Peculiarities of the biological action of intense laser pulses at the molecular level
- Authors: Bugay A.N.1
-
Affiliations:
- Joint Institute for Nuclear Research
- Issue: Vol 88, No 6 (2024)
- Pages: 884-888
- Section: Quantum Optics and Coherent Spectroscopy
- URL: https://bakhtiniada.ru/0367-6765/article/view/276165
- DOI: https://doi.org/10.31857/S0367676524060061
- EDN: https://elibrary.ru/PHHLGE
- ID: 276165
Cite item
Full Text
Abstract
A biophysical model has been proposed for the formation of the main types of radiation damage to DNA in mammalian and human cells under action of intense femtosecond pulses in the visible and near-IR ranges.
Keywords
Full Text
ВВЕДЕНИЕ
Исследование молекулярных механизмов действия излучений на живые клетки важно не только в общебиологическом плане, но и крайне актуально при решении прикладных задач, связанных с радиационной безопасностью, разработкой новых типов радиопротекторов, а также развитием методов лучевой терапии рака. Радиационное повреждение ДНК в ядре клетки может привести к ошибкам в транскрипции и репликации, и при неправильном восстановлении может привести к мутации, геномной нестабильности и даже гибели клетки.
Развитие технологий микроманипуляции и диссекции клеточных структур с помощью интенсивного лазерного излучения в последние десятилетия открыло новые подходы для исследования радиационных эффектов в ядрах клеток [1, 2]. Интенсивные сверхкороткие лазерные импульсы позволяют создавать чрезвычайно локализованные химические, термические и механические эффекты в биологических средах и других прозрачных материалах, связанные нелинейным поглощением фотонов и генерацией свободных электронов в процессе фотоионизации [3].
Как показывают эксперименты с лазерными филаментами [1—6], спектр молекулярных повреждений в ДНК включает в себя как фотодимеры и сшивки пиримидиновых оснований, типичные и для других световых источников, так и повреждения нуклеиновых оснований, однонитевые и двунитевые разрывы, формирующиеся в трековых структурах при действии ионизирующих излучений.
Несмотря на большое число экспериментальных работ, теоретическое описание формирования повреждений ДНК представляет собой весьма сложную задачу. И если в случае ионизирующих излучений за несколько десятков лет достигнут значительный прогресс с использованием методов Монте-Карло моделирования [7], то в случае лазерной плазмы теория еще только развивается [3, 6].
Настоящая работа призвана восполнить существующий пробел и предложить биофизическую модель для количественного расчета ключевых типов повреждений ДНК в клетках млекопитающих и человека на основе физико-химических процессов, протекающих при взаимодействии с интенсивными фемтосекундными лазерными импульсами.
ДИНАМИКА ЛАЗЕРНОГО ИМПУЛЬСА
Уравнение для описания динамики комплексной огибающей ψ лазерного импульса в биологическом материале (основной компонент — вода с объемным содержанием ρw) можно записать в следующем виде [3, 8]:
(1)
Здесь ω — центральная частота сигнала, k — волновое число на центральной частоте, z — координата, вдоль которой распространяется импульс, τ = t − z / vg — время в сопутствующей системе координат, Δ⊥ — лапласиан по координатам x и y, vg — групповая скорость, β2 — коэффициент дисперсии групповой скорости, β3 — коэффициент дисперсии третьего порядка, γ — коэффициент кубической нелинейности, параметр TR учитывает вклад вынужденного комбинационного саморассеяния. Величина определяет сечение лавинной ионизации на основе модели Друде с характерным временем столкновений τc и критической плотностью плазмы ρc, а соответствующие члены в уравнении (1) учитывают вклад плазмы в нелинейный показатель преломления и потери за счет эффекта обратного тормозного излучения. Коэффициенты α и βn учитывают линейное поглощение и потери на ионизацию (многофотонное поглощение), соответственно.
В дальнейшем будем рассматривать диапазон интенсивностей и длительностей импульсов [3], не приводящий к пробою с образованием кавитационных пузырьков, ударных волн и локальным ростом температуры, так что соответствующими эффектами можно пренебречь.
КИНЕТИКА НОСИТЕЛЕЙ ЗАРЯДА И ПРОДУКТОВ РАДИОЛИЗА
Кинетика носителей заряда и химических продуктов учитывается в настоящей модели на основе систем типа реакции-диффузии. Схемы основных процессов с соответствующими скоростями приведены в табл. 1, а продукты радиолиза и коэффициенты их диффузии — в табл. 2. При определении параметров использованы данные из работ [3, 6, 7, 9—11].
Таблица 1. Константы скорости процессов при радиолизе и повреждении ДНК
Схема процесса | Константа скорости | |
Обозначение | Величина, 1010 M−1·с−1 | |
H2O+ + H2O → H3O+ + •OH | kh | 9.0 |
H2O+ + e‾ → H2О | kr | 600 |
e‾ + H2О → H2О‾ | katt | 1802 |
H2О‾+ H2О → •OH + OH–+H2 | 9.0 | |
e‾ + H2О → e‾aq | kea | 6.0 |
e‾aq + •OH → OH– | keOH | 2.95 |
2e‾aq + 2H2О → H2 + 2OH– | 0.5 | |
e‾aq + H3O+ → H•+ H2О | 2.11 | |
e‾aq + H2O2 → OH– + •OH | 1.41 | |
H2+ •OH → H• + H2О | 0.00417 | |
•OH + •OH → H2O2 | kOH | 0.44 |
•OH + H• → H2O | kHOH | 1.44 |
H• + H• → H2 | kH | 1.2 |
H3O+ + OH– → 2H2O | 14.3 | |
e‾ + DNA → DNA-BD | kebd | 163 420 |
e‾ + DNA → DNA-SSB | kessb | 48 696 |
e‾ + DNA → DNA-DSB | kesdb | 1615 |
•OH + DNA → DNA-BD | kOHbd | 0.695 |
•OH + DNA → DNA-SSB | kOHssb | 0.25 |
2 •OH + DNA → DNA-DSB | kOHdsb | 125 M−1 |
Таблица 2. Коэффициенты диффузии продуктов радиолиза воды
Молекулярный продукт | Коэффициент диффузии | |
Обозначение | Величина, 10–9 м2 ·с–1 | |
e‾aq | Dea | 4.9 |
•OH | DOH | 2.8 |
H• | DH | 7.0 |
H3O+ | 9.0 | |
H2 | 4.8 | |
OH‾ | 5.0 | |
H2O2 | 2.3 | |
Динамика концентрации электронов ρe определяется процессами фотоионизации и лавинной ионизации в поле импульса. В видимом и ближнем ИК диапазонах, где линейное поглощение биологических тканей минимально, фотоионизация происходит в многофотонном режиме, когда для перехода электрона в зону проводимости воды требуется фотонов. ДНК в настоящей модели рассматривается как аморфный диэлектрик, распределенный по объему ядра клетки с концентрацией ρdna. Поскольку в ДНК эффективная ширина запрещенной зоны Udna на участках цепи с гуанином может быть несколько меньше, чем в воде Udna < , то соответствующий вклад может оказаться существенным. Скорости ионизации для воды σw и ДНК σdna в данной работе рассчитываются по модели Келдыша [12]. Попавший в зону проводимости электрон может набирать энергию в поле импульса за счет эффекта обратного тормозного излучения, сечение которого определяется . На данном этапе становится возможным возбуждение или ударная ионизация молекул. Поскольку данные процессы критичны для расчета повреждений ДНК, следуя работе [13], учтем кинетику набора энергии электроном за дискретное число скачков q, определяемое выражением . При этом концентрация электронов разбивается на q + 1 компонент , каждая из которых имеет кинетическую энергию lħω. Считаем, что ионизация происходит на временах порядка 1 фс, тогда соответствующая скорость процесса ki =1 × 1015 c−1.
Кинетические уравнения для концентраций электронов и дырок можно записать в виде
, (2)
, (3)
, (4)
, (5)
где дополнительно учтены процессы сольватирования электронов, захват свободных электронов молекулами воды с образованием анионов H2О‾ (величина θl учитывает порог по кинетической энергии 6 эВ), рекомбинация электронов и дырок, а также ударная ионизация и захват электронов на участках ДНК с образованием повреждений нуклеиновых оснований (ПО)ρbd, однонитевых (ОР)ρssb и двунитевых (ДР)ρdsb разрывов цепи ДНК. Данные процессы учтены неявно путем умножения известных констант реакций k на зависящие от энергии электрона эффективные выходы продуктов bl = fbd(lħω), sl = fssb(lħω), dl = fdsb(lħω), полученные по интерполированным экспериментальным данным из работы [11]. Отметим, что в соответствующих сечениях процессов имеются резонансы. Так для ДР ДНК они наблюдаются на энергиях электронов примерно 5 и 10 эВ [11].
Дырки и анионы H2О‾ в воде достаточно быстро распадаются на различные активные продукты, которые затем вступают в диффузионно-контролируемые реакции друг с другом и с сольватированными электронами (табл. 1), что можно записать в виде следующей цепочки уравнений:
, (6)
(7)
(8)
(9)
(10)
(11)
(12)
. (13)
Полученная система учитывает как прямые процессы диссоциации связей в воде и ДНК при ионизации и захвате электронов молекулами, так и химические реакции с продуктами радиолиза, которые в свою очередь будут приводить к образованию поврежденных участков ДНК (табл. 1). Как известно, наибольший вклад в последнем случае вносят •OH радикалы [9], поэтому остальными реакциями можно пренебречь.
РАСЧЕТ КОЛИЧЕСТВА ПОВРЕЖДЕНИЙ ДНК
Чтобы перейти к непосредственному расчету отмеченных выше типов повреждений ДНК и замкнуть систему (1)—(13) дополним её следующими уравнениями:
, (14)
, (15)
. (16)
Геометрия биологической среды, в которой распространяется импульс, может быть весьма сложной, что требует учета локальных неоднородностей показателя преломления, поглощения и распределения молекул-мишеней, в первую очередь интересующий нас генетический материал в виде ДНК, расположенный в ядре клеток.
Для простейшего анализа наилучшим образом подходят эксперименты с монослоями клеточных культур, когда лазерный импульс может быть сфокусирован в тонкий образец при прохождении оптической схемы флуоресцентного микроскопа, через которую в дальнейшем проводится анализ биологических эффектов [2—6]. На пространственном масштабе порядка размера ядра клетки ~20 мкм поле импульса в фокусе можно с хорошей степенью точности считать заданным [3].
Приведем характерные оценки. Для определенности рассмотрим клетки фибробластов с характерными размерами ядра эллиптической формы 14 × 14 × 5 мкм. При размере генома 6.4 × 109 пар нуклеотидов (п. н.) концентрация ДНК в модели составит 1.2 × 1025 м−3. В работе [14] при длительностях импульсов с длиной волны 0.73 мкм и длительностью 180 фс, сфокусированных до 0.5 мкм и пиковой интенсивности 0.8 ТВт/см2 в клетках фибробластов, была получена приближенная оценка порядка 70 ДР ДНК на филамент. Расчет по теоретической модели дает 103 ДР ДНК при распространении вдоль длинной оси эллипсоида и 36 ДР ДНК при распространении вдоль короткой оси эллипсоида. При усреднении по произвольной ориентации клеток расчетные оценки практически совпадают с экспериментальной оценкой.
Для простоты считаем, что филамент формируется вдоль длинной полуоси эллипса при фокусировке импульса с гауссовым пространственно-временным распределением интенсивности. Тогда, проинтегрировав систему (2)—(16) с заданным начальным условием по интенсивности импульса, можно произвести расчет характерных выходов повреждений ДНК на одну клетку.
На рис. 1 приведены зависимости выходов ПО, ОР и ДР ДНК в клетках фибробластов от пиковой интенсивности лазерного импульса с длиной волны 0.8 мкм в сформированном филаменте при длительности и радиусе, величины которых заданы, соответственно, 100 фс и 1 мкм. Количество ДР ДНК относительно других более простых для последующей репарации типов повреждений, таких как ОР и ПО, растет с увеличением интенсивности и длительности импульса.
Рис. 1. Расчет количества основных типов повреждений ДНК на один филамент в клетке в зависимости от пиковой интенсивности импульса длиной волны 0.8 мкм, длительностью 100 фс и поперечным радиусом 1 мкм. Сплошная линия — повреждения оснований, пунктир — однонитевые разрывы, штриховая линия — двунитевые разрывы ДНК
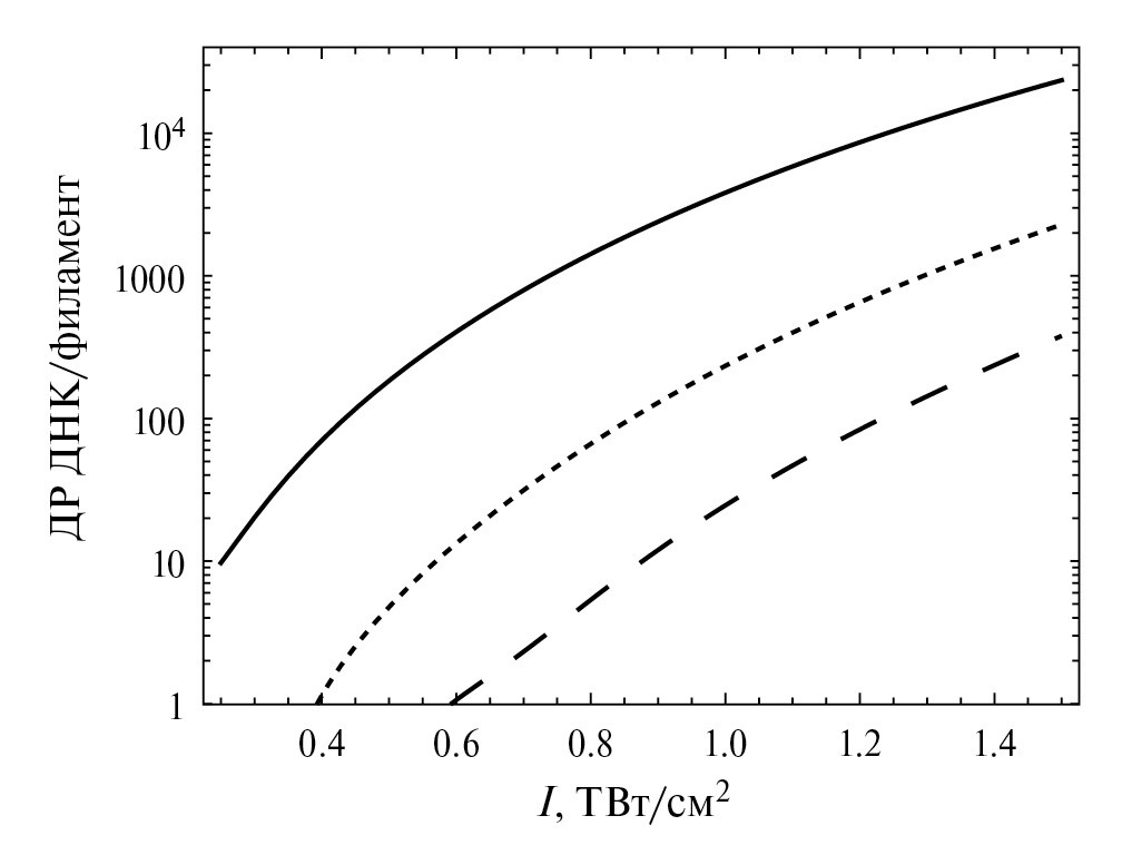
С уменьшением длины волны, при одинаковой интенсивности больше ДР ДНК формируется на более коротких длинах волн (рис. 2), как и наблюдается в экспериментах [4, 15]. Это, очевидно, обусловлено тем, что число фотонов, затрачиваемое на фотоионизацию в этих случаях будет меньше.
Рис. 2. Расчет количества ДР ДНК на один филамент в клетке в зависимости от пиковой интенсивности импульса длительностью 100 фс и поперечным радиусом 1 мкм при различных длинах волн: 0.6 мкм (сплошная линия), 0.8 мкм (пунктир), 1 мкм (штриховая линия)
Отметим также, что с ростом интенсивности на разных длинах волн наблюдается неодинаковая скорость прироста количества повреждений ДНК. Это связано с вкладами разных механизмов в формирование повреждений. В видимом диапазоне в филаменте преобладают электроны с относительно малой кинетической энергией, которые либо дают простые повреждения, либо термализуются. В случае же ИК-диапазона фотоэлектроны в поле импульса успевают набрать кинетическую энергию, достаточную для ударной ионизации, и вклад лавинной ионизации в формирование повреждений ДНК начинает доминировать над фотоионизацией. Эта смена механизмов становится еще более выраженной с увеличением длительности импульса. Увеличение плотности электронов в филаменте ведет также к усилению выхода свободных радикалов и повышению вклада повреждений за счет химических реакций.
Следует отметить потенциальную возможность реализации режима стабилизации филамента и в объемной среде небольшой толщины (суспензии). В этом случае будет происходить самофокусировка импульса, которая может быть скомпенсирована процессами дифракции и нелинейной рефракции на плазменной нелинейности, что может привести к формированию оптических пуль. В этом случае из уравнения (1) можно приближенно определить параметры импульса в режиме квазистабилизации [16]. Более детальное рассмотрение модели подобных экспериментов выходит за рамки настоящей работы.
ЗАКЛЮЧЕНИЕ
В настоящей работе предложена биофизическая модель для описания процессов в лазерных филаментов, порожденных интенсивными фемтосекундными импульсами видимого и ближнего ИК диапазонов в живых клетках. На ее основе оценен выход различных типов повреждений ДНК в монослое культуры клеток фибробластов.
Вклад в формирование двунитевых разрывов ДНК, оказывающих наибольшее влияние на жизнеспособность клеток, определяется двумя типами процессов. Первый процесс доминирует с увеличением длины волны (ИК диапазон) за счет приобретения первичными фотоэлектронами в поле импульса достаточной кинетической энергии, достаточной для захвата или выбивания вторичного электрона, что в дальнейшем ведет к диссоциации связей. Второй процесс будет преобладать с уменьшением длины волны (коротковолновая часть видимого диапазона). В этом случае электроны приобретают меньшую кинетическую энергию, более эффективно термализуются и рекомбинируют, а молекулярные повреждения происходят преимущественно в ходе диффузионно-контролируемых химических реакций с продуктами радиолиза воды. По указанным причинам относительная доля более простых повреждений (однонитевые разрывы и поврежденные основания) будет уменьшаться с ростом длины волны импульса. С другой стороны, абсолютное количество повреждений ДНК при заданной интенсивности будет больше на коротких длинах волн в связи с меньшим числом фотонов, затрачиваемых на единичный акт фотоионизации.
Отмеченные особенности взаимодействия лазерных импульсов с клетками могут быть использованы при изучении механизмов радиочувствительности нормальных и опухолевых клеток, путей репарации радиационных повреждений ДНК, а также действия радиозащитных препаратов как более доступная альтернатива источникам плотно-ионизирующих излучений, формирующих трековые структуры, таких как ускоренные протоны и многозарядные ионы.
About the authors
A. N. Bugay
Joint Institute for Nuclear Research
Author for correspondence.
Email: bugay@jinr.ru
Russian Federation, Dubna
References
- Blázquez-Castro A., Fernández-Piqueras J., Santos J. // Front. Bioeng. Biotechnol. 2020. V. 8. Art. No. 580937.
- Kong X, Wakida N.M., Yokomori K. // Front. Phys. 2021. V. 8. Art. No. 597866.
- Vogel A., Noack J., Huttman G. et al. // Appl. Phys. B2005. V. 81. P. 1015.
- Reynolds P., Botchway S.W., Parker A.W. et al. // Mutation Research. 2013. V. 756. P. 14.
- Zalessky A., Fedotov Y., Yashkina E. et al. // Molecules. 2021. V. 26. Art. No. 4027.
- Schmalz M., Liang X.X., Wieser I. et al. // PNAS. 2023. V. 120. Art. No. e2220132120.
- Kyriakou I., Sakata D., Tran H.N. et al. // Cancers. 2022. V. 14. Art. No. 35.
- Couairon A., Mysyrowicz A. // Phys. Reports. 2007. V. 441. P. 47.
- Kondo N.D., Moreno-Barbosa E., Štěphán V. et al. // Phys. Med. Biol. 2021. V. 66. Art. No. 245017.
- Rezaee M., Hunting D.J., Sanche L. // Med. Phys. 2014. V. 41. Art. No. 072502.
- Dong Y., Gao Y., Liy W. et al. // J. Phys. Chem. Lett. 2019. V. 10. P. 2985.
- Келдыш Л.В. // ЖЭТФ. 1964. Т. 47. С. 1945; Keldysh L.V. // Sov. Phys. JETP. 1965. V. 20. P. 1307.
- Rethfeld B. // Phys. Rev. Lett. 1994. V. 92. Art. No.187401.
- Harper J.V., Reynolds P., Leatherbarrow E.L. et al. // Photochem. Photobiol. 2008. V. 84. P. 1506.
- Uematsu N., Weterings E., Yano K. et al. // J. Cell Biol. 2007. V. 177. P. 219.
- Бугай А.Н., Халяпин В.А. // Изв. РАН. Сер. физ. 2022. T. 86. № 1. С. 29; Bugay A.N., Khalyapin V.A. // Bull. Russ. Acad. Sci. Phys. 2022. V. 86. No. 1. P. 13.
Supplementary files




