Stark effect in MoSe2 monolayer heterostructure
- Authors: Chernenko A.V.1, Brichkin A.S.1, Golyshkov G.M.1
-
Affiliations:
- Osipyan Institute of Solid-State Physics of the Russian Academy of Sciences
- Issue: Vol 88, No 2 (2024)
- Pages: 241-246
- Section: New Materials and Technologies for Security Systems
- URL: https://bakhtiniada.ru/0367-6765/article/view/266112
- DOI: https://doi.org/10.31857/S0367676524020132
- EDN: https://elibrary.ru/RRLNPU
- ID: 266112
Cite item
Full Text
Abstract
The effect of a vertical electric field on photoluminescence of a MoSe2 monolayer encapsulated with hexagonal boron nitride is investigated. In the spectra, there is a quadratic shift of the photoluminescence lines of excitons and trions from the applied potential difference, as well as a change in their intensity. It is found that the magnitude of the Stark shift significantly exceeds the theoretically predicted one. It is found that the energy distance between the trion and exciton lines in the spectra varies with the magnitude of the external field, which is due to the dependence of the density of free charge carriers in the monolayer on the field. This effect made it possible to determine the density of free charge carriers in the monolayer, which varies with the field and lies in the range from 0.3–3.4⋅1012 cm–2.
Full Text
ВВЕДЕНИЕ
Приложение перпендикулярного плоскости гетероструктур электрического поля является эффективным инструментом, позволяющим менять их свойства, в частности, плотность свободных носителей заряда, энергии связи экситонов, трионов, положение линий в спектре.
Влияние вертикального электрического поля на свойства экситонов в свободных и инкапсулированных монослоях дихалькогенидов переходных металлов (ДПМ) исследовалось в ряде работ [1–4]. Оказалось, что величина поляризуемости экситонов, найденная в этих работах, характеризуется достаточно большим разбросом. В некоторых случаях величина восприимчивости на порядок превышала теоретически вычисленное значение [1, 2]. Объяснялось это тем, что плотность носителей заряда в монослоях существенно зависит от приложенного поля. Она экранирует внешнее электрическое поле, изменяет силу кулоновского взаимодействия и, как следствие, энергии связи экситона и триона. Такое качественное объяснение требует дополнительных исследований хотя бы потому, что экранирование свободными носителя предполагает меньшую, чем расчетная, величину штарковского сдвига, что не согласуется с экспериментом.
Для изучения влияния экранирования свободными электронами внешнего поля на свойства экситонов и трионов, были предприняты измерения эффекта Штарка в гетероструктуре на основе монослоя MoSe2, инкапсулированного гексагональным нитридом бора (hBN).
МЕТОДИКА ЭКСПЕРИМЕНТА
Образец представлял собой гетероструктуру hBN-MoSe2-hBN, в которой монослой MoSe2 помещался между слоями hBN. Инкапсулированные слои, в свою очередь, помещались между нижним слоем графита и верхним слоем графена (рис. 1), выполняющими роль обкладок конденсатора, к которым прикладывалась разность потенциалов.
Рис. 1. Cхема структуры с контактами для приложения вертикального электрического поля (а). Фотография образца с контурами составляющих его слоев, которые выделены цветовыми линиями (толщины слоев: графит 3 нм, нижний слой hBN100 нм, монослой MoSe2 0.3 нм, верхний hBN10 нм, многослойный графен 1 нм) до напыления контактов (б)
Образец изготавливался методом механической эксфолиации слоев hBN, монослоя MoSe2, графита и графена на промежуточную подложку полидиметилсилоксана с помощью скотча [5]. Для изготовления слоев использовался коммерческий материал фирмы HQgraphene, для сборки гетероструктур использовалась система переноса той же фирмы. Из всего набора слоев hBN подбирались слои требуемой толщины, схожей формы и размеров с выбранными для данной гетероструктуры монослоями MoSe2, которые последовательно собирались на подложке SiO2(285 нм)/Si. Электрические контакты были изготовлены с помощью оптической литографии и напыления слоев Cr(50 нм)/Au (300 нм).
Измерения фотолюминесценции (ФЛ) проводились при нерезонансном возбуждении одномодовым лазером с длиной волны 532 нм, который фокусировался в пятно размером ~3 мкм в диаметре. Положение пятна лазерного возбуждения на образце контролировалось с помощью прецизионной двухкоординатной пьезоподвижки с точностью до 1 мкм.
Напряжение на контакты подавалось с помощью аккумулятора, снабженного делителем напряжения. Ток утечки при любом приложенном напряжении (до 8 В) не превышал 0.1 мкА.
Измерения ФЛ проводились в проточном криостате в диапазоне температур 10–300 К. Для записи спектров использовался однорешеточный монохроматор, сигнал детектировался охлаждаемой ПЗС-камерой.
РЕЗУЛЬТАТЫ
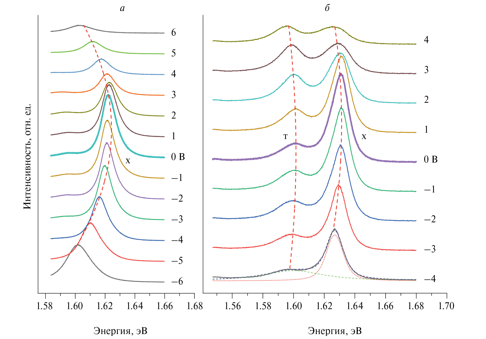
В спектрах ФЛ при низких температурах наблюдаются две основные линии (рис. 2а и 2б), которые соответствуют ФЛ экситона (X) и отрицательно заряженного триона (T) в монослое MoSe2. Линия экситона присутствует в спектре во всех точках монослоя и при всех температурах вплоть до комнатной, в то же время линия триона может и не наблюдаться в спектре, как это показано на рис. 2а. Кроме того, линия триона заметно слабеет при повышении температуры и исчезает из спектра при T~100 K (рис. 3).
Рис. 2. Спектры ФЛ в двух разных точках образца с одиночной линией экситона (Х) (а), с двумя линиями, экситона (Х) и триона (Т) (б) при разных значениях Vg, при T = 13 K и плотности мощности W = 15.6 кВт/см2
Рис. 3. Серия спектров ФЛ, записанных в диапазоне температур 13–136 K, при постоянной плотности лазерного возбуждении W = 15.6 кВт/см2 при Vg = 0 В
На рис. 4 представлены штарковские сдвиги линий ФЛ экситона для двух точек образца. На рис. 4а показана зависимость для случая, когда в спектре наблюдается только линия экситона, и на рис. 4б – для случая, когда в спектре присутствует линия триона.
Рис. 4. Штарковские сдвиги линий ФЛ экситона в отсутствие триона (а) и при наличии триона (б) при температуре T = 13 K и постоянной накачке. Сплошными линиями отмечены подгоночные кривые, соответствующие выражению ΔE = (–1/2) αF2 + E0, где E0 константа. Черным и красным цветами отмечены результаты, полученные для разного направления изменения электрического поля
Результаты измерения штарковского сдвига представлены для обоих направлений изменения электрического поля (от подложки к поверхности и наоборот), поскольку наблюдается гистерезис в поведении линий ФЛ. При разных направлениях развертывания вертикального электрического поля, положение линий ФЛ в спектрах могут отличаться на величину вплоть до 4 мэВ при одном и том же Vg.
Присутствие линии ФЛ в спектре позволило оценить энергию связи триона, которая определялась как разность энергий между положениями линий экситона и триона в спектрах, и определить зависимость расстояния между максимумами линий экситона и триона от величины и направления вертикального электрического поля. Оказалось, что при приложении электрического поля в одном направлении это расстояние растет, тогда как в противоположном направлении она уменьшается (рис. 5).
Рис. 5. Зависимость энергетического интервала ET–X (V) между линиями триона T и экситона X от разности потенциалов на обкладках конденсатора Vg, полученная при T = 13 К и постоянной плотности лазерной накачки
ОБСУЖДЕНИЕ
Измерения эффекта Штарка экситонов и трионов в неинкапсулированных слоях ДПМ представлены в большом количестве работ [1–4]. Было установлено, что энергетический сдвига линии ФЛ экситона квадратично зависит от напряженности поля. Это следствие отсутствия среднего дипольного момента у экситонов в монослое в нулевом поле. Действительно изменение энергии экситона в поле , где Ei и Ef – энергии начального и конечного состояний. Первый член в этом выражении равен нулю в силу симметрии. Второй член в выражении для ΔE пропорционален квадрату матричного элемента межзонных дипольных оптических переходов. Главный вклад во второй член дают переходы между валентной зоной и зоной проводимости. Такая же зависимость наблюдалась ранее для экситонов в квантовых ямах [6]. Квадратичный штарковский сдвиг принято записывать в виде ΔE= –1/2 αF2, где α – поляризуемость.
Величина штарковского сдвига экситона ΔE в монослоях ДПМ оценивалась теоретически в работе [7]. Согласно этой работе, поляризуемость α = 2·10–18 эВ(м/В)2, что на 2 порядка меньше найденного нами в эксперименте. Заметно большее расчетной значение восприимчивости было также найдено в работах [1, 2] По мнению этих авторов, это связано с экранированием внешнего поля свободными носителями заряда. Однако экранирование должно было бы привести к уменьшению штарковского сдвига линии ФЛ, тогда как наблюдается обратная картина. Аномально большая величина штарковского сдвига, скорее всего, связана с фотодопированием монослоя ДПМ. Кроме того, нельзя исключать, что заряд распределен не только в слоях графита, служащих проводящими электрическими контактами, но и внутри слоев hBN, что приводит к тому, что эффективная толщина этих слоев меньше геометрической, а эффективное поле больше.
Номинальная емкость нашего конденсатора, образованного слоями графита (графена), hBN и MoSe2 C = (εε0 S)/d; ε0 = 8.85 ⋅ 10–12 Φ/м; εhBN = 3.76; εMoSe2 = 7.4 [8]; d = 100 + 10 нм, откуда . Плотность электронов в конденсаторе на 1 В: = 1.6 × 109 см–2/В, откуда при = 6.4 × 109 см–2.
Наряду с штарковским сдвигом линий ФЛ, в спектрах наблюдается эффект, который связан со свободными носителями заряда в монослое: изменение расстояния между линиями ФЛ триона и экситона. Это изменение, представленное на рис. 5, составляет 5 мэВ при изменении напряженности поля на обкладках с –200 до 200 кВ/см. Данная величина находится в согласии с результатами работы [9], где наблюдается существенное уменьшение расстояния между линиями триона и экситона вплоть до полного исчезновения линии триона из спектра.
Причиной этого эффекта является зависимость положения линии ФЛ триона от ферми-уровня электронного газа. Действительно, как показано в [9], расстояние между максимумами линиями ФЛ экситона и триона связаны соотношением: , где – расстояние между линиями ФЛ экситона и триона в нулевом поле. , где gν = 2 – степень вырождение электронных состояний. Взяв m = 0.5m0, получим значение ферми-энергии по отношению ко дну зоны проводимости:
.
Отсюда
.
Расстояние между уровнями экситона и триона в поле меняется как [9]:
.
Поэтому и .
Представленное на рис. 5 изменение ΔEX – T достигает 5 мэВ, следовательно, соответствующее изменение плотности электронов Δn = 3.4 ⋅ 1012 см–2. При использованном диапазоне напряжения Vg от –4 В до +4 В, точка нейтральности, то есть такая, где линия ФЛ триона пропадает из спектра, не достигается.
Воспользовавшись результатами статьи [9], а именно зависимостью ΔEX – T (Vg) от плотности электронов на рис. S1, получим, что при Vg = 0 n ≈ 2 ⋅ 1012 см–2, а плотность электронов при изменении Vg в диапазоне от –4 до 4 В меняется от 0.3 ⋅ 1012 до 3.7 ⋅ 1012 см–2. Таким образом, встроенное поле присутствует в образце при нулевой разности потенциалов на обкладках конденсатора.
Столь высокая плотность электронов в монослое, видимо, является следствием его фотодопинга и причиной того, что штарковский сдвиг линий экситона и триона превосходит оценки, полученные из величины поля конденсатора [7]. Нельзя исключать и того, что заряд локализован не только в слое графита (графена), образующего обкладки конденсатора, но и распределен внутри слоя hBN. В этом случае эффективная толщина слоя hBN может быть существенно меньше номинальной.
В работе [4] наблюдалась аномальная зависимость величины штарковского сдвига от поля, а именно отклонение его от квадратичной зависимости вблизи Vg = 0. Такая особенность в поведении штарковского сдвига объяснялась уменьшением энергии связи экситона под действием электрического поля. Полученные экспериментальные результаты не демонстрируют такой зависимости.
Линия триона пропадает из спектра с ростом температуры, как это показано на рис. 3, при T > 100 K. Эта температура существенно меньше энергии связи триона ET ≈ 28 мэВ. Видимо, исчезновение линии триона из спектра вызвано не тепловой диссоциацией трионов, а уменьшением плотности двумерных электронов из-за туннелирования их в барьеры с ростом температуры.
Наблюдаемый в эксперименте гистерезис при переключении направления электрического поля (см. рис. 5) наблюдался ранее в работе [2]. Гистерезис также многократно наблюдался в транспортных измерениях в структурах, содержащих слои графена. Было предложено несколько механизмов, которые могут приводить к такого типа гистерезису: (1) туннелирование заряда из графена в монослой через hBN, (2) фотоиндуцированное допирование из-за того, что в слое hBN есть примеси, которые под воздействием лазерного излучения ионизуются и высвобождают заряд, скапливающийся в монослое, (3) влияние воды, попавшей на интерфейс графен-подложка, поскольку молекулы воды имеет ненулевой дипольный момент, выстраиваемый электрическим полем [10–14], наиболее вероятным представляется механизм (3).
ЗАКЛЮЧЕНИЕ
Выполнены измерения эффекта Штарка на образце, содержащем инкапсулированный hBN монослой MoSe2 при приложении вертикального электрического поля. Наблюдается квадратичный штарковский сдвиг линий ФЛ, как экситона, так и триона. Установлено, что величина поляризуемости α заметно превосходит теоретически предсказанное значение. Наиболее вероятным объяснением такой большой поляризуемости является фотодопирование структуры, что значительно увеличивает напряженность электрического поля в монослое. Найдено, что расстояние между линиями экситона и триона уменьшается с полем на 5 мэВ при изменении внешнего поля от –200 до 200 кВ/см2, что связано с изменением плотности электронного газа на ∆n = 3 ⋅ 1012 см–2. В зависимости штарковского сдвига линий от вертикального поля наблюдается гистерезис от направления электрического поля, который может быть вызван несколькими причинами, но наиболее вероятной является попадание молекул воды между подложкой и слоем графита.
Работы была выполнена в рамках темы государственного задания ИФТТ РАН.
About the authors
A. V. Chernenko
Osipyan Institute of Solid-State Physics of the Russian Academy of Sciences
Author for correspondence.
Email: chernen@issp.ac.ru
Russian Federation, Chernogolovka
A. S. Brichkin
Osipyan Institute of Solid-State Physics of the Russian Academy of Sciences
Email: chernen@issp.ac.ru
Russian Federation, Chernogolovka
G. M. Golyshkov
Osipyan Institute of Solid-State Physics of the Russian Academy of Sciences
Email: chernen@issp.ac.ru
Russian Federation, Chernogolovka
References
- Ross J.S., Wu S., Wu H. et al. // Nature Commun. 2013. V. 4. P. 1474.
- Roch J.G., Leisgang N., Froehlicher G. et al. // Nano Lett. 2018. V. 18. P. 1070.
- Klein J., Wierzbowsk J., Regler A. et al. // Nano Lett. 2018. V. 18. P. 1070.
- Abraham N., Watanabe K., Taniguchi T., Majumdar K. // Phys. Rev. B. 2021. V. 103. No. 7. Art. No. 075430.
- Бричкин А.С., Голышков Г.М., Черненко А.В. // ЖЭТФ. 2023. Т. 163. P. 852; Brichkin A.S., Golyshkov G.M., Chernenko A.V. // JETP. 2023. V. 136. P. 760.
- Miller D.A.B., Chemla D.S., Damen T.C. et al. // Phys. Rev. B. 1985. V. 32. P. 1043.
- Pederson T.G. // Phys. Rev. B. 2016. V. 94. Art. No. 125424.
- Laturia A.M., Van de Put M., Vandenberghe W. et al. // NPJ2D Mater. Appl. 2018. V. 2. Art. No. 6.
- Chernikov A., van der Zande M.A., Hill H.M. et al. // Phys. Rev. Lett. 2015. V. 115. No. 2. Art. No. 126802.
- Sup Choi M., Lee G.H., Yu Y.J. et al. // Nature Commun. 2013. V. 4. P. 1624.
- Wang H., Wu Y., Cong C. et al. // ASC Nano. 2010. V. 4. P. 7221.
- Epping A., Banszerus L., Guettinger J. // J. Phys. Cond. Matter. 2018. V. 30. Art. No. 205001.
- Ju L., Velasco J., Huang E. et al. // Nature Nanotechnol. 2014. V. 9. P. 348.
- Lochmann T., von Klitzing K., Smet J.H. // Nano Lett. 2009. V. 9. P. 1973.
Supplementary files







