Crystal structure and EPR spectra of Mn2.25Co0.75BO5
- Authors: Eremina R.M.1, Moshkina E.М.2, Yatsyk I.V.1, Shustov V.А.1
-
Affiliations:
- Federal Research Center Kazan Scientific Center of Russian Academy of Sciences
- Federal Research Center Krasnoyarsk Scientific Center of the Siberian Branch of the Russian Academy of Sciences
- Issue: Vol 88, No 7 (2024)
- Pages: 1104-1110
- Section: Spin physics, spin chemistry and spin technologies
- URL: https://bakhtiniada.ru/0367-6765/article/view/279545
- DOI: https://doi.org/10.31857/S0367676524070162
- EDN: https://elibrary.ru/PASIUC
- ID: 279545
Cite item
Full Text
Abstract
The results of studies of the structure of Mn2.25Co0.75BO5 using powder neutron diffraction are presented. To perform these studies, the crystals of ludwigite Mn2.25Co0.75BO5 were grown by the solution-melt method using a solvent based on Bi2Mo3O12 with a dilution of Na2CO3 carbonate. Boric acid H311BO3 was used as a boron-containing component. Measurements of powder neutron diffraction were carried out at a temperature of 100 K on a powder prepared by grinding grown single crystals. The spatial group and lattice parameters were determined by the Rietveld method using an experimentally obtained diffractogram. It is shown that the grown crystals Mn2.25Co0.75BO5 have the spatial group Pbam. The cobalt and manganese ion crystallographic positions have been determined from the powder neutron diffraction pattern analysis. The narrow throat mode was observed in the temperature dependence of the EPR spectra.
Full Text
Введение
В настоящее время активно развивается направление спинтроника — область науки и техники, изучающая магнитные явления в твердых телах, обусловленные наличием собственного и орбитального магнитных моментов ионов, и создание устройств обработки информации на их основе. Научное сообщество активно занимается поиском новых экзотических спиновых состояний в ранее неизвестных только что выращенных низкоразмерных магнетиках.
Оксибораты с общей химической формулой (MeMe’)3BO5 в большинстве имеют кристаллическую структуру людвигита и относятся к пространственной группе Pbam (55) [1, 2]. Оксибораты со структурами типа людвигита (структурная формула M’2M’’BO5, где Mʹ и Mʺ — ионы металлов с валентностью 2+ и 3+ соответственно) обладают чрезвычайно необычными магнитными свойствами, обусловленными случайным распределением магнитных ионов, смешанной валентностью и сильными электронными корреляциями. Эти свойства обусловлены зигзагообразными стенками в их кристаллической структуре, образованными ионами металлов различной валентности. Другой причиной является наличие четырех неэквивалентных структурных положений, которые могут быть заняты до двенадцати магнитными ионами на элементарную ячейку. Химическая формула и условие электронейтральности людвигита предполагают соотношение между двух- и трехвалентными элементами как 2 к 1, которые могут занимать четыре возможных положения в центре искаженного октаэдра.
По условию электронейтральности металлические ионы Me и Me’ имеют различную валентность. Металлические ионы могут быть представлены как одним ионом с разной валентностью (гомометаллические) [1—6], так и разными ионами (гетерометаллические) [2, 5, 7—19]. Металлические двухвалентные, трёхвалентные, четырёхвалентные и даже пятивалентные ионы расположены в центрах координационных октаэдров из кислорода с общими краями. Ионы бора находятся в центрах координационных треугольников, каждый из углов которого является углом разных октаэдров. В структуре людвигита выделяют отдельные структурные элементы — триады: первая — металлические ионы в позициях 4-2-4, их октаэдры соединяются рёбрами основания, ионы в позициях 1 и 3 в октаэдрическом окружении соединены вершинами и образуют триады второго типа. Структура людвигита представлена на рисунке 1.
Рис. 1. Структура людвигита.
В результате такого разнообразия возможных ионов в позициях, которые получили названия 1, 2, 3, 4, в людвигитах могут формироваться разные спиновые состояния одних и тех же ионов. Так магнитная структура Co3BO5 решалась в [20] методом дифракции нейтронов. Было установлено, что магнитные моменты ионов Co2+ в позициях 1—3 составляют 3.1—3.8 µB, что соответствует высокоспиновому состоянию ионов Co2+, тогда как магнитный момент ионов Co3+ в позиции 4 всего 0.5 µB, из чего авторы [20] делают вывод, что ионы Co3+ находятся в низкоспиновом состоянии. Магнитный переход происходит вблизи 42 К с ферромагнитными связями между плоскостями (ab) и в плоскости между ионами кобальта. Магнитные моменты ионов ориентированы практически параллельно оси b и немного скошены в направлении оси а.
Исследования магнитной структуры Fe3BO5 методом дифракции нейтронов проводились двумя разными группами [1, 6]. Упорядочение магнитных моментов подсистемы 1 и подсистемы 2 происходит в направлениях кристаллографической оси b и оси а соответственно.
В последнее время теоретические и экспериментальные исследования в области низкоразмерного магнетизма связаны с новыми идеями, такими как спиновая жидкость в модели Китаева — квантовый спиновый лед [21] для соединения Na3Co2SbO6, в состав которого входят ионы кобальта.
Таким образом, низкоразмерные магнетики являются активно изучаемыми системами, в которых исследователи продолжают находить новые явления. Из-за наличия в людвигитах сложной структуры магнитных взаимодействий дифракция нейтронов является мощным инструментом установления структуры в гетерометаллических и гомометаллических людвигитах.
Целью данного исследования является синтез новых еще не известных в мире монокристаллов оксиборатов с общей химической формулой Mn3−xCoxBO5 и изучение их свойств, основываясь на исследовании методами дифракции нейтронов.
Эксперимент
Монокристаллы Mn2.25Co0.75BO5 были выращены раствор-расплавным методом. Раствор-расплавная система имела вид:
(1)
Предполагается, что двухвалентная подсистема включает в себя только катионы марганца, а добавки оксида кобальта приводят к появлению в кристалле катионов Co3+.
Раствор-расплав, массой m = 81 г, готовился последовательным сплавлением в платиновом тигле (V = 100 см3), при T = 1100 °C, смесей порошков Bi2O3-MoO3-B2O3, затем Mn2O3 и Co2O3, последним порциями добавлялся порошок Na2CO3 (при нагревании происходит реакция термического разложения карбоната, сопровождаемая выделением углекислого газа: Na2CO3 → Na2O + CO2). Для приготовления системы (1) был использован химический реактив H311BO3, содержащий изотоп бора 11B. При нагревании происходит реакция термического разложения борной кислоты H311BO3 на оксид бора B2O3 и воду H2O, с дальнейшим испарением воды. Поэтому при использовании борной кислоты в качестве исходного компонента для приготовления раствора-расплава выражение (1) справедливо. После гомогенизации при T = 1100 °C в течение 3 часов проводилось фазовое зондирование и определение параметров раствора-расплава. Более подробно синтез описан в статье [22].
На стадии роста, после проведения поисковых исследований, раствор-расплав был вновь гомогенизирован при T = 1100 °C в течение 3 часов. Затем температура в печи сначала понижалась быстро, со скоростью dT/dt = 200 °C/ч до температуры Tstart = (Tsat — 5) (Tsat = 965 °C), затем медленно, со скоростью dT/dt = 4 °C/сут. Через трое суток тигель извлекался из печи, раствор-расплав сливался. Выросшие кристаллы отделялись от остатков раствора-расплава травлением в 20 % водном растворе азотной кислоты. Полученные кристаллы имели вид вытянутых призм, вид монокристаллов представлен на рисунке 2.
Рис. 2. Полученный монокристалл людвигита Mn2.25Co0.7511BO5
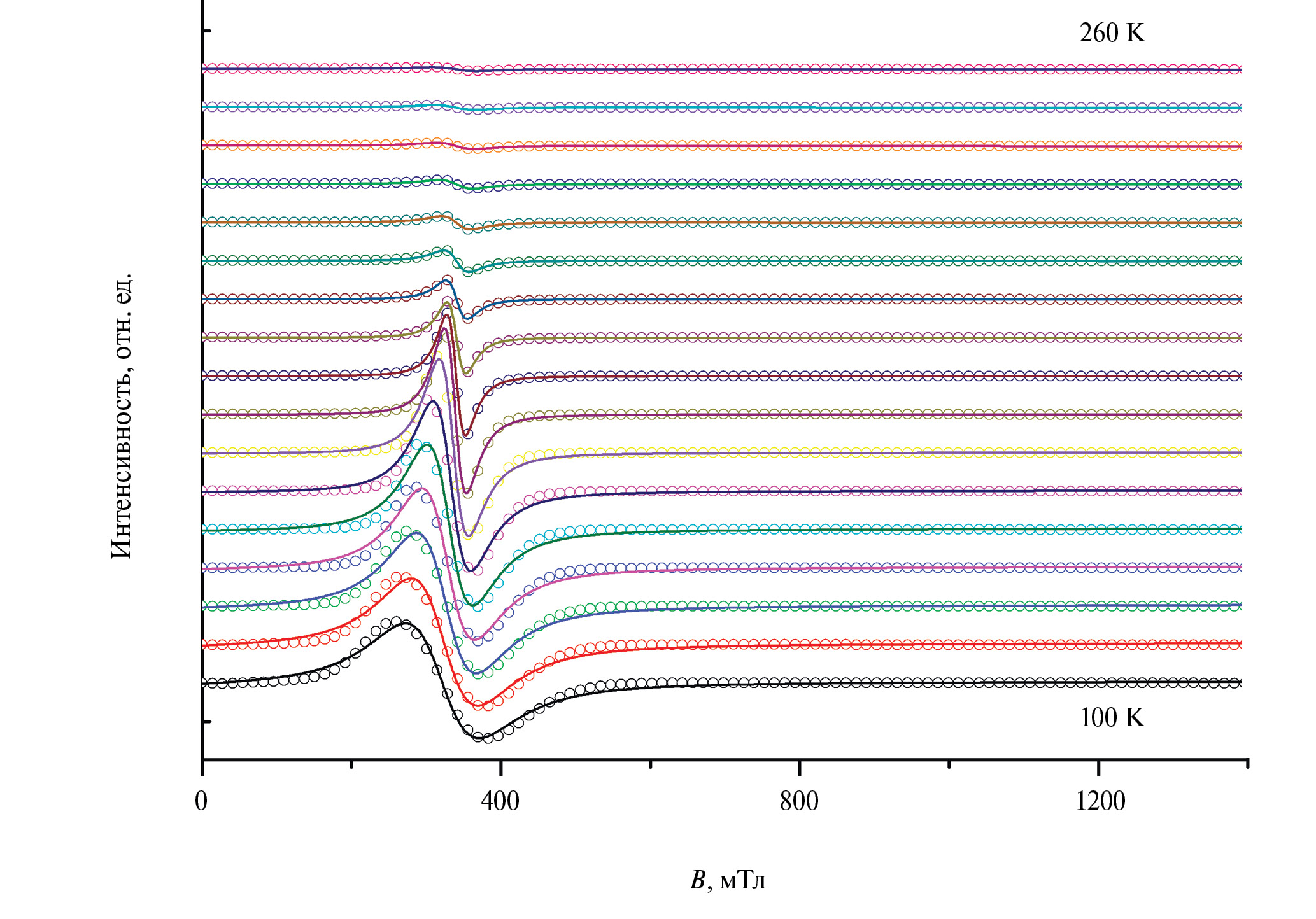
Структура выращенных кристаллов определялась методом дифракции нейтронов, в которых использовался поликристаллический многодетекторный кольцевой нейтронный дифрактометр ДИСК c постоянной длиной волны на нейтронном пучке исследовательского реактора ИР-8 в НИЦ «Курчатовский институт», λ = 2.438 Å. Низкотемпературные измерения (при температурах 100 К) проводились с использованием криостата замкнутого цикла. Дополнительно проведены измерения температурной зависимости спектров ЭПР порошка Mn2.25Co0.7511BO5 на спектрометре Bruker ER200 SRC (EMX/plus), оснащенном проточными криостатами He и N2, на частоте 9.4 ГГц в температурном диапазоне от 100 до 260 К. Линии ЭПР показаны на рис. 3
Рис. 3. Температурная зависимость спектров ЭПР-порошка Mn2.25Co0.75BO5 в Х-диапазоне (9.4 ГГц), спектры представлены между 100 и 260 К с шагом 10 К. Экспериментальные спектры показаны открытыми символами, сплошные линии — аппроксимация по формуле (1).
Результаты
Проведены измерения нейтронных дифракционных спектров порошка Mn2.25Co0.7511BO5 при температуре 100K. Полученная нейтронограмма представлена на рисунке 4.
Рис. 4. Нейтронограммы Mn2.25Co0.7511BO5 при температуре 100 К.
Для анализа дифрактограммы использовалась программа MAUD (Materials Analysis Using Diffraction) v.2.992 [23]. Для подгонки кристаллографических параметров использовали структуру людвигита, определенную в 2019 году, которая была опубликована в статье [24]. Были определены параметры элементарной ячейки, позиции атомов и подтверждена пространственная группа Pbam. При аппроксимации нейтронограмм заселенности позиций ионов кислорода и бора не менялись. На дифрактограмме имеется несколько нераспознанных пиков при углах 2θ = 12.7, 23.06, 32.4, 39.7 градусов, которые, как мы предполагаем, связаны с магнитным упорядочением. Интенсивность этих пиков более чем на порядок меньше интенсивности основных пиков людвигита, и все же они вносят свой вклад в ошибки измерения. Кроме того, при фитировании не учитывалась аппаратная ошибка, поэтому некоторые параметры тепловых колебаний имеют отрицательные значения, что влияет также на величины ошибок. Тем не менее параметр качества подгонки имеет вполне приемлемую величину: Rwp(%) = 17.43, где
, (1)
а , yi(ex) — экспериментальное значение интенсивности нейтронограммы в точке i, yi(calc) — расчетное значение интенсивности нейтронограммы в точке i.
Полученные параметры решетки Mn2.25Co0.7511BO5 приведены в таблице 1.
Таблица 1. Параметры кристаллической ячейки Mn2.25Co0.7511BO5 при температуре 100 K
a, Å | b, Å | c, Å | V, Å3 |
9.2378±0.0023 | 12.5603±0.0031 | 3.0793±0.0005 | 357.24 |
Было установлено, что ионы марганца по большей части занимают позиции валентности 2+ в позициях Mе1, Mе2 и Mе3, в то время как ионы кобальта — позиции с валентностью 3+ в позициях Me4. С понижением температуры размер ячейки уменьшается, сдвигаются координаты x и y для позиций Mn3 и Co1. Как видно из таблицы 2, самые большие тепловые колебания наблюдаются у ионов, занимающих позицию под номером 3, вероятно именно эту позицию занимают ян-теллеровские ионы марганца и кобальта.
Таблица 2. Кристаллографические позиции, координаты атомов в Mn2.25Co0.7511BO5 при температуре 100 K
X | Y | Z | Заполнение | Biso | |
Me1 Mn (2+) | 0 | 0 | 0.5 | 0.10±0.1 | 24±20 |
Me1 Co (2+) | 0 | 0 | 0.5 | 0.90±0.1 | 24±20 |
Me2 Mn (2+) | 0.5000 | 0 | 0 | 0.95±0.05 | −1.86±1.31 |
Me2 Co (2+) | 0.5000 | 0 | 0 | 0.05±0.05 | −1.86±1.31 |
Me3 Mn(2+) | 0±0.09 | 0.02±0.18 | 0.5 | 0.98−0.53 | 94.34±44.38 |
Me3 Co(2+) | 0±0.09 | 0.02±0.18 | 0.5 | 0.02+0.53 | 94.34±44.38 |
Me4 Mn(3+) | 0.589±0.008 | 0.167±0.006 | 0 | 0.02+0.24 | −3.61±1.23 |
Me4 Co(3+) | 0.589±0.008 | 0.167±0.006 | 0 | 0.98−0.24 | −3.61±1.23 |
O1 | 0.1102±0.0027 | 0.1233±0.0024 | 0.5 | 1.0000 | −2.17±0.58 |
O2 | 0.3916±0.0024 | 0.0671±0.0018 | 0.5 | 1.0000 | −3.16±0.59 |
O3 | 0.3617±0.0024 | 0.2763±0.0015 | 0 | 1.0000 | −4.61±0.52 |
O4 | 0.1374±0.0066 | 0.9627±0.0052 | 0 | 1.0000 | 6.75±1.81 |
O5 | 0.1498±0.0036 | 0.3692±0.0042 | 0 | 1.0000 | 1.98±1.29 |
B | 0.2990±0.0018 | 0.3777±0.0019 | 0 | 1.0000 | −6.40±0.43 |
В спектре ЭПР порошка наблюдалась одна обменно суженная линия, форма которой аппроксимировалась выражением:
(2)
где Bres — положение резонансной линии, ΔB — ширина линии, а α — параметр асимметрии линии. Из аппроксимации формы линии ЭПР по формуле (2) были получены значения эффективного g-фактора, ширины линии и интегральной интенсивности, полученные температурные зависимости которых приведены на рисунке 5.
Рис. 5. Температурные зависимости значения резонансного магнитного поля (a); ширины (б) и обратной интегральной интенсивности (в) линии ЭПР в Mn2.25Co0.75BO5.
Как видно из рисунка 5, ширина линии ЭПР и эффективный g-фактор при понижении температуры сначала уменьшаются, проходят через минимум при температуре примерно 175 К, а потом начинают возрастать. Подобное поведение мы связываем с обменно-связанной системой из спинов ионов марганца и кобальта Co3+ (S = 2), Co2+ (S = 3/2), Mn3+ (S = 2), Mn2+ (S = 5/2). Температурная зависимость обратной интегральной интенсивности пересекает ось абсцисс (рис. 5в) при температуре 160 К, положительное значение данной температуры говорит о ферромагнитном или ферримагнитном характере обменных взаимодействий в спиновой системе. Однако спины ионов марганца и кобальта разные, следовательно, в системе реализуются ферримагнитные обменные взаимодействия.
Ширина линии магнитного резонанса при повышении температуры сначала уменьшается, проходит через минимум, а потом начинает повышаться. При повышении температуры резонансное значение магнитного поля повышается, проходит через максимум и далее с ростом температуры незначительно уменьшается. Такое поведение температурной зависимости ширины линии ЭПР и эффективного g-фактора напоминают особенности так называемого эффекта узкого горла для ЭПР локализованных моментов. В нашем случае можно ожидать, что спины ионов марганца сильно связаны со спинами ионов кобальта обменным взаимодействием. Если скорость релаксации спиновой системы кобальта в решетку гораздо меньше по сравнению со скоростью релаксации спинов Mn при прямой релаксации ионов марганца в решетку, то спиновая релаксация системы кобальта напрямую в решетку неэффективна, тогда наблюдается эффект, аналогичный эффекту узкого горла. Подобное поведение было рассмотрено Б. И. Кочелаевым с соавторами в [25].
Заключение
Структура людвигита Mn2.25Co0.7511BO5 исследована при T = 100 K с помощью порошковой нейтронной дифракиии. Порошковые образцы были приготовлены из монокристаллов, полученных с помощью раствор-расплавного метода с использованием растворителя на основе тримолибдата висмута Bi2Mo3O12, разбавленного карбонатом натрия Na2CO3 и использованием, в качестве бор-содержащего компонента борной кислоты H311BO3.
Исследования нейтронной дифракции позволили определить валентный и реальный катионный состав полученного людвигита Mn2.25Co0.7511BO5. Температурные зависимости ширины линии и эффективного g-фактора свидетельствуют о сильном обменном взаимодействии спинов ионов марганца и кобальта.
Данное исследование было поддержано Российским научным фондом (проект № 23-72-00047).
About the authors
R. M. Eremina
Federal Research Center Kazan Scientific Center of Russian Academy of Sciences
Author for correspondence.
Email: REremina@yandex.ru
Zavoisky Physical-Technical Institute
Russian Federation, KazanE. М. Moshkina
Federal Research Center Krasnoyarsk Scientific Center of the Siberian Branch of the Russian Academy of Sciences
Email: REremina@yandex.ru
Kirensky Institute of Physics
Russian Federation, KrasnoyarskI. V. Yatsyk
Federal Research Center Kazan Scientific Center of Russian Academy of Sciences
Email: REremina@yandex.ru
Zavoisky Physical-Technical Institute
Russian Federation, KazanV. А. Shustov
Federal Research Center Kazan Scientific Center of Russian Academy of Sciences
Email: REremina@yandex.ru
Zavoisky Physical-Technical Institute
Russian Federation, KazanReferences
- Bordet P., Suard E. // Phys. Rev. B. 2009. V. 79. Art. No. 144408.
- Bluhm K., Müller-Buschbaum H. // Z. Anorg. Allg. Chem. 1989. Bd. 579. P. 111.
- Li H. K., Wang L., Cai G.M. et al. // J. Alloys Compounds. 2013. V. 575. P. 104.
- Norrestam R., Dahl S., Bovin J.-O. // Zeitschriftfürristallographie. 1989. Bd. 187. P. 201.
- Freitas D.C., Continentino M.A., Guimarães R.B. et al. // Phys. Rev. B. 2008. V. 77. P. 184422.
- Attfield J.P., Clarke J.F., Perkins D.A. // J. Physics B. 1992. V. 180—181. P. 581.
- Neuendorf H., Gunβer W. // JMMM 1997. V. 173. No. 1-2. P. 117.
- Bezmaternykh L. N., Kolesnikova E.M., Eremin E.V. et al. // JMMM. 2014. V. 364. P. 55.
- Bezmaternykh L., Moshkina E., Eremin E. et al. // Solid State Phenom. 2015. V. 233—234. P. 133.
- Freitas D.C., Continentino M.A., Guimarães R B. et al. // Phys. Rev. B. 2009. V. 79. No. 13. Art. No. 134437.
- Freitas D.C., Guimarães R.B., Sanchez D.R. et al. // Phys. Rev. B. 2010. V. 81. Art. No. 024432.
- Medrano C.P.C., Freitas D.C., Sanchez D.R. et al. // Phys. Rev. B. 2015. V. 91. Art. No. 054402.
- Иванова Н.В., Казак Н.В., Князев Ю.В. и др. // ЖЭТФ. 2011. Т. 140. № 6. С. 1160; Ivanova N.B., Kazak N.V., Knyazev Y.V. et al. // JETP. 2011. V. 113. No. 6. P. 1015.
- Ivanova N.B., Platunov M.S., Knyazev Y.V. et al. // Phys. Solid State. 2012. V 54. No. 11. P. 2212.
- Еремина Р.М., Мошкина Е.М., Гаврилова Т.П. и др. // Изв. РАН. Сер. физ. 2019. Т. 83. № 7. С. 999; Eremina R.M., Moshkina E.M., Gavrilova T.P. et al. // Bull. Russ. Acad. Sci. Phys. 2019. V. 83. No. 7. P. 912.
- Замкова Н.Г., Жандун В.С., Овчинников С.Г. // Письма в ЖЭТФ. 2023. Т. 118. № 5. С. 323; Zamkova N.G., Zhanduna V.S., Ovchinnikov S.G. // JETP Lett. 2023. V. 118. No. 5. P. 321.
- Казак Н.В., Бельская Н.А., Мошкина Е.М. и др. // Письма в ЖЭТФ. 2021. Т. 114. № 2. C. 89; Kazak N.V., Belskaya N.A., Moshkina E.M. et al. // JETP Lett. 2021. V. 114. No. 2. P. 92.
- Stenger C. G., Verschoor G.C., Ijdo D.J. // Mater. Res. Bull. 1973. V. 8. No. 11. P. 1285.
- Bluhm K., Müller-Buschbaum H. // J. Less Comm. Metals. 1989. V. 147. No. 1. P. 133.
- Freitas D.C., Medrano C.P.C., Sanchez D.R. et al. // Phys. Rev. B. 2016. V. 94. Art. No. 174409.
- Vavilova E., Vasilchikova T., Vasiliev A. et al. // Phys. Rev. B. 2023. V.107(5). Art. No. 054411.
- Moshkina E., Bovina A. et al. // Cryst. Eng. Comm. 2021. V. 23. P. 5624.
- Lutterotti L. // Nucl. Instrum. Meth. Phys. Res. B. 2010. V. 268. P. 334.
- Popov D.V., Gavrilova T.P., Gilmutdinov I.F. et al. // J. Phys. Chem. Solids. 2021. V. 148. Art. No. 109695.
- Kochelaev B.I., Kan L., Elschner B. et al. // Phys. Rev. B. 1994. V. 49. No. 18. P. 13106.
Supplementary files








