Ferromagnetic resonance and the spin Hall effect in the Fe3Al/Pt bilayer
- Authors: Kadikova А.K.1, Gabbasov B.F.1, Yanilkin I.V.1, Gumarov A.I.1, Zverev D.G.1, Kiiamov A.G.1, Tagirov L.R.1,2, Yusupov R.V.1
-
Affiliations:
- Kazan Federal University
- Federal Research Center Kazan Scientific Center of Russian Academy of Sciences, Kazan
- Issue: Vol 88, No 7 (2024)
- Pages: 1083-1088
- Section: Spin physics, spin chemistry and spin technologies
- URL: https://bakhtiniada.ru/0367-6765/article/view/279501
- DOI: https://doi.org/10.31857/S0367676524070135
- EDN: https://elibrary.ru/PAXHPB
- ID: 279501
Cite item
Full Text
Abstract
We presented the results of studies of the magnetostatic and magnetic resonance properties of a Fe3Al/Pt thin-film bilayer structure synthesized by the molecular beam epitaxy method. Magnetometry and ferromagnetic resonance data indicate four-fold in-plane magnetocrystalline anisotropy of the Fe3Al layer. Under spin pumping conditions, the magnetic field dependence of the voltage signal arising due to the inverse spin Hall effect was measured, and the quantitative characteristic of the spin-charge transformation, the spin-Hall angle, in platinum was assessed as θSH = 0.030 ± 0.005.
Keywords
Full Text
Введение
Одним из наиболее востребованных спинтронных устройств является спиновый вентиль — устройство, в простейшем случае состоящее из двух ферромагнитных (ФМ) слоев и работающее на эффекте гигантского магнитосопротивления (ГМС) [1, 2]. Спиновые вентили лежат в основе ячеек магниторезистивной памяти (MRAM — Magnetic Random Access Memory), состояния 0 и 1, в которых различаются магнитными конфигурациями (параллельным и антипараллельным направлениями намагниченностей слоев) и, соответственно, значением электрического сопротивления. Важнейшим преимуществом MRAM является энергонезависимость, то есть информация сохраняется при потере питания вычислительной системой. Для переключения ячейки между состояниями условных 0 и 1 изменяют направление намагниченности «подвижного» ФМ-слоя, в то время как намагниченность второго закреплена тем или иным способом. Классическое обращение намагниченности с использованием магнитного поля — процесс энергозатратный и, главное, медленный, поэтому важным представляется поиск явлений, с помощью которых можно переключать намагниченность одного из ФМ-слоев, не прикладывая магнитное поле.
Таким активно исследуемым эффектом сегодня служит прямой спиновый эффект Холла — явление, наблюдающееся в металлах и полупроводниках и состоящее в генерации спинового тока при протекании в них зарядового тока ([3—5], см. также обзор [6] и ссылки в нем). Как следствие, в многослойных структурах типа ФМ/НМ, где НМ — тяжелый нормальный металл, импульс зарядового тока в НМ-слое приводит к инжекции спин-поляризованных носителей в ФМ-слой [7], что может привести к переключению намагниченности последнего.
Существует и обратный спиновый эффект Холла, который используется для детектирования спинового тока [6, 8, 9]. Количественной характеристикой спин-зарядовых преобразований в этих процессах является спиновый угол Холла , пропорциональный отношению зарядового и спинового токов (в реальности, в силу малости отношения токов, тангенс угла в первом приближении равен самому углу). Известно, что величина спинового угла Холла возрастает с увеличением спин-орбитального взаимодействия, а значит и с увеличением атомной массы. Наибольший спиновый угол Холла среди исследованных простых материалов наблюдается для Pt [10].
Один из способов создания спинового тока — так называемая спиновая накачка. Здесь величина генерируемого спинового тока зависит от параметра затухания Гильберта ферромагнитного слоя. Перспективным в этом плане сплавом является Fe3Al — мягкий и достаточно сильный ферромагнетик при комнатной температуре. Данный материал отличается высокой однородностью, так как является интерметаллидным соединением, и характеризуется малым затуханием [11]. Также стоит отметить, что Fe3Al является основой для сплавов Гейслера различных составов [12], которые могут служить спинтронными материалами, а также проявлять высокие термоэлектрические и магнитострикционные характеристики. Таким образом, предметом данной работы были синтез и исследования магнитных и магниторезонансных свойств бислоя Fe3Al/Pt на монокристаллической подложке MgO и идентификация проявления в ней спиновых эффектов Холла.
Синтез и кристаллическая структура
Образец синтезировался в камере молекулярно-лучевой эпитаксии (МЛЭ, SPESC, Berlin) методом соиспарения из высокотемпературных эффузионных ячеек. Двухслойная структура Fe3Al (30 нм)/Pt (15 нм) осаждалась на монокристалл MgO (001) при комнатной температуре подложки, вращавшейся со скоростью 6 градусов в секунду. Скорости осаждения железа и алюминия составляли соответственно RFe ≈ 76 Å/час и RAl ≈ 28 Å/час, для платины скорость составила RPt ≈ 5.5 Å/час. Во избежание окисления поверхности после извлечения из вакуумной камеры, образец был закрыт слоем алюминия толщиной 3 нм. Эпитаксиальный характер слоя Fe3Al установлен наблюдением четкой картины дифракции медленных электронов (ДМЭ). Слой Pt по данным ДМЭ эпитаксиальным не является. Была приготовлена также и пилотная одиночная пленка Fe3Al на подложке MgO (001) при тех же условиях осаждения.
Исследование кристаллической структуры и определение типа эпитаксии проводились с помощью дифракции рентгеновских лучей. На дифрактограмме при сканировании по углу θ в геометрии Брэгга—Брентано (см. рисунок 1) на 2θ = 65.0 наблюдается пик, характерный для нескольких фаз (A2, D03), возможных согласно фазовой диаграмме бинарной системы Fe-Al [13, 14] для состава Fe3Al. Однако отсутствие пиков, соответствующих сверхрешетке D03, указывает на то, что пленка Fe3Al кристаллизовалась в атомарно неупорядоченной A2-фазе [13].
Рис. 1. Рентгеновская дифрактограмма тонкой пленки Fe3Al на подложке MgO (001) при сканировании по углу θ.
Магнитостатические свойства
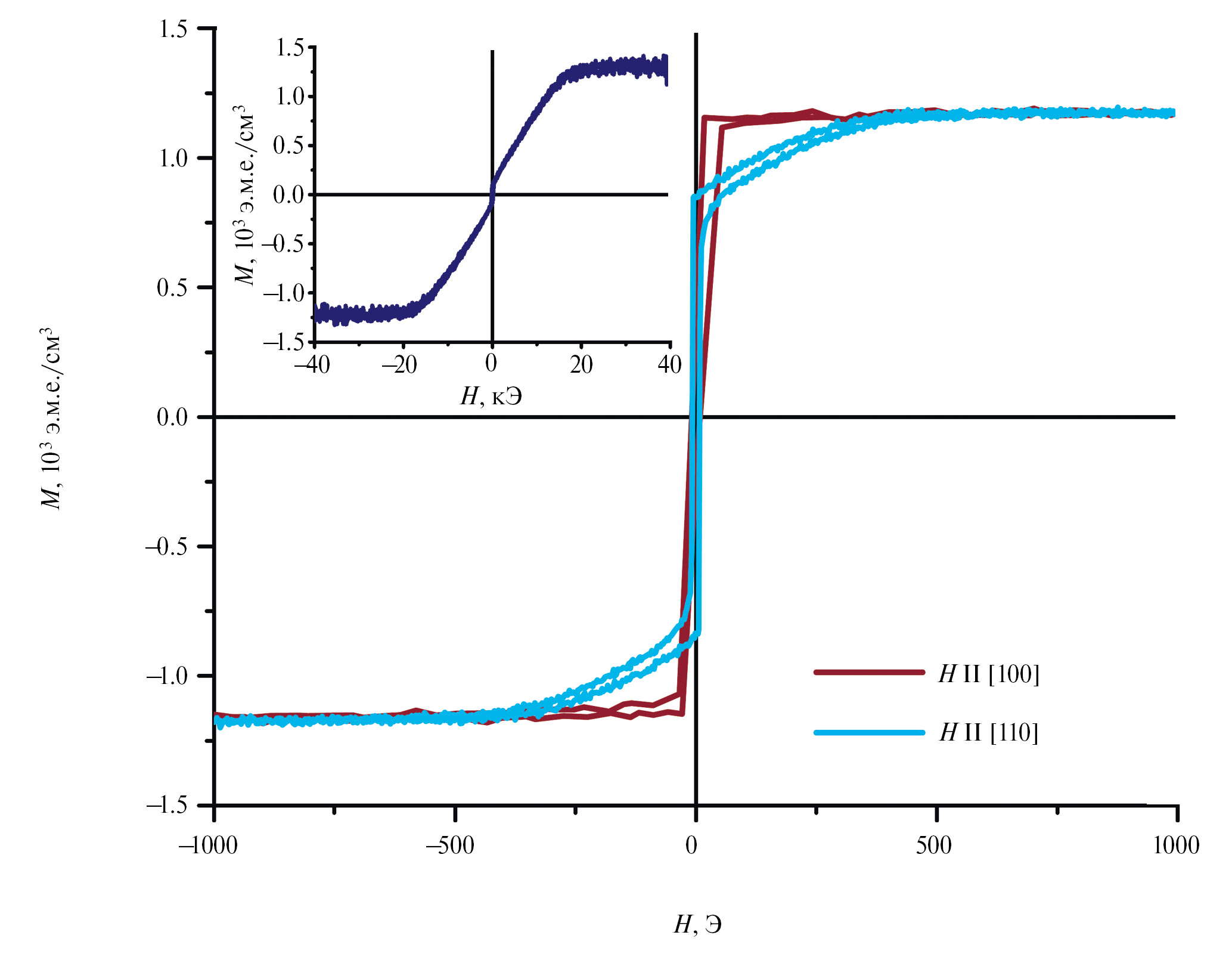
Исследование статических магнитных свойств пленки Fe3Al и двухслойной структуры Fe3Al/Pt проводилось методом вибрационной магнитометрии (ВМ, Quantum Design PPMS-9). Были получены кривые перемагничивания в плоскости образцов и в направлении нормали к плоскости (рис. 2). Обе системы обладают анизотропией типа «легкая плоскость». Кристаллографические направления <100>Fe3Al соответствуют осям легкого намагничивания и <110>Fe3Al — осям трудного намагничивания в плоскости пленок. Также установлено, что и пленка Fe3Al, и бислой Fe3Al/Pt являются магнитомягкими, с коэрцитивной силой ~ 9 Э и ~ 8 Э соответственно.
Рис. 2. Кривые перемагничивания с магнитным полем, лежащим в плоскости образцов: голубая линия — при H || [110]Fe3Al, бордовая линия — при H || [100]Fe3Al; на вставке представлена кривая намагничения в магнитном поле, приложенном вдоль нормали к пленке, H || [001]Fe3Al.
Ферромагнитный резонанс
Магниторезонансные свойства синтезированных образцов изучались при комнатной температуре. На рисунке 3а представлены спектры ферромагнитного резонанса (ФМР) одиночной пленки Fe3Al и двухслойной структуры Fe3Al с платиной при направлении приложенного постоянного магнитного поля вдоль легкой оси в плоскости пленки. Спектры были аппроксимированы функцией, отвечающей форме линии Дайсона, характерной для проводящих образцов, откуда были определены резонансные поля и ширины линий. Результаты аппроксимации показаны на рис. 3а. Резонансное поле для одиночной пленки Fe3Al равно Hres(Fe3Al) = 274.9 ± 0.2 Э, для бислоя Fe3Al/Pt — Hres(Fe3Al/Pt) = 292.2 ± 0.2 Э. Значения ширины линии ФМР составили 29.6 ± 0.2 Э для пленки Fe3Al и 36.6 ± 0.2 Э для бислоя с платиной. Наблюдается уширение резонансной линии двухслойной структуры Fe3Al/Pt по сравнению с одиночной пленкой Fe3Al на ~ 23 %. Такое наблюдение, на наш взгляд, указывает на возрастание джоулевых потерь в системе, связанных с генерацией зарядовых токов в платиновой компоненте в условиях спиновой накачки вследствие обратного спинового эффекта Холла, а также наличие стока намагниченности из слоя Fe3Al в слой Pt.
Рис. 3. Спектры ФМР одиночной пленки Fe3Al (кружки) и Fe3Al/Pt (треугольники) и результаты их аппроксимации (красные линии) (а); ориентационные зависимости спектров ФМР тонкой пленки Fe3Al и двухслойной структуры Fe3Al/Pt при вращении магнитного поля в плоскости пленок (б).
Ориентационные зависимости резонансного поля согласуются с результатами ВМ и указывают на магнитокристаллическую анизотропию 4-го порядка в плоскости. На рисунке 3б представлены ориентационные зависимости в формате интенсивностной картины. На каждой из панелей представлено по 40 спектров, измеренных с шагом 5 градусов.
Обратный спиновый эффект Холла
Спиновая накачка является одним из способов генерации спинового тока в нормальном металле: прецессия намагниченности в ФМ-слое двухслойной структуры перетекает в прилежащий к нему слой нормального металла [15]. Спин-орбитальное взаимодействие приводит к спин-зависимому рассеянию, которое может связывать зарядовые и спиновые токи в проводящих материалах (спиновые эффекты Холла).
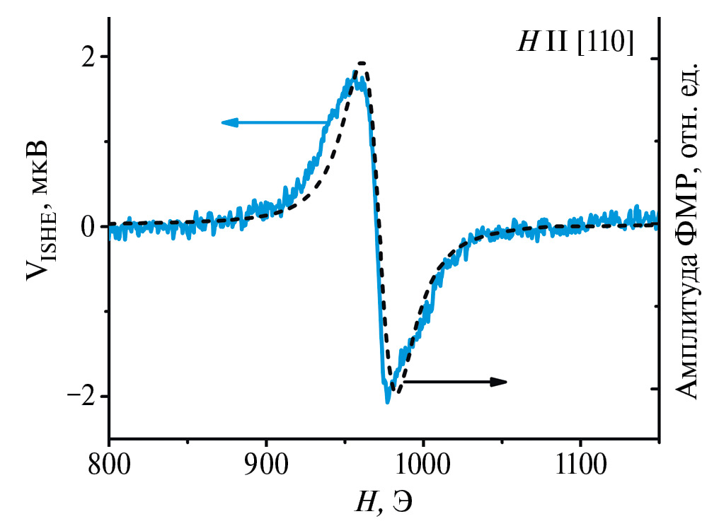
На рисунке 4 представлен сигнал эдс, генерируемой в условиях спиновой накачки в двухслойной структуре Fe3Al/Pt, в сопоставлении со спектром ФМР в той же ориентации образца. Напряжение, детектируемое на концах образца, имеющего форму полоски шириной 0.9 мм и длиной 5 мм, в ФМР-эксперименте можно записать как [16]
(1)
где λPt — длина спиновой диффузии в Pt, w — ширина образца, — толщина слоя Pt (Fe3Al), — проводимость слоя Pt (Fe3Al). Выражение для плотности спинового тока , генерируемого в процессе спиновой накачки, следующее:
(2)
где — реальная часть спин-миксинг-проводимости, h — амплитуда радиочастотного электромагнитного поля в ЭПР-спектрометре, γ — гиромагнитное отношение в ферромагнетике, α — параметр затухания Гильберта, Ms — намагниченность насыщения. Согласно [17], реальную часть спин-миксинг-проводимости можно найти как
(3)
Используя выражения (1), (2) и (3), можно оценить спиновый угол Холла платины. Значения проводимостей и были измерены методом Ван дер Пау и составили 6.76∙105 (Ом∙м)–1 и 6.0∙105 (Ом∙м)–1 соответственно. Параметр затухания Гильберта определялся как , где W — ширина линии ФМР на полувысоте. В расчетах использовалось значение длины спиновой диффузии 10 нм. Полученное значение спинового угла Холла составило 0.030 ± 0.005.
Рис. 4. Спин-холловская ЭДС, возникающая в условиях спиновой накачки из-за проявления обратного спинового эффекта Холла в двухслойной структуре Fe3Al/Pt (сплошная линия). Прерывистой линией показан спектр ФМР, записанный в той же ориентации образца.
Заключение
В синтезированной двухслойной структуре Fe3Al/Pt была обнаружена магнитокристаллическая анизотропия ФМ-слоя Fe3Al четвертого порядка в плоскости. Определены направления легких и трудных осей намагничивания. Обратный спиновый эффект Холла в бислое Fe3Al/Pt проявился в уширении резонансной линии, а также в сигнале эдс в условиях спиновой накачки. На базе полученных экспериментальных данных оценен спиновый угол Холла в платине. Полученное значение 0.030 ± 0.005 хорошо согласуется с приведенной в работе [10] зависимостью угла Холла от длины спиновой диффузии.
Работа была поддержана программой стратегического академического лидерства Казанского федерального университета («Приоритет-2030»). Работа Гумарова А. И. выполнена за счет субсидии, выделенной Казанскому федеральному университету в рамках темы государственного задания на научные исследования № FZSM-2023-0012.
About the authors
А. Kh. Kadikova
Kazan Federal University
Author for correspondence.
Email: anelyakadikova11@gmail.com
Institute of Physics
Russian Federation, KazanB. F. Gabbasov
Kazan Federal University
Email: anelyakadikova11@gmail.com
Institute of Physics
Russian Federation, KazanI. V. Yanilkin
Kazan Federal University
Email: anelyakadikova11@gmail.com
Institute of Physics
Russian Federation, KazanA. I. Gumarov
Kazan Federal University
Email: anelyakadikova11@gmail.com
Institute of Physics
Russian Federation, KazanD. G. Zverev
Kazan Federal University
Email: anelyakadikova11@gmail.com
Institute of Physics
Russian Federation, KazanA. G. Kiiamov
Kazan Federal University
Email: anelyakadikova11@gmail.com
Institute of Physics
Russian Federation, KazanL. R. Tagirov
Kazan Federal University; Federal Research Center Kazan Scientific Center of Russian Academy of Sciences, Kazan
Email: anelyakadikova11@gmail.com
Institute of Physics, Zavoisky Physical-Technical Institute
Russian Federation, Kazan; KazanR. V. Yusupov
Kazan Federal University
Email: anelyakadikova11@gmail.com
Institute of Physics
Russian Federation, KazanReferences
- Ферт А. // УФН. 2008. Т. 178. № 12. С. 1336; Fert A. // Phys. Usp. 2008. V. 51. P. 1336.
- Грюнберг П.А. // УФН. 2008. Т. 178. № 12. С. 1349; Gruenberg P.A. // Phys. Usp. 2008. V. 51. P. 1349.
- Kato Y.K., Myers R.C., Gossard A.C. et al. // Science. 2004. V. 306. No. 5703. P. 1910.
- Wunderlich J., Kaestner B., Sinova J. et al. // Phys. Rev. Lett. 2005. V. 94. No. 4. Art. No. 047204.
- Valenzuela S.O., Tinkham M. // Nature. 2006. V. 442. No. 7099. P. 176.
- Sinova J., Valenzuela S.O., Wunderlich J. et al. // Rev. Mod. Phys. 2015. V. 87. No. 4. P. 1213.
- Трушин А.С., Кичин Г.А., Звездин К.А. // Изв. РАН. Сер. физ. 2023. Т. 87. № 1. С. 105; Trushin A.S., Kichin G.A., Zvezdin K.A. // Bull. Russ. Acad. Sci. Phys. 2023. V. 87. No. 1. P. 88.
- Saitoh E., Ueda M., Miyajima H. et al. // Appl. Phys. Lett. 2006. V. 88. No. 18. Art. No. 182509.
- Sandweg C.W., Kajiwara Y., Ando K. et al. // App. Phys. Lett. 2010. V. 97. No. 25. Art. No. 252504.
- Wang Y., Deorani P., Qiu X. et al. // App. Phys. Lett. 2014. V. 105. No. 15. Art. No. 152412.
- Wei Y., Zhang W., Lv B. et al. // Sci. Advances. 2021. V. 7. No. 4. Art. No. eabc5053.
- Костенко М.Г., Лукоянов А.В., Шредер Е.И. // Письма в ЖЭТФ. 2018. Т. 107. № 1—2. С. 128; Kostenko M.G., Lukoyanov A.V., Shreder E.I. // JETP Lett. 2018. V. 107. No. 2. P. 126.
- Ikeda O., Ohnuma I., Kainuma R. et al. // Intermetallics. 2001. V. 9. No. 9. P. 755.
- Матюнина М.В., Соколовский В.В., Загребин М.А. и др. // Изв. РАН. Сер. физ. 2019. Т. 83. № 7. С. 927; Matyunina M.V., Sokolovskiy V.V., Zagrebin M.A. et al. // Bull. Russ. Acad. Sci. Phys. 2019. V. 83. No. 7. P. 844.
- Tserkovnyak Y., Brataas A., Bauer G.E.W. // Phys. Rev. Lett. 2002. V. 88. No. 11. Art. No. 117601.
- Ando K., Takahashi S., Ieda J. et al. // J. Appl. Phys. 2011. V. 109. No. 10. Art. No. 103913.
- Dubowik J., Graczyk P., Krysztofik A. et al. // Phys. Rev. Appl. 2020. V. 13. No. 5. Art. No. 054011.
Supplementary files






