Control of the light polarization in ferromagnetic diode structures InGaAs/GaAs/δ-Mn
- Authors: Zaytsev S.V.1
-
Affiliations:
- Institute of Solid-State Physics of the Russian Academy of Sciences
- Issue: Vol 88, No 2 (2024)
- Pages: 236-240
- Section: New Materials and Technologies for Security Systems
- URL: https://bakhtiniada.ru/0367-6765/article/view/266111
- DOI: https://doi.org/10.31857/S0367676524020125
- EDN: https://elibrary.ru/RROJAK
- ID: 266111
Cite item
Full Text
Abstract
Electric-field influence on the polarization of the quantum well photoluminescence is studied in the diode structures InGaAs/GaAs/δ-Mn with narrow GaAs spacer dS = 2–5 nm at small magnetic field. Weakening of the circular polarization degree with increasing electric-field evidence about significant contribution of the stationary mechanism of the carriers’ polarization due to their exchange coupling with a nearby ferromagnetic δ-Mn-layer.
Full Text
ВВЕДЕНИЕ
После открытия полупроводниковых ферромагнитных (ФМ) соединений (Ga, Mn)As с температурой Кюри TC ~ 170 K при оптимальных концентрациях марганца xMn ~ 5–8 ат.%, предпринималось множество попыток интегрировать их в различные оптоэлектронные устройства [1]. Однако прямое внедрение магнитных ионов Mn в квантовую яму (КЯ) – активную область большинства приборов на основе III–V соединений приводит к гашению фотолюминесценции (ФЛ) при xMn > 0.05 ат.%, что связано с дефектами, возникающими при низкотемпературном росте легированных атомами Mn слоев (In, Ga)As. Высокотемпературный рост приводит к распаду твердого раствора и появлению ФМ кластеров MnAs или MnxGa1-x [1], что не позволяет равновесно растить слои GaAs: Mn с xMn > 0.1 ат.%. В работе [2] была предложена гибридная структура ферромагнетик-полупроводник. В настоящее время имеется несколько удачных реализаций подобных ФМ наноструктур на основе GaAs, в которых КЯ отделена от ультратонкого ФМ слоя магнитной примеси марганца (δ-Mn-слоя) туннельно-прозрачным узким спейсером GaAs толщиной dS = 2–10 нм [3–5]. Заметная степень циркулярной поляризации ФЛ PC ~ 10–30% в таких ФМ структурах достигается ниже температуры Кюри TC ~ 35 К уже в слабом внешнем магнитном поле B ~ 0.1 Тл, а зависимость PC(B) повторяет поведение намагниченности ФМ слоя и показывает гистерезис поляризации, тогда как в немагнитных структурах PC < 1% вплоть до B = 5 Тл [5, 6]. Долгое время общепринятой являлась модель обменного p-d взаимодействия дырок в КЯ со спинами магнитной примеси в туннельно-близком ФМ слое [1–4], что должно приводить к существованию равновесной спиновой поляризации носителей в КЯ. Как следствие, циркулярная поляризация ФЛ также поляризована. Однако в экспериментах с импульсным возбуждением [5, 6] были получены данные, указывающие на альтернативный, динамический механизм поляризации, при этом PC(t) практически линейно нарастает со временем в течение импульса свечения (рис. 1а). В теоретической работе [7] был обоснован механизм развития динамический спиновой поляризации электронов в КЯ вследствии их спин-зависимого захвата на поляризованные донорные состояния междоузельного Mn внутри ФМ δ-слоя. Впоследствии в работе [8] было показано, что в структурах с узким спейсером dS ≤ 3 нм одновременно работают оба режима поляризации носителей: (i) динамический спин-зависимый туннельный захват на дефекты в соседнем δ-слое Mn и (ii) статический равновесный p-d обмен дырок с этим же ФМ δ-Mn-слоем. Поэтому исследование механизмов и закономерностей спиновой поляризации в ФМ структурах является важным направлением в современной спинтронике.
Рис. 1. Схема диодной структуры n-GaAs/InGaAs/GaAs/δ-Mn/GaA (а). Пример расчета зонной схемы структуры #1 с КЯ и отделенным от нее акцепторным δ-Mn-слоем высокой плотности (б) (детали см. в работе [11])
В настоящей работе исследована возможность управления поляризацией излучения светодиодных структур InGaAs/GaAs/δ-Mn посредством внешнего электрического напряжения в слабом постоянном магнитном поле. Установлено ослабление величины циркулярной поляризации с ростом приложенного напряжения, что подтверждает существенный вклад стационарного механизма поляризации носителей вследствие их обменной связи с δ-Mn-слоем в структурах с узким спейсером.
УСЛОВИЯ ЭКСПЕРИМЕНТА
Исследованные светодиодные структуры с КЯ GaAs/InGaAs/GaAs и пространственно-близким δ-Mn-слоем были выращены комбинированным методом металлорганической гидридной эпитаксии (МОСГЭ) и лазерного распыления [4, 8]. Общая схема структуры приведена на рис. 1а. Структуры содержат слой КЯ InхGa1-хAs (х = 0.1 – 0.2) толщиной 10 нм и спейсерный слой GaAs dS = 2 – 5 нм между КЯ и δ-Mn-слоем (см. табл. 1). Верхний покровный слой GaAs имел толщину ~ 30 нм. На последнем этапе методом электронно-лучевого осаждения наносились тонкий слой диэлектрика SiO2 (толщина ~ 1 нм) и тонкая полупрозрачная пленка золота (толщина ~ 20 нм) для формирования верхнего электрического контакта. Для сравнения была выращена структура #3 с пленкой золота непосредственно на покровном слое GaAs (без слоя SiO2) для создания контакта Шоттки. К обратной стороне структур формировался базовый омический контакт путем искрового вжигания Sn фольги (для n-GaAs). Номинальная толщина δ-Mn-слоя составляла QMn ≈ 0.3 монослоя (МС), что соответствует чрезвычайно высокой поверхностной плотности NMn ионов Mn (в GaAs 1 МС = 6.3·1014 см–2). В силу δ-легирования акцепторными слоями δ-Mn и δ-C в таких структурах КЯ содержит 2D-газ с высокой концентрацией дырок p ~ 1012 см-2 при низких температурах T ~ 4 K [16, 19]. Структура #1 дополнительно имела нижний δ-C-слой ниже КЯ для повышения концентрации дырок. Отметим, что в силу легирования подложки в диодных структурах невозможны транспортные измерения в плоскости и прямое определение концентрации носителей в КЯ.
Таблица 1. Параметры исследованных структур.
Номер структуры | спейсер dS, нм | содержание индия в КЯ, x | ростовой номер |
1 | 3 | 0.2 | 4840 |
2 | 2 | 0.1 | 5168 |
3 | 5 | 0.1 | 5169 |
На полученных структурах исследовались зависимости степени циркулярной поляризации ФЛ от внешнего электрического напряжения в постоянном слабом магнитном поле. Постоянное электрическое напряжение прикладывалось между пленкой золота (верхний контакт) и легированной подложкой (рис. 1). Магнитное поле было направлено перпендикулярно поверхности структур (геометрия Фарадея). ФЛ возбуждалась диодным лазером мощностью PL = 40 мВт (длина волны λL = 640 нм) со стороны полупрозрачной пленки Au, а регистрировалась со стороны подложки с помощью CCD-камеры на монохроматоре со спектральным разрешением ~ 0.05 мэВ. Для возбуждения всегда использовался линейно-поляризованный лазер для исключения эффектов оптической ориентации. Сфокусированное на образце лазерное пятно имело диаметр ~100 мкм. Циркулярно-поляризованные ФЛ исследовались стандартным образом с использованием линейного поляризатора и четвертьволновой пластинки. Степень циркулярной поляризации определялась как PC(B) = (I+ – I–) (I+ + I–), где I+(I–) – интенсивности компонент с правой (левой) поляризацией, полученные путем интегрирования части спектра, соответствующей оптическому переходу в КЯ. Измерения циркулярной поляризации ФЛ были выполнены в криостате со сверхпроводящим соленоидом в жидкого гелии под откачкой в слабом магнитном поле B = 0.3 Тл при температуре T ≈ 2 К.
ОБСУЖДЕНИЕ ЭКСПЕРИМЕНТАЛЬНЫХ РЕЗУЛЬТАТОВ
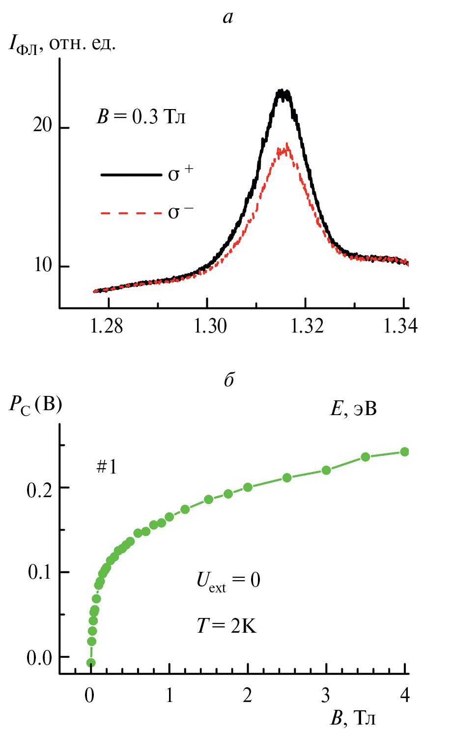
На рис. 2а показана низкоэнергетическая часть спектра ФЛ (ниже межзонных переходов в барьере GaAs) при низкой температуре T = 2 K для структуры #1 (спейсер dS = 3 нм). Линия КЯ отвечает излучательной рекомбинации фотовозбужденных электронов, релаксировавших в КЯ, и дырок, находящихся в КЯ в силу δ-легирования акцепторными слоями δ-Mn и δ-C. Полуширина линий ФЛ более 10 мэВ, что свидетельствует о высокой степени беспорядка в КЯ, присущей структурам, выращенным методом газофазной эпитаксии. Во внешнем магнитном поле линия КЯ изучаемых структур с ФМ δ-Mn-слоем частично поляризована (рис. 2а).
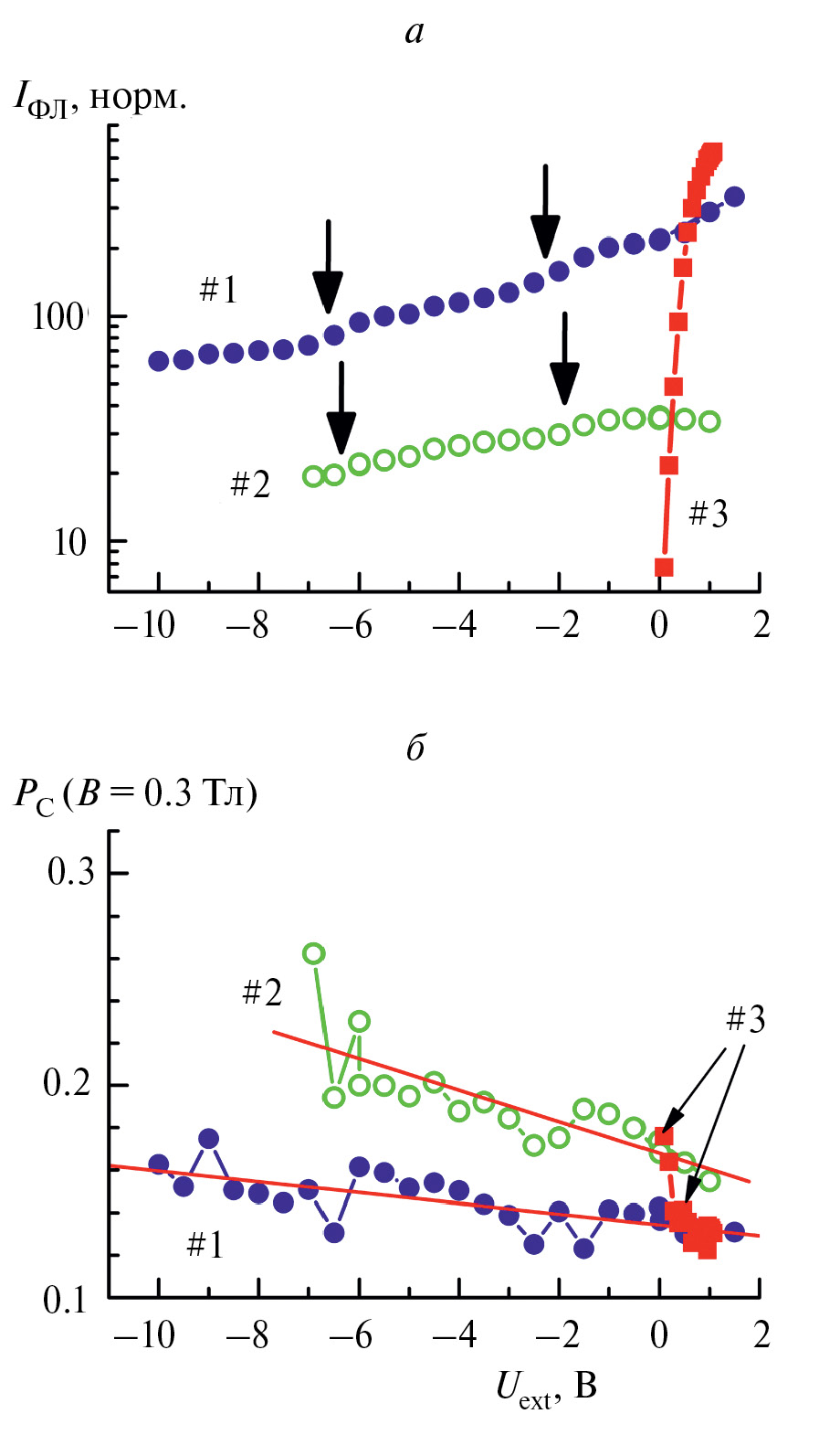
Рис. 2. Циркулярно-поляризованные спектры ФЛ структуры #1 при B = 0.3 Tл и внешнем электрическом напряжении Uext = 0, T = 2 K (а). Зависимость степени циркулярной поляризации PC(Uext) для линии КЯ структуры #1 при Uext = 0 и T = 2 K (б)
Магнитополевые зависимости степени циркулярной поляризации PC(B) оптического перехода в КЯ имеют два характерных участка (рис. 2б): участок быстрого роста в малых полях B = 0 – 0.2 Тл и участок значительно более медленного изменения в высоких полях B > 0.3 Tл. Такая зависимость характерна для структур GaAs/δ-Mn с осью легкого намагничивания ФМ δ-Mn-слоя в плоскости КЯ, а поле BO ~ 0.3 Tл соответствует полному выходу намагниченности δ-слоя из плоскости и повороту ее в нормальное положение [1, 3, 4]. Значение PC(BO) ~ 5–30% в структурах с δ-слоем Mn существенно выше, чем в контрольных немагнитных структурах, в которых PC(B) < 1% вплоть до B = 5 Tл [3, 4]. На начальном этапе исследований считалось, что сильная циркулярная поляризация оптического перехода в этих структурах обусловлена спиновой поляризацией дырок в КЯ, возникающей в результате их обменного p-d взаимодействия с ионами Mn в δ-слое. Эффективность такого обменного взаимодействия определяется перекрытием волновых функций, концентрацией дырок и атомов Mn в δ-слое [3–5]. Зависимость PC(BO) от ширины спейсера dS была также детально изучена в работе [9]. Как и следовало ожидать для туннельной связи дырок из КЯ с близким ФМ δ-слоем Mn, увеличение dS ведет к быстрому падению PC(BO). С другой стороны, уменьшение спейсера до dS = 2 – 3 нм приводит к сильному подавлению интенсивности ФЛ, что связано с диффузионным проникновением атомов Mn в КЯ при росте, поэтому в таких структурах для эффективного возбуждения ФЛ приходится использовать импульсные лазеры. В этих экспериментах с импульсным возбуждением [5, 6] были получены данные, указывающие на альтернативный, динамический механизм поляризации, когда поляризация PC(t) нарастает практически линейно со временем в течение импульса свечения КЯ, стартуя с PC(t = 0) = 0. Фактически, наблюдение в эксперименте PC(t = 0) ≈ 0 в начальный момент после лазерного импульса свидетельствует о том, что резидентные дырки в КЯ в фоновом режиме деполяризованы, что противоречит стационарной модели спиновой поляризации носителей в КЯ посредством обменного взаимодействия с ионами Mn в δ-слое. Теоретически динамический механизм спиновой поляризации носителей в КЯ как следствие спин-зависимого туннельного ухода фотовозбужденных электронов из КЯ и их рекомбинации на поляризованных примесных донорных состояниях междоузельного MnI в ФМ слое был рассмотрен и обоснован в работе [7]. В то же время оказалось, что при определенном наборе параметров структуры можно наблюдать одновременное проявление статического и динамического механизмов поляризации в структурах с узким спейсером dS = 3 нм [8].
Поскольку внешнее электрическое напряжение непосредственно влияет на интенсивность и поляризацию ФЛ, изменяя перекрытия волновых функций электронов и дырок в КЯ [10], было исследовано влияние электрического напряжения на эти параметры излучения в структурах δ-Mn-слоем. На рис. 3 показаны зависимости интенсивности ФЛ IФЛ(Uext) и степени циркулярной поляризации PC(Uext) от внешнего электрического напряжения Uext для линии КЯ в поле B = 0.3 Tл. Из рис. 3a видно, что интенсивность IФЛ(Uext) во всех структурах монотонно растет с ростом Uext, при этом наиболее сильный рост происходит в структуре #3 с контактом Шоттки. Зависимости поляризации от Uext в целом демонстрируют также монотонное поведение – падение PC(Uext) с ростом Uext (линейная аппроксимация на рис. 3б). Например, в структуре #2 поляризация падает от PC ~ 0.25 до ~ 0.16 при изменении Uext от – 7 до + 1.5 вольт. При Uext > 1.5 в этих структурах происходит инжекция дырок и возникает электролюминесценция [9]. Электрическое напряжение при измерениях ограничивалось так, чтобы протекающий ток не превышал значения 30 мА во избежание пережигания диода.
Рис. 3. Зависимости интенсивности ФЛ от внешнего электрического напряжения Uext для всех структур при T = 2 K и B = 0.3 Tл (а). Стрелками отмечены особенности (см. текст). Зависимости степени циркулярной поляризации PC(Uext) для линии КЯ в поле B = 0.3 Tл (б). Прямые линии для структур #1 и #2 – результаты линейной аппроксимации
Переходя к обсуждению полученных результатов, необходимо обратиться к зонной схеме структуры с положительно заряженным акцепторным δ-Mn-слоем (рис. 1б). Детали расчета зонной схемы таких структур см. в работе [11]. Из рисунка видно, что наличие δ-слоя высокой плотности (NMn ~ 2 ∙ 1014 см-2) приводит к сильному перекосу зон вблизи КЯ так, что две первые волновые функции дырок (hh1 и hh2) локализованы полностью в δ-слое. В КЯ локализован только последний заполненный уровень дырок hh3 с концентрацией p ~ 6 ∙ 1011 см-2, а его волновая функция существенно сдвинута в сторону δ-Mn-слоя. Для фотовозбужденных электронов наоборот, волновая функция e1 сдвинута в противоположную сторону, так что их перекрытие с δ-слоем на два порядка слабее [11]. Поскольку разрыв зон для дырок меньше, а их масса значительно больше, для них эффект асимметрии выражен сильнее (рис. 1б). Отметим, что расчеты зонной схемы структур с акцепторным δ-Mn-слоем высокой плотности весьма чувствительны к плотности ионов Mn и степени самокомпенсации акцепторных и дефектных донорных состояний Mn в δ-слое [11], однако эффект сильной асимметрии зон возле КЯ является их общей чертой. Положительный прирост электрического напряжения ΔUext > 0 приводит к движению вниз обеих зон ΔEc,v = e×ΔUext < 0 со стороны верхнего контакта, к симметризации волновых функций электронов и дырок в КЯ и к усилению их взаимного перекрытия, что подтверждает расчет. Следовательно, интенсивность основного перехода в КЯ (e1-hh3) должна возрастать, что и наблюдается в эксперименте (рис. 3а).
Поляризация основного перехода в КЯ обусловлена спиновой поляризацией носителей в КЯ и в модели стационарного механизма обменного p-d взаимодействия определяется перекрытием волновых функций дырок со спинами магнитной примеси в ФМ δ-слое, которое ослабляется при ΔUext > 0. В эксперименте поляризация PC(Uext) с ростом Uext падает (рис. 3б), что свидетельствует о значительном вкладе этого механизма поляризации дырок в обменном поле близлежащего δ-Mn-слоя. Что касается альтернативного динамического механизма поляризации [7], то получаемое в расчете усиление перекрытия волновых функций электронов с δ-Mn-слоем при ΔUext > 0 в эксперименте не приводит к ожидаемому в этой модели росту PC(Uext). Это указывает на слабость данного механизма поляризации, обусловленного спин-зависимым уходом фотовозбужденных электронов из КЯ на поляризованные донорные состояния междоузельного Mn в ФМ δ-слое. Таким образом, знак изменения поляризации при ΔUext > 0 позволяет определить доминирующий механизм поляризации ФЛ в светодиодных структурах InGaAs/GaAs/δ-Mn с узким спейсером dS = 2–5 нм.
Интересно, что наиболее сильное изменение PC(Uext) происходит также в структуре #3 при низком напряжении Uext → 0 (рис. 3б). В этой структуре при U ≤ 0.19 В поляризация значительно больше, чем при U > 0.25 В, однако низкий уровень сигнала ФЛ и сложности вычитания фона приводят к большой ошибке для PC (≥ 50%), что указывает на необходимость более тщательных измерений в этом диапазоне. По-видимому, разница в поведении PC(Uext) в структурах с диэлектрическим барьером и с контактом Шоттки связана с разницей зонной схемы двух типов структур и ее изменения под действием электрического напряжения. Отметим, что в зависимостях PC(Uext) имеются некоторые особенности (отмечено стрелками на рис. 3), такие, как сильные шумы (при Uext ≈ –7 и – 2 В в структуре #1) или отклонение от монотонности, которые коррелируют с замедлением роста интенсивности IO(Uext) (при Uext ≈ – 2 В в структуре #2). Предположительно, эти особенности связаны с перестройкой уровней энергии дырок в КЯ с ростом Uext, что требует реалистичных самосогласованных расчетов.
ЗАКЛЮЧЕНИЕ
Таким образом, в светодиодных структурах, содержащих ультратонкий ФМ слой марганца (δ-Mn-слой) и квантовую яму GaAs/InGaAs/GaAs, исследовано влияние электрического напряжения на циркулярную поляризацию люминесценции КЯ. Найдено, что в структурах с узким спейсером dS ≤ 5 нм циркулярная поляризация излучения в постоянном слабом магнитном поле B ~ 0.3 Тл зависит от внешнего электрического напряжения. Возможность такого управления и знак изменения поляризации в зависимости от напряжения свидетельствуют также о значительном вкладе равновесного механизма поляризации носителей в обменном поле близлежащего ферромагнитного δ-слоя Mn.
Автор благодарит М.В. Дорохина и Б.Н. Звонкова за предоставленные образцы.
Работа выполнена в рамках темы государственного задания ИФТТ РАН.
About the authors
S. V. Zaytsev
Institute of Solid-State Physics of the Russian Academy of Sciences
Author for correspondence.
Email: szaitsev@issp.ac.ru
Russian Federation, Chernogolovka
References
- Dietl T., Ohno H. // Rev. Mod. Phys. 2014. V. 86. P. 187.
- Захарченя Б.П., Коренев В.Л. // УФН. 2005. Т. 175. С. 629; Zakharchenya B.P., Korenev V.L. // Phys. Usp. 2005. V. 48. P. 603.
- Myers R.C., Gossard A.C., Awschalom D.D. // Phys. Rev. B. 2004. V. 69. Art. No. 161305(R).
- Зайцев С.В., Дорохин М.В., Бричкин А.С. и др. // Письма в ЖЭТФ. 2009. Т. 90. С. 730; Zaitsev S.V., Dorokhin M.V., Brichkin A.S. et al. // JETP Lett. 2010. V. 90. P. 658.
- Korenev V.L., Akimov I.A., Zaitsev S.V. et al. // Nature Commun. 2012. V. 3. P. 959.
- Akimov I.A., Korenev V.L., Sapega V.F. et al. // Phys. Stat. Solidi B. 2014. V. 251. P. 1663.
- Rozhansky I.V., Denisov K.S., Averkiev N.S. et al. // Phys. Rev. B. 2015. V. 92. Art. No. 125428.
- Зайцев С.В. // Изв. РАН. Сер. физ. 2022. Т. 86. № 4. С. 537; Zaitsev S.V. // Bull. Russ. Acad. Sci. Phys. 2022. V. 86. No. 4. P. 443.
- Zaitsev S.V., Kulakovskii V.D., Dorokhin M.V. et al. // Physica E. 2009. V. 41. P. 652.
- Brum J.A., Bastard G. // Phys. Rev. B. 1985. V. 31. Art. No. 3893.
- Зайцев С.В. // ФНТ. 2012. Т. 38. № 5. С. 513; Zaitsev S.V. // Low Temp. Phys. 2012. V. 38. No. 5. P. 399.
Supplementary files





