Photophysical properties of phosphors based on 3-(1,3-benzothiazol-2-yl)-4-hydroxybenzenesulfonic acid
- Authors: Parfenova E.V.1, Slyusarenko N.V.1, Kulagin S.V.2, Rogova A.V.1, Tomilin F.N.1,3, Slyusareva E.A.1
-
Affiliations:
- Siberian Federal University
- OLBO LLC
- Kirensky Institute of Physics – a branch of Krasnoyarsk Scientific Center of the Siberian Branch of the Russian Academy of Sciences
- Issue: Vol 88, No 6 (2024)
- Pages: 960-966
- Section: Luminescence and Laser Physics
- URL: https://bakhtiniada.ru/0367-6765/article/view/276203
- DOI: https://doi.org/10.31857/S0367676524060182
- EDN: https://elibrary.ru/PFPXJN
- ID: 276203
Cite item
Full Text
Abstract
Water-soluble organic phosphors based on 3-(1,3-benzothiazol-2-yl)-4-hydroxybenzene sulphonic acid were first studied experimentally and by density functional theory. The phosphors have differences in chemical structure. For one of them there is a large Stokes shift that results from intramolecular proton transfer in the excited state.
Full Text
ВВЕДЕНИЕ
Органические люминофоры, бесцветные при дневном освещении и способные давать яркое свечение в видимом диапазоне привлекают внимание в связи с их потенциальным применением в флуоресцентных зондах и метках [1], концентраторах солнечной энергии [2], спектральных преобразователях, органических светоизлучающих диодах [3], в криминалистике, для защиты ценных бумаг и промышленной продукции от фальсификации [4]. Такие люминофоры обладают аномально большим стоксовым сдвигом (более 150 нм), обычно возникающим в результате внутримолекулярного переноса протона в возбужденном состоянии. Такой перенос имеет место, если в структуре молекулы происходит взаимодействие между донором и акцептором с образованием внутримолекулярной водородной связи (таутомеризация между возбужденным нормальным (N*) и возбужденным таутомерным (T*) состояниями [5]). Большой стоксов сдвиг помогает осуществлять значительное спектральное преобразование, а также избежать потерь энергии излучения за счет собственного перепоглощения.
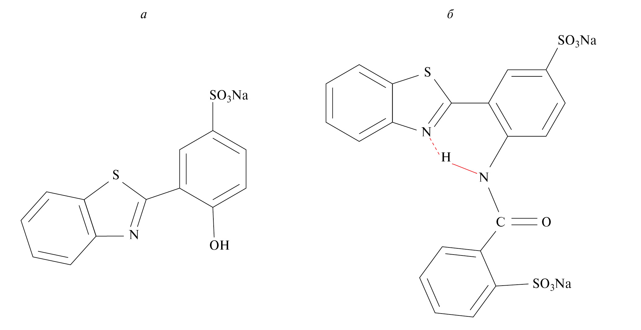
В работе был проведен сравнительный анализ спектральных и фотофизических свойств двух новых водорастворимых бесцветных соединений на основе 3-(1,3-бензотиазол-2-ил)-4-гидроксибензолсульфокислоты, с привлечением экспериментальных методов и квантово-химических расчетов. Эти соединения имеют общую структуру хромофора, один из которых во 2-м положении имеет сульфобензоиламиногруппу вместо гидроксильной группы (рис. 1). Это различие играет принципиальную роль в эффективности протекания внутримолекулярного переноса протона в возбужденном состоянии. Выявление связи структуры вещества с его свойствами способствует реализации направленного химического синтеза люминофоров с заданными характеристиками.
Рис. 1. Структурные формулы Люминофора 1 (а) и Люминофора 2 (б)
МАТЕРИАЛЫ И МЕТОДЫ
Материалы
Мы использовали водорастворимые органические люминофоры: натриевую соль 3-(1,3-бензотиазол-2-ил)-4-гидроксибензолсульфокислоты (Люминофор 1) и динатриевую соль 3-(1,3-бензотиазол-2-ил)-4-[(2-сульфонатобензоил)амино]бензолсульфокислоты (Люминофор 2). Образцы были синтезированы согласно методике [6]. Порошки растворяли в дистиллированной воде, концентрация люминофоров в растворе составляла 9.2·10–5 и 5.7·10–5 М для Люминофора 1 и Люминофора 2 соответственно.
Абсорбционные и флуоресцентные измерения
Измерение спектров поглощения проводили на спектрофотометре Lambda 35 (США). Спектры люминесценции были получены на спектрофлуориметре Fluorolog 3—22 (Horiba Scientific, США) при возбуждении на длине волны 300 нм. Спектры корректировали на спектральную чувствительность фотоэлектронного умножителя. Измерения проводили при комнатной температуре в стандартных кварцевых кюветах сечением 1×1 см с использованием L-геометрии возбуждения.
Спады интенсивности флуоресценции получены на том же спектрофлуориметре, оснащенном модулем DeltaHub (Horiba Scientific, США), работающем в режиме счета одиночных фотонов. Образцы возбуждали импульсным лазерным диодом NanoLED N-295 с максимумом 296 нм. Спады интенсивности были сняты в максимумах спектров флуоресценции. Анализ полученных данных, включая процедуру деконволиции, проводили в программе DAS6 (Horiba Scientific, США) при описании суммой трех экспонент.
Среднее время жизни флуоресценции ⟨τфл⟩ рассчитывалось как:
, (1)
где Bi — вклады соответствующих компонент спада.
Определение квантового выхода флуоресценции и констант скорости
Квантовый выход флуоресценции (φ) люминофоров измеряли относительным методом [7]. В качестве стандарта использовали растворы красителей — эозин Y в воде (φ = 20 % [8]) и кумарин 1 в этаноле (φ = 50 % [9]). Для расчета квантового выхода использовалось соотношение:
, (2)
где Dвозб — оптическая плотность на длине волны возбуждения, Sфл — интегральная интенсивность флуоресценции, Iвозб — интенсивность возбуждающего света, n — показатель преломления среды. Индекс «0» относится к стандарту.
Константы скорости излучательного (kизл) и безызлучательного (kбезызл) переходов были рассчитаны из уравнений [10]:
, (3)
. (4)
Методы теоретических расчетов
Для расчета фотофизических свойств люминофоров с возможными таутомерными переходами в возбужденном состоянии использованы CAM-B3LYP/PBE0 [11—14] и B3LYP функционалы с базисом aug-cc-pVDZ. Проведена оптимизация геометрии таутомерных форм Люминофора 1 и Люминофора 2 с учетом растворителя (воды) в основном и возбужденном состояниях. Рассчитаны спектры поглощения и максимум спектра люминесценции c помощью TD-DFT [15] метода. При учете растворителя использовали модель поляризованного континуума SMD [16]. Все расчеты выполнены в программе GAMESS [17]. Для каждого расчета рассматривали «лямбда-диагностику» (Λ) [18], которая является критерием для разделения локальных переходов от переходов с переносом заряда и от ридберговских переходов. Для локальных возбуждений (0.45 < Λ < 0.89) характерно большое перекрытие молекулярных орбиталей, что указывает на то, что занятые и виртуальные орбитали, участвующие в возбуждении, занимают одинаковые области пространства в молекуле. Этого же можно ожидать для локальных возбуждений, где степень перераспределения заряда мала.
РЕЗУЛЬТАТЫ И ОБСУЖДЕНИЕ
Спектральные и фотофизические свойства
Исследуемые вещества имеют различные спектральные характеристики и не поглощают в видимой области спектра (рис. 2). Для исследования сложной структуры спектров и выделения скрытых полос поглощения был применен метод производной спектрофотометрии [19]. Люминофор 1 имеет одну полосу флуоресценции на 400 нм (рис. 2а), тогда как Люминофор 2 демонстрирует две полосы: с максимумом на 393 и 553 нм (рис. 2б). При этом для длинноволновой полосы наблюдается аномально большой стоксов сдвиг. Значения максимумов спектров поглощения, флуоресценции и стоксовы сдвиги приведены в табл. 1.
Рис. 2. Спектры поглощения и флуоресценции Люминофора 1 (а) и Люминофора 2 (б). Вставки: люминофоры при дневном свете (1) и при возбуждении УФ-лазером (2)
Таблица 1. Фотолюминесцентные свойства органических люминофоров, полученные экспериментально
Люминофор | , нм | , нм | Стоксов сдвиг, см-1 | τфл, нс | φ,% | kизл (106 с-1) | kбезызл (108 с-1) |
1 | 296 | 400 | 8 500 | 5.5 | 15.8 | 28.7 | 1.53 |
2 | 310 | 393 | 7 100 | 1.14 | 1.2 | 10.5 | 8.8 |
553 | 14 200 | 0.9 | 1.4 | 15.6 | 11.0 |
Квантовый выход и флуоресцентные времена жизни Люминофора 2 значительно ниже, чем для Люминофора 1. При этом для обеих полос Люминофора 2 эти значения близки (табл. 1). Уменьшение квантового выхода флуоресценции и времени жизни возбужденного состояния у Люминофора 2 свидетельствует об эффективных безызлучательных процессах дезактивации возбужденного состояния. Константы скорости безызлучательных переходов для люминофоров отличаются на порядок.
Квантово-химические расчеты
Расчеты геометрии, спектров поглощения и испускания люминофоров и их возможных таутомерных форм были проведены с использованием двух функционалов (CAM-B3LYP и B3LYP). Поскольку расчеты не учитывают колебательную структуру молекул, сопоставление проводилось между максимумами вибронных полос, полученных экспериментально с положением электронных полос, полученных теоретически. Для выбора наиболее подходящего метода был проведен сравнительный анализ теоретических рассчитанных спектров и экспериментальных данных для каждого люминофора. Коэффициент корреляции между экспериментальными и теоретическими данными оказался выше для CAM-B3LYP функционала, поэтому далее результаты приведены для SMD/CAM-B3LYP/ aug-cc-pVDZ уровня теории DFT. На рис. 3 представлены данные по корреляции расчетных и экспериментальных длин волн в спектрах поглощения и флуоресценции различных таутомерных форм люминофоров. Как видно из рис. 3 точки максимумов длин волн расположены близко к линии регрессии. График линейной регрессии показывает, что существует корреляция (r = 0.995 и r = 0.982 для Люминофора 1 и Люминофора 2 соответственно) между экспериментальными и расчетными длинами волн. Высокая корреляция говорит об адекватности выбранных методов расчета. Линейную регрессию можно использовать для соотнесения таутомерных форм в экспериментальных спектрах.
Рис. 3. Корреляция расчетных и экспериментальных длин волн в спектрах поглощения (1) и флуоресценции (2) различных таутомерных форм Люминофора 1 (а) и Люминофора 2 (б)
В табл. 2 приведены данные длин волн поглощения и люминесценции, для всех рассчитанных таутомеров в рамках SMD модели. Получено, что максимуму поглощения Люминофора 2 на 314 нм соответствует N*-состояние, в свою очередь, для спектров люминесценции N*-состоянию Люминофора 2 соответствует 375 нм, T*-состоянию — 452 нм (рис. 4в и 4г, табл. 2).
Рис. 4. Атомная структура Люминофора 1 для конформера 1 (а) и конформера 2 (б), пунктирной линией показано взаимодействие с растворителем. Таутомерные формы Люминофора 2: N*-состояние (в) и T*-состояние (г); кругом отмечены фрагменты, содержащие отличия форм; R1, R2, R3 — заместители молекулы; атомы C, O, H, N и S окрашены в синий, красный, серый, фиолетовый и желтый цвета соответственно. Молекулярные орбитали для основного (ВЗМО) и возбужденного (НВМО) состояния таутомеров Люминофора 2: N* — (д), T* — (е)
Таблица 2. Спектральные свойства люминофоров в различных таутомерных формах, полученные на уровне теории TD/CAM-B3LYP/aug-cc-pVDZ
Поглощение | Состоя- ние | Испускание | Стоксов сдвиг | |||
λS0 → S1, нм | fS0 → S1 | Λ | λS1 → S0, нм | fS1 → S0 | см-1 | |
Люминофор 1 (конформер 1) | ||||||
311 | 0.61 | 0.72 | N* | 383 | 1.01 | 6000 |
‒ | T* | 452 | 0.42 | 10 000 | ||
Люминофор 1 (конформер 2) | ||||||
304 | 0.67 | 0.74 | N* | 386 | 1.10 | 7000 |
Люминофор 2 | ||||||
314 | 0.54 | 0.73 | N* | 375 | 0.63 | 5200 |
‒ | T* | 452 | 0.36 | 9700 | ||
λS0 → S1 и fS0 → S1 — длина волны поглощения и сила осциллятора перехода S0 → S1 соответственно; λS1 → S0 и fS1 → S0 — длина волны испускания и сила осциллятора перехода S1 → S0 соответственно. Λ — лямбда-параметр. | ||||||
Для Люминофора 1 максимум длины волны люминесценции при таутомеризации сдвигается в красную область (табл. 2). Однако для Люминофора 1 в N*-состоянии (рис. 4а и 4б) наблюдается хорошая корреляция рассчитанного максимума поглощения с экспериментальными спектрами. Таким образом, у Люминофора 2 в отличие от Люминофора 1, в возбужденном состоянии происходит внутримолекулярная реакция с переносом протона.
На рис. 4д и 4е представлены молекулярные орбитали для основного и возбужденного состояния таутомеров Люминофора 2. Исходя из расчетов, для N*-состояния ВЗМО локализуется на R1, R2 группах для максимума спектра люминесценции 375 нм. НВМО локализована на R1, R2 группах с энергией от — 1.456 эВ. Для T*-состояния при 452 нм ВЗМО (рис. 4е) локализуется на R2 группе с энергией от — 6.879 эВ. Таким образом, у N*-состояния для ВЗМО и НВМО электронная плотность локализована на R1, R2 группах и перемещение электронной плотности не происходит. Для Т*-состояния наблюдается перемещение электронной плотности для ВЗМО, что указывает на процесс с переносом заряда вследствие чего наблюдается большой стоксов сдвиг.
Связь химического строения люминофоров с реакцией таутомеризации
Экспериментальные исследования и квантово-химические расчеты показали сопоставимые результаты. Различием в химическом составе двух люминофоров обусловлено различие протекания реакции внутримолекулярного переноса протона. Наличие одной полосы испускания, сдвинутой в синюю область у Люминофора 1 указывает на наличие только N*-состояния и соответственно, отсутствие процесса внутримолекулярного переноса протона.
Отсутствие у Люминофора 1 T*-состояния может быть связано с особенностями его химического строения. Для Люминофора 1 возможно существование двух конформеров, в одном из которых (конформер 2, рис. 4б) таутомеризация маловероятна [20]. Кроме того, люминофоры содержат группы, способные образовывать прочные водородные связи с растворителем. Для Люминофора 1, в составе которого есть гидроксильная группа, влияние растворителя вносит больший вклад, чем для Люминофора 2. Это мешает образованию внутримолекулярной водородной связи и процессу внутримолекулярного переноса протона в возбужденном состоянии [21].
У Люминофора 2 имеется две полосы испускания, одна из которых сильно сдвинута в красную область. Формирование большого стоксова сдвига происходит в результате внутримолекулярного переноса протона в возбужденном состоянии с образованием квазиароматического цикла (рис. 1в, 1г). После испускания кванта света молекула возвращается в исходное состояние.
Теоретические методы, основанные на теории функционала плотности, широко применяются для расчетов электронной структуры и фотофизических свойств атомов, молекул, атомных кластеров, а также в физике твердого тела [22—25]. В работе результаты теоретических расчетов имеют хорошее согласие с экспериментом и помогают объяснить природу фотофизических процессов.
ЗАКЛЮЧЕНИЕ
Таким образом, впервые исследованы фотофизические характеристики органических люминофоров на основе 3-(1,3-бензотиазол-2-ил)-4-гидроксибензолсульфокислоты. Полученные фотофизические характеристики и квантово-химические расчеты подтверждают, что различная химическая структура люминофоров влияет на процесс внутримолекулярного переноса протона в возбужденном состоянии. Для Люминофора 1 возможно существование двух конформеров относительно положения атома водорода между гидроксильной группой и атомом азота. В этом случае расположение гидроксильной группы может как способствовать, так и препятствовать таутомерным переходам. Спектральные изменения для динатриевой соли 3-(1,3-бензотиазол-2-ил)-4-[(2-сульфобензоил)амино]бензолсульфокислоты являются результатом внутримолекулярных взаимодействий с донорной группой молекулы. В возбужденном состоянии происходит таутомерный переход, что проявляется в образовании аномального стоксова сдвига.
Отдельную благодарность выражаем ООО фирме «ОЛБО» за предоставленные образцы.
Работа выполнена при поддержке программы «Приоритет 2030», проект «Создание новых люминесцентных материалов полифункционального назначения» и Совета по грантам Президента РФ (проект № МК-995.2022.1.2).
About the authors
E. V. Parfenova
Siberian Federal University
Author for correspondence.
Email: katrinfly@bk.ru
Russian Federation, Krasnoyarsk
N. V. Slyusarenko
Siberian Federal University
Email: katrinfly@bk.ru
Russian Federation, Krasnoyarsk
S. V. Kulagin
OLBO LLC
Email: katrinfly@bk.ru
Russian Federation, Moscow
A. V. Rogova
Siberian Federal University
Email: katrinfly@bk.ru
Russian Federation, Krasnoyarsk
F. N. Tomilin
Siberian Federal University; Kirensky Institute of Physics – a branch of Krasnoyarsk Scientific Center of the Siberian Branch of the Russian Academy of Sciences
Email: katrinfly@bk.ru
Russian Federation, Krasnoyarsk; Krasnoyarsk
E. A. Slyusareva
Siberian Federal University
Email: katrinfly@bk.ru
Russian Federation, Krasnoyarsk
References
- Sedgwick A.C., Wu L., Han H.H. et al. // Chem. Soc. Rev. 2018. V. 47. No. 23. P. 8842.
- Mattiello S., Sanzone A., Bruni F. et al. // Joule. 2020. V. 4. No. 9. P. 1988.
- Moraes E.S., Duarte L.G.T.A., Germino J.C., Atvars T.D.Z. // J. Phys. Chem. C. 2020. V. 124. No. 41. P. 22406.
- Болотин Б.М. // Хим. пром. сегодня. 2014. № 1. С. 18.
- Stoerkler T., Pariat T., Laurent A.D. et al. // Molecules. 2022. V. 27. No. 8. Art. No. 2443.
- Бирген Е.А., Болотин Б.М., Кукушкина М.Л., Яковлева Е.В. Бесцветные, растворимые в воде органические люминофоры. Патент РФ № 2287007, кл. C09K11/06, C07D265/14, C07D277/66. 2006.
- Williams A.T.R., Winfield S.A., Miller J.N. // Analyst. 1983. V. 108. No. 1290. P. 1067.
- Fleming G.R., Knight A.W.E., Morris J.M. et al. // J. Amer. Chem. Soc. 1977. V. 99. No. 13. P. 4306.
- Reynolds G.A., Drexhage K.H. // Opt. Commun. 1975. V. 13. No. 3. P. 222.
- Santos F.S., Ramasamy E., Ramamurthy V., Rodembusch F.S. // J. Mater. Chem. C. 2016. V. 4. No. 14. P. 2820.
- Lei Y.Q., Xi J.Y., Guo H., Jia R. // J. Saudi Chem. Soc. 2018. V. 22. No. 7. P. 777.
- Wen K., Guo X., Zhang J. // Mol. Phys. 2019. V. 117. No. 6. P. 804.
- Tasheh N.S., Nkungli N.K., Ghogomu J.N. // Theor. Chem. Acc. 2019. V. 138. Art. No. 100.
- Yin F., Fang H. // J. Mol. Struct. 2023. V. 1272. Art. No. 134123.
- Marques M.A.L., Gross E.K. // Annu. Rev. Phys. Chem. 2004. V. 55. P. 427.
- Canuto S. Solvation effects on molecules and biomolecules: computational methods and applications. Springer, 2010. 547 p.
- Schmidt M.W., Baldridge K.K., Boatz J.A. et al. // J. Comput. Chem. 1993. V. 14. No. 11. P. 1347.
- Peach M.J.G., Benfield P., Helgaker T., Tozer D.J. // J. Chem. Phys. 2008. V. 128. No. 4. Art. No. 044118.
- Talsky G. Derivative spectrophotometry: low and higher order. Weinheim: VCH, 1994. 228 p.
- Das S.K., Krishnamoorthy G., Dogra S.K. // Canad. J. Chem. 2000. V. 78. No. 2. P. 191.
- Peng Y., Ye Y., Xiu X., Sun S. // J. Phys. Chem. A. 2017. V. 121. No. 30. P. 5625.
- Юрьева Э.И., Оштрах М.И. // Изв. РАН. Сер. физ. 2007. Т. 71. № 9. С. 1265; Yur’eva E.I., Oshtrakh M.I. // Bull. Russ. Acad. Sci. Phys. 2007. V. 71. No. 9. P. 1229.
- Панкратов С.А., Паршинцев А.А., Преснов Д.Е., Шорохов В.В. // Изв. РАН. Сер. физ. 2023. Т. 87. № 1. С. 71; Pankratov S. A., Parshintsev A. A., Presnov D. E., Shorokhov V. V. // Bull. Russ. Acad. Sci. Phys. 2023. V. 87. No. 1. P. 59.
- Даниленко Т.Н., Татевосян М.М., Власенко В.Г. // Изв. РАН. Сер. физ. 2015. Т. 79. № 11. С. 1573; Danilenko T.N., Tatevosyan M.M., Vlasenko V.G. // Bull. Russ. Acad. Sci. Phys. 2015. V. 79. No. 11. P. 1376.
- Овчинников С.Г., Антипина Л.Ю., Томилин Ф.Н., Кузубов А.А. // Письма в ЖЭТФ. 2010. Т. 91. № 9. С. 536; Ovchinnikov S.G., Antipina L.Y., Tomilin F.N., Kuzubov A.A. // JETP Lett. 2010. V. 91. No. 9. P. 490.
Supplementary files






