со спин-переменными свойствами [5—8], ферромагнитными свойствами [9]. Также были получены разнометальные комплексы, демонстрирующие обратимый термохромизм, вызванный переносом электрона металл-металл [10]. Подобные соединения перспективны в качестве материалов для устройств записи информации, для хранения и преобразования энергии [11, 12].
Варьирование заместителей в лигандах, природы и структуры мостиковых лигандов, противоионов оказывает непосредственное влияние на свойства получаемых соединений. Установление взаимосвязи между составом, строением комплексов и их физико-химическими свойствами является важной задачей для целенаправленного поиска материалов с заранее заданными свойствами. В данной работе получены гептаядерные комплексы Fe(II)-Fe(III) и рассмотрено влияние природы противоионов и заместителей в лигандах на магнитные свойства координационных соединений.
Синтез координационных соединений с пентадентатным лигандом неизменно проходит через стадию получения моноядерных координационных соединений состава [FeLCl] — прекурсоров, строительных блоков для дальнейшего синтеза. Отличительной особенностью комплексов данного типа является наличие единственного лабильного координационного места, которое может быть атаковано моно- или бидентатными мостиковыми лигандами, с образованием моно- или полиядерных координационных соединений соответственно. Поэтому этот комплекс используется в качестве прекурсора в синтезе многих координационных соединений с пентадентатными лигандами. Было показано, что в кристаллическом состоянии молекулы прекурсора находятся в высокоспиновом состоянии, а в растворе ацетонитрила обнаружено одновременное сосуществование как высокоспиновой (ВС, S = 5/2), так и низкоспиновой (НС, S = 1/2) фракций [13]. Получены и исследованы моно и биядерные жидкокристаллические комплексы Fe(III) и показано влияние противоиона на их свойства [14].
Эксперимент
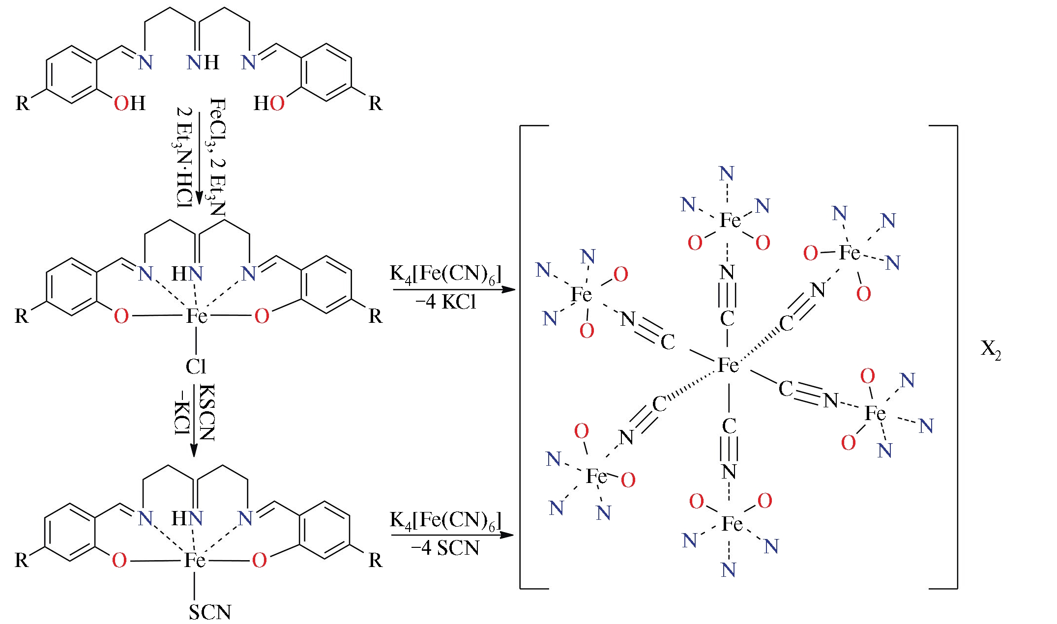
Синтез комплексов показан на рис. 1. Незамещенные лиганд и прекурсор были получены по методике [15], алкоксизамещенные лиганд и прекурсор по методике [14]. Гептаядерные комплексы Fe(II)-Fe(III) железа состава [Fe(II)(CN)6{Fe(III)(L)}6]X2, где L = дианион N, N´-бис[(2-гидроксифенил)метилен]-4-азагептан-1,7-диамина (Salten), X = Cl (1), L = Salten, X = NCS (2), L = дианион N, N´-бис[(4-октадецилокси-2-гидроксифенил)метилен]-4-азагептан-1,7-диамина (18 Salten), X = Cl (3) получены в виде порошков по методике [16]. Состав комплексов подтвержден данными элементного анализа.
Рис. 1. Синтез прекурсоров и гептаядерных комплексов: 1 — R = H, X = Cl, 2 — R = H, X = SCN, 3 — R = C18H37O, X = Cl
По данным поляризационной политермической микроскопии (микроскоп Nagema PHMK 05 с температурной приставкой Boetius 82/7016) прекурсор с алкоксизамещенным лигандом демонстрирует термотропную смектическую мезофазу Cr 156 S186 I, где Cr — кристаллическая фаза, S — смектическая мезофаза, I — изотропная жидкость (температуры фазовых переходов указаны в °C). Гептаядерный комплекс, полученный на его основе, также обладает жидкокристаллическими свойствами в температурном интервале Cr 112 Col 145 I (рис. 2), где Col — колончатая мезофаза [17].
Рис. 2. Жидкокристаллическая текстура комплекса 3 при 137 °C
Пространственное строение комплекса 2 получено в рамках моделирования ab initio методом (базис 3—21G) в программе ORCA [18, 19].
Измерения намагниченности (M) трех описанных образцов выполнены на вибрационном магнитометре VSM Quantum Design PPMS, температурные зависимости в режиме охлаждения в нулевом поле (ZFC) и в режиме охлаждения в поле (FC) совпали для каждого комплекса в интервале 5—200 K. При температуре T > 200 K величина намагниченности комплексов была сравнима с чувствительностью вибрационного магнитометра. Зависимость M от напряженности внешнего магнитного поля H была измерена в интервале от –90 кЭ до +90 кЭ.
Спектры ЭПР порошковых образцов записаны в стационарном режиме (CW) на спектрометре Bruker EMXplus (X-диапазон) с гелиевой приставкой ER4112HV и цифровой системой контроля температуры ER4131VT. Микроволновая мощность выбиралась таким образом, чтобы насыщение не происходило во всем исследованном диапазоне температур 4—340 K. Моделирование ЭПР-спектров проведено с использованием пакета программ EasySpin [20].
Результаты и их обсуждение
Магнитометрия
Во всех трех комплексах гистерезис отсутствует в пределах погрешности эксперимента. При T < 10 K зависимость намагниченности M(H) можно описать функцией Ланжевена и разделить на 3 интервала: 0—10 кЭ — линейная, проходит через начало координат; 10—40 кЭ — переходная; 40—90 кЭ — практически горизонтальная прямая. Классическая зависимость намагниченности, выходящей при высоких значениях напряженности магнитного поля H на насыщение. При T = 300 K зависимость линейна целиком, не выходит на насыщение, т. к. максимальное значение M на 2 порядка ниже Mнасыщения, гистерезиса также нет.
Значения эффективного магнитного момента (μeff в магнетонах Бора ( ) на молекулу комплекса) при разных температурах для трех комплексов получены в интервале с линейной зависимостью M(H) = χH по формуле , где χm — молярная восприимчивость комплекса в единицах Эрг/Э×моль-1, kB — постоянная Больцмана, NA — число Авогадро, — магнетон Бора [21] и не зависят от величины H (рис. 3). Диамагнитным вкладом органических лигандов можно пренебречь ввиду его малости.
Рис. 2. Жидкокристаллическая текстура комплекса 3 при 137 °C
В работах [16, 22] показано, что в комплексе 1 центральный ион Fe(II) находится в низкоспиновом состоянии (S = 0), в то время как ионы Fe(III) — в высокоспиновом состоянии (S = 5/2), т. е. для каждого из этих шести ионов μeff ≈ 5.9 [21], а для всего комплекса .
При T > 100 K энергия теплового движения больше, чем энергия обменных магнитных взаимодействий; соответственно, комплексы можно считать классическими парамагнетиками, а их экспериментальные значения μeff примерно соответствуют теоретическому. Комплекс 1 был синтезирован и изучен для контроля, т. е. сравнения с известным. В наших измерениях его μeff достигает значения 14.45 , что близко к значениям, описанным для него в литературе: 13.2 [16] и 14.5 [22]. Для комплексов 2 и 3 μeff ≈ 14.4 и 14.7 соответственно, что также близко к теоретически ожидаемому.
При снижении температуры ниже 50 K и достижении нескольких градусов Кельвина энергия теплового движения становится меньше, чем энергия обменных магнитных взаимодействий, которые проявляются в комплексе 3 нарастанием ферромагнитных корреляций. О чем свидетельствует рост μeff до величины 15.6 . Можно предположить, что наличие жидкокристаллических свойств у комплекса при длинных боковых заместителях в лиганде вызывает самоорганизацию комплексов при упаковке в кристаллическую ячейку в ходе кристаллизации, т. е. выстраиванию их в цепочки или колонки, в следствии чего и проявляется ферромагнетизм.
На рис. 3 заметно снижение значения μeff для комплекса 2 при T < 100 K. Для анализа данного факта было выполнено исследование синтезированных комплексов методом электронного парамагнитного резонанса (ЭПР).
Электронный парамагнитный резонанс
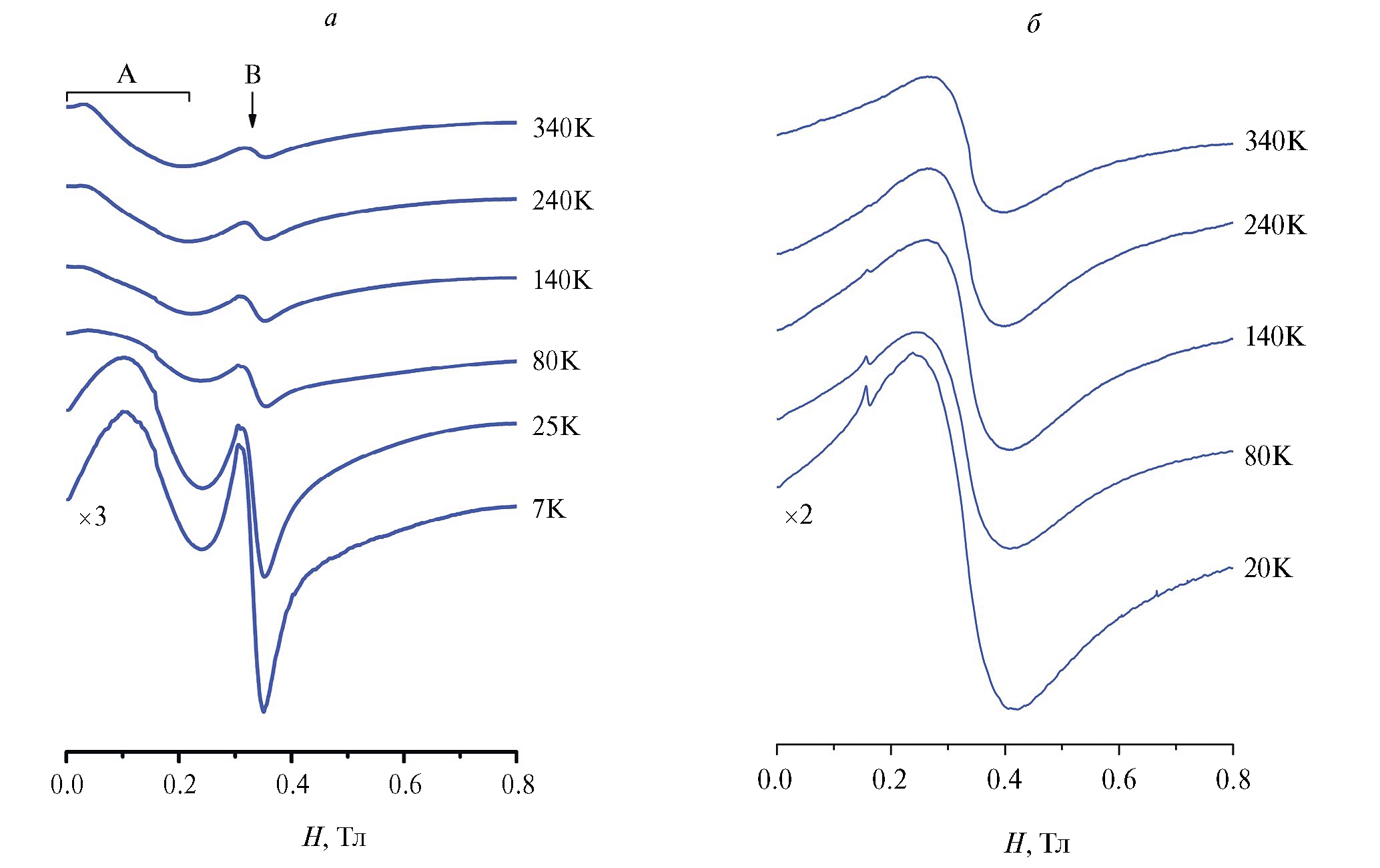
Форма спектров ЭПР и температурные зависимости их параметров для комплексов 2 и 3 различны, что свидетельствует о различиях в их магнитных свойствах и структуре (рис. 4).
Рис. 4. ЭПР спектры комплекса 2 (а) и 3 (б) при разных температурах.
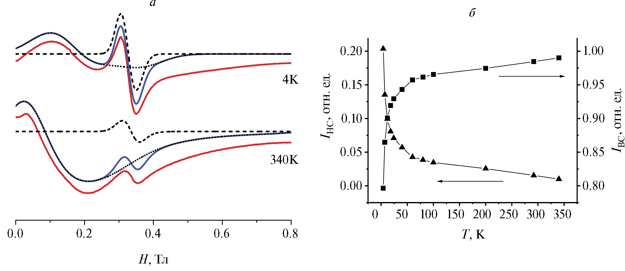
Так, для комплекса 2 спектр ЭПР содержит два хорошо разделенных сигнала в низкополевой (A) и средней части спектра (B). Линии в области (А) характерны для ВС комплексов Fe(III) с параметрами тонкой структуры D >> hν, E/D < 1/3. Отнесение линии (B) не может быть столь однозначным, поскольку в этой части спектра могут находиться линии как от НС, так и от ВС центров Fe(III). Для получения представления об этой системе было исследовано изменение интегральной интенсивности данного сигнала при изменении температуры. Оказалось, что полученная зависимость величины обратной интегральной интенсивности сигнала (В) от температуры отклоняется от закона Кюри, что позволяет предположить, как суперпозицию сигналов от ВС и НС комплексов в этой области, так и возможность магнитных перестроений в исследуемых образцах. Для разделения вкладов от ВС и НС центров мы использовали возможности симулирования спектров, которые предлагаются пакетом программ EasySpin для неориентированных систем. Пример соответствия рассчитанных спектров экспериментальным представлен на рис. 5а. Следует отметить, что ошибка, вносимая недостаточно точным описанием высокополевой части спектров ЭПР является систематической, она может приводить к занижению количества ВС центров в оценке, поэтому мы не можем сделать полных количественных выводов. Полученные в результате анализа относительные величины интегральной интенсивности сигналов для НС и ВС центров представлены на рис. 5б. Эти данные соответствуют плавному не полному спиновому переходу, что согласуется с выводами, полученными при исследованиях подобных систем (см. например, [8]).
Рис. 5. Результаты симулирования спектров комплекса 2: экспериментальный сигнал (красный) и симулированный спектр (синий) и его компоненты от ВС и НС комплексов (пунктирные линии) (а); температурная зависимость интегральных интенсивностей выделенных компонент спектра (б), квадраты — ВС компоненты, треугольники — НС компоненты.
Спиновый переход в комплексе 2 является не полным, но основные изменения в системе происходят, как видно из анализа формы линий и данных симулирования (рис. 5б), ниже температуры 100 K, что хорошо согласуется с результатами магнитометрии.
Следует отметить, что сигнал НС комплексов имеет слабую анизотропию и линии недостаточно разрешены, что не позволяет с большей точностью определить индивидуальные параметры комплексов, gср = 2.015—2.040. Линия от ВС центров Fe(III) соответствует комплексам с параметрами тонкой структуры D >> hν, E/D << 1/3, причем при T < 12 K сигнал хорошо описывается с D = 40 ГГц и E/D ≈ 0.095. При более высоких температурах наряду с этой линией появляется и растет по интенсивности сигнал с E = 0, при Т > 80 К сигнал ВС комплексов уширяется и сдвигается в сторону низких полей. Уширение и сдвиг линии может быть связан с ускорением релаксационных процессов и увеличением внутреннего магнитного поля, воздействующего на ионы Fe(III) с ростом температуры [23].
Для комплекса 3 обнаружено увеличение ширины линии ЭПР при понижении температуры (от 0.13 Тл при 340 K до 0.18 Тл при 60 K) и близкая к лоренцевой форма сигнала, что свидетельствует о наличии существенных обменных взаимодействий в системе [24].
Заключение
Получены новые гептаядерные разновалентные комплексы железа с пентадентатными лигандами и исследованы их магнитные свойства. Методами магнитометрии и ЭПР установлено, что природа анионов (размер и возможность вступать в межмолекулярные взаимодействия) оказывает влияние на магнитные свойства комплексов: так замена хлор-анионов на тиоционат-анионы приводит к появлению спин-переменных свойств. Комплексы также чувствительны к изменению состава лигандов. При введении в лиганды длинных алкоксильных цепочек возникают термотропные жидкокристаллические свойства и усиливаются кооперативные магнитные свойства.
Синтез и идентификация соединений, изучение жидкокристаллической текстуры, а также исследования с использованием метода электронного парамагнитного резонанса выполнены в рамках госзадания ФИЦ КазНЦ РАН. Исследования методом вибрационной магнитометрии выполнены в рамках программы стратегического академического лидерства «Приоритет-2030» КФУ.
Об авторах
Е. Е. Батуева
Федеральное государственное автономное учреждение высшего образования “Казанский (Приволжский) федеральный университет”
Email: sasha_turanov@rambler.ru
Россия, Казань
А. Р. Шарипова
Федеральное государственное бюджетное учреждение науки Федеральный исследовательский центр «Казанский научный центр Российской академии наук»
Email: sasha_turanov@rambler.ru
Казанский физико-технический институт имени Е.К. Завойского
Россия, КазаньЕ. Н. Фролова
Федеральное государственное бюджетное учреждение науки Федеральный исследовательский центр «Казанский научный центр Российской академии наук»
Email: sasha_turanov@rambler.ru
Казанский физико-технический институт имени Е.К. Завойского
Россия, КазаньЛ. И. Савостина
Федеральное государственное автономное учреждение высшего образования “Казанский (Приволжский) федеральный университет”; Федеральное государственное бюджетное учреждение науки Федеральный исследовательский центр «Казанский научный центр Российской академии наук»
Email: sasha_turanov@rambler.ru
Казанский физико-технический институт имени Е.К. Завойского
Россия, Казань; КазаньЛ. В. Базан
Федеральное государственное бюджетное учреждение науки Федеральный исследовательский центр «Казанский научный центр Российской академии наук»
Email: sasha_turanov@rambler.ru
Казанский физико-технический институт имени Е.К. Завойского
Россия, КазаньМ. А. Черосов
Федеральное государственное автономное учреждение высшего образования “Казанский (Приволжский) федеральный университет”
Email: sasha_turanov@rambler.ru
Россия, Казань
Р. Г. Батулин
Федеральное государственное автономное учреждение высшего образования “Казанский (Приволжский) федеральный университет”
Email: sasha_turanov@rambler.ru
Россия, Казань
О. А. Туранова
Федеральное государственное бюджетное учреждение науки Федеральный исследовательский центр «Казанский научный центр Российской академии наук»
Email: sasha_turanov@rambler.ru
Казанский физико-технический институт имени Е.К. Завойского
Россия, КазаньА. Н. Туранов
Федеральное государственное бюджетное учреждение науки Федеральный исследовательский центр «Казанский научный центр Российской академии наук»
Автор, ответственный за переписку.
Email: sasha_turanov@rambler.ru
Казанский физико-технический институт имени Е.К. Завойского
Россия, КазаньСписок литературы
- Магомедов К.Э., Омельянчик А.С., Воронцов С.А. и др. // Изв. РАН. Сер. физ. 2023. Т. 87. № 6. С. 819; Magomedov K.E., Omelyanchik A.S., Vorontsov S.A. et al. // Bull. Russ. Acad. Sci. Phys. 2023. V. 87. No. 6. P. 720.
- Хлюстова А.В., Шипко М.Н., Степович М.А. и др. // Изв. РАН. Сер. физ. 2023. Т. 87. № 10. С. 1517; Khlyustova A.V., Shipko M.N., Stepovich M.A. et al. // Bull. Russ. Acad. Sci. Phys. 2023. V. 87. No. 10. P. 1549.
- Кафеева Д.А., Куршанов Д.А., Дубовик А.Ю. // Изв. РАН. Сер. физ. 2023. Т. 87. № 6. С. 801; Kafeeva D.A., Kurshanov D.A., Dubavik, A.Y. // Bull. Russ. Acad. Sci. Phys. 2023. 87. No. 6. P. 705.
- Макеев М.Ю., Мамонова М.В. // Изв. РАН. Сер. физ. 2023. Т. 87. № 4. С. 493; Makeev M.Y., Mamonova M.V. // Bull. Russ. Acad. Sci. Phys. 2023. V. 87. No. 4. P. 427.
- Salitros I., Madhu N.T., Boca R. et al. // Monatsh fur Chemie. 2009. V. 140. P. 695.
- Овчинников И.В., Иванова Т.А., Туранова О.А. и др. // Коорд. химия. 2013. Т. 39. № 8. С. 502; Ovchinnikov I.V., Ivanova T.A., Turanova O.A. et al. // Rus. J. Coord. Chem. 2013. V. 39. No. 8. P. 598.
- Boca R., Nemec I., Salitros I. et al. // Pure Appl. Chem. 2009. V. 81. No. 8. P. 1357.
- Boca R., Salitros I., Kozisek J. et al. // Dalton Trans. 2010. V. 39. No 9. P. 2198.
- Salitros I., Boca R., Herchel R. et al. // Inorg. Chem. 2012. V. 51. No 23. P. 12755.
- Liu J.L., Ji X.Y., Xue J.P. et al. // Crys. Growth Des. 2022. V. 22. No. 8. P. 5092.
- Bleuzen A., Marvaud V., Mathoniere C. et al. // Inorg. Chem. 2009. V. 48. No. 8. P. 3453.
- Shan Y., Zhang G., Yin W. et al. // Bull. Chem. Soc. Japan. 2022. V. 95. No 2. P. 230.
- Фролова Е.Н., Иванова Т.А., Туранова О.А. и др. // Журн. неорг. химии. 2018. Т. 63. № 8. С. 974.; Frolova E.N., Ivanova T.A., Turanova O.A. et al. // Russ. J. Inorg. Chem. 2018. V. 63. No. 8. P. 1012.
- Туранова О.А., Иванова Г.И., Гафиятуллин Л.Г. и др. // Журн. общ. химии. 2014. Т. 84. № 11. С. 1878; Turanova O.A., Ivanova G.I., Gafiyatullin L.G. et al. // Russ. J. Gen. Chem. 2014. V. 84. No. 11. P. 2174.
- Matsumoto N., Ohta S., Yoshimura C. et al. // J. Chem. Soc. Dalton Trans. 1985. V. 12. P. 2575.
- Gembicky M., Boca R., Renz F. // Inorg. Chem. Commun. 2000. V. 3. No. 11. P. 662.
- Dierking I. Textures of liquid crystals. Hoboken: John Wiley & Sons, 2006. 230 p.
- Neese F. // WIREs Comput. Mol. Sci. 2012. V. 2. No. 1. P. 73.
- Neese F. // WIREs Comput. Mol. Sci. 2022. V. 12. No. 5. Art. No. e1606.
- Stoll S., Schweiger A. // J. Magn. Reson. 2006. V. 178. No. 1. P. 42.
- Вульфсон С.Г. Молекулярная магнетохимия. М.: Наука, 1991. 260 с.
- Boca R., Salitros I. // Chem. Papers. 2008. V. 62. No. 6. P. 575.
- Иванова Т.А., Мингалиева Л.В., Овчинников И.В. и др. // Журн. общ. химии. 2016. Т. 86. № 7. С. 1170; Ivanova T.A., Mingalieva L.V., Ovchinnikov I.V. et al. // Russ. J. Gen. Chem. 2016. V. 86. No. 7. P. 1647.
- Иванова Т.А., Овчинников И.В., Гильмутдинов И.Ф. и др. // ФТТ. 2016. Т. 58. № 2. С. 273.; Ivanova T.A., Ovchinnikov I.V., Gil’mutdinov I.F. et al. // Phys. Solid State. 2016. V. 58. No. 2. P. 280.
Дополнительные файлы







