Condensates of magnetoexcitations in quantum Hall dielectrics
- Authors: Gorbunov A.V.1, Larionov A.V.1, Kulik L.V.1, Timofeev V.B.1
-
Affiliations:
- Osipyan Institute of Solid-State Physics of the Russian Academy of Sciences
- Issue: Vol 88, No 2 (2024)
- Pages: 200-206
- Section: New Materials and Technologies for Security Systems
- URL: https://bakhtiniada.ru/0367-6765/article/view/266105
- DOI: https://doi.org/10.31857/S0367676524020064
- EDN: https://elibrary.ru/RTIQXO
- ID: 266105
Cite item
Full Text
Abstract
The formation and spreading in real space of dense ensembles of photoexcitations in integer and fractional quantum Hall dielectrics with filling factors ν = 2 and ν = 1/3 is visualized using a high-aperture high-resolution optical system. A comparative analysis of the correlation between the transport properties and the spatial coherence of these ensembles is carried out.
Full Text
ВВЕДЕНИЕ
С появлением высокоподвижных двумерных (2D) систем в квантовых ямах на основе полупроводниковых материалов А3В5 и А2В6 возникли большие надежды на возможность формирования новых экситонных конденсированных состояний. Несомненные успехи в физике 2D экситонов были достигнуты при создании и исследовании неравновесных экситон-поляритонных конденсатов в квантовых ямах, помещенных в брэгговские резонаторы [1]. Экситон-поляритонные конденсаты по своим свойствам близки к лазерным системам из-за существенного смешивания экситонов со светом, поэтому вопрос о возможности конденсации самих 2D экситонов на данный момент остается открытым. Авторы представленной работы развивают новое направление в физике 2D экситонов, реализуя конденсацию возбуждений (магнитоэкситонов) в двумерных электронных системах (2DЭС), помещенных во внешнее квантующее магнитное поле.
Наиболее изученными с точки зрения экспериментальных и теоретических исследований являются триплетные циклотронные магнитоэкситоны (ТЦМЭ) в квантово-холловском диэлектрике (электронный фактор заполнения ν = 2), образованные электронной вакансией (ферми-дыркой) на полностью заполненном нулевом электронном уровне Ландау и возбужденным электроном с перевернутым спином на пустом первом уровне Ландау (их также называют спин-флип экситонами). ТЦМЭ являются долгоживущими композитными бозонами со спином S = 1, время жизни которых достигает миллисекундного диапазона [2]. При температурах T < 1 K и концентрациях nex ~ (1–10)% от плотности квантов магнитного потока в квантово-холловском изоляторе (фермиевской системе) образуется качественно новая магнитоэкситонная фаза, названная в работе [2] магнетофермионным конденсатом. Это состояние является экспериментальным примером конденсации композитных бозонов в пространстве обобщенных импульсов – величин, зависящих как от пространственных координат, так и от их градиентов [3].
Особенностью магнетофермионного конденсата является его способность растекаться из области фотовозбуждения в объем квантово-холловского изолятора на макроскопические расстояния. В работе [2] было продемонстрировано распространение конденсата фактически на весь размер образца: ~3×3 мм2. Первые эксперименты по визуализации растекания [4] показали, что механизм переноса недиффузионный. Во-первых, транспортная длина ТЦМЭ в конденсированном состоянии по крайней мере на три порядка больше, чем длина диффузии магнитоэкситонов в газовой фазе. Во-вторых, пространственный профиль плотности конденсата абсолютно не соответствует гауссовому распределению. При этом экспериментальная оценка скорости перемещения магнитоэкситонов внутри широкого пятна фотовозбуждения дает значение ≥103 см/с [5].
Недавно были определены экспериментальные условия, необходимые для создания плотного ансамбля магнитовозбуждений со спином S = 1 и сверхдлинным временем жизни (спин-магнитогравитоны) еще в одном виде квантово-холловского изолятора – лафлиновской жидкости при электронном факторе заполнения ν = 1/3 [6]. До сих пор это единственное состояние энионной материи, которое подтверждено экспериментально [7, 8]. Настоящая работа посвящена сравнительному анализу переноса магнитовозбуждений в квантово-холловских изоляторах при факторах заполнения ν = 2 и ν = 1/3.
МЕТОДЫ ЭКСПЕРИМЕНТА
В экспериментах исследовались две гетероструктуры, содержащие одиночную, симметрично легированную, квантовую яму GaAs/AlGaAs шириной 18 либо 31 нм с концентрациями электронов в 2D канале ne ≈ 0.8·1011 и 2·1011 см–2 при темновых подвижностях µe ≈ 3.5·106 и 15·106 см2/В·с, соответственно. Образец размером ~3×3 мм2 устанавливался во вставку с жидким 3He, оснащенную оптическим окном, которая, в свою очередь, помещалась в 4He-криостат со сверхпроводящим соленоидом. Измерения проводились при температуре ~0.5 K в магнитном поле до 12 Тл, направленном перпендикулярно плоскости квантовой ямы. Данные получены преимущественно спектроскопическими методами фотоиндуцированного резонансного отражения (ФРО) [9] и фотолюминесценции (ФЛ).
Фотоиндуцированное резонансное отражение
ТЦМЭ в квантово-холловском изоляторе ν = 2 является так называемым «темным» (dark) экситоном, поскольку его излучательная рекомбинация запрещена правилами отбора по спину. Значительный прогресс в изучении темных ТЦМЭ был достигнут благодаря использованию оригинальной экспериментальной методики [9], которая позволяет возбуждать и контролировать параметры ансамбля возбуждений с наименьшей энергией в системе трансляционно-инвариантных спиновых циклотронных экситонов с проекцией спина Sz = +1 [10]. Резонансное отражение света используется для тестирования оптических переходов из валентной зоны в зону проводимости (см. диаграмму в верхней части рис. 1). Известно, что процесс отражения фотона можно интерпретировать как поглощение фотона с последующим переизлучением. Из этого следует, что при тестировании квантово-холловского изолятора (ν = 2) фотоны с энергией, соответствующей переходу “0–0” с нулевого уровня Ландау тяжелых дырок в валентной зоне на нулевой уровень Ландау электронов в зоне проводимости, не могут быть отражены, поскольку все состояния на нулевом электронном циклотронном уровне заняты. При этом все фотоны с энергией, соответствующей переходу «1–1» с первого уровня Ландау тяжелых дырок валентной зоны на первый уровень Ландау электронов зоны проводимости, должны отражаться, поскольку все состояния на первом электронном циклотронном уровне свободны. Если с помощью оптической накачки электроны возбуждаются до более высоких уровней Ландау (nL > 1), то при достаточно низкой температуре естественно ожидать образования нижайших по энергии возбуждений с Sz = +1, то есть ТЦМЭ. Образование ТЦМЭ приводит к уменьшению числа пустых состояний на первом электронном уровне Ландау и одновременно к появлению дырочных состояний на нулевом электронном уровне Ландау. Соответствующий дифференциальный спектр отражения, который представляет собой разницу между спектрами отражения с включенной и выключенной накачкой, можно назвать фотоиндуцированным резонансным отражением (ФРО). В спектре ФРО должны наблюдаться два пика. Во-первых, положительный пик, соответствующий оптическому переходу “0–0” с нулевого циклотронного уровня тяжелых дырок на верхний спиновый подуровень нулевого циклотронного уровня 2D-электронов, ответственный за появление ферми-дырок на нулевом электронном уровне Ландау. Во-вторых, отрицательный пик, соответствующий переходу “1–1” с первого циклотронного уровня тяжелых дырок валентной зоны на первый электронный циклотронный уровень, отвечающий за уменьшение количества незанятых состояний на первом электронном уровне Ландау. Таким образом, измерение ФРО представляет собой косвенный метод оптического тестирования темных ТЦМЭ с использованием оптически разрешенных резонансных переходов между дискретными уровнями Ландау тяжелых дырок в валентной зоне и электронов в зоне проводимости.
Рис. 1. Изображения образца целочисленного квантово-холловского диэлектрика (ν = 2) в свете ФЛ (а) и в свете ФРО на длинах волн λmax (б) и λ2 ≈ λmax – 0.2 нм (в). Ppump = 10 мкВт. T ≈ 0.55 К. Размер стороны кадра ≈310 мкм. Внизу приведены спектры ФЛ и ФРО, зарегистрированные при близких условиях эксперимента. Диаграмма внизу справа иллюстрирует волновые функции и уровни энергии для ТЦМЭ с обобщенными импульсами q ≈ 0 и q ≈ 1 / lB. Красными линиями показаны соответствующие оптические переходы ФРО
Как обычно, в эксперименте удобнее иметь дело со слабым сигналом с небольшой величиной фона, чем с малой разностью двух больших сигналов. Поэтому в основном исследуется дырочная составляющая ТЦМЭ. При этом нужно заметить, что измерение интенсивности ФРО для фотовозбужденных электронов позволяет оценить концентрацию ТЦМЭ по отношению к общей концентрации электронов в 2D-канале. В этом случае можно выполнить правильную нормировку, используя в качестве эталона максимальный сигнал ФРО, наблюдаемый в равновесном состоянии, полагая, что он соответствует максимально возможному количеству состояний на первом уровне Ландау.
Визуализация магнитовозбуждений
Формирование ансамбля неравновесных ТЦМЭ и возбуждение сигнала фотолюминесценции (ФЛ) производилось с помощью одномодового лазерного диода (длина волны λ ≈ 780 нм). Для контроля резонансного отражения использовался перестраиваемый непрерывный полупроводниковый лазер с шириной линии 1 МГц (Toptica DL PRO). Высокая пространственная когерентность последнего затрудняет наблюдение изображения образца в отраженном свете из-за паразитной интерференции и спекл-структуры. Для снижения степени когерентности луч зондирующего лазера фокусировался на поверхность вращающегося матового стекла в пятно, изображение которого проецировалось на поверхность образца. Внутри вставки с 3He была установлена светосильная двухлинзовая проекционная система, с помощью которой лазерное излучение фокусировалось на поверхность исследуемого образца. Минимальный размер пятна накачки мог достигать ≈ 5 мкм. Пятно зондирования заполняло все поле зрения: ~300 мкм. С помощью той же пары линз излучение резонансного отражения и ФЛ выводилось наружу в виде параллельного пучка. Увеличенное изображение образца (×30) проецировалось длиннофокусным объективом (f = 360 мм) на входную щель решеточного спектрометра с охлаждаемой ПЗС-камерой. Для подавления сигнала отражения от поверхности образца использовалась пара скрещенных линейных поляризаторов, помещенных вне криостата: один на входе, в луче зондирующего лазера, а другой на выходе, в отраженном пучке. Для отрезания излучения лазера накачки выведенный из криостата параллельный пучок пропускался через интерференционный светофильтр с шириной полосы Δλ ≈ 10 нм. Одновременно с ФРО регистрировались спектры ФЛ 2DЭС, необходимые для определения функции распределения ТЦМЭ в импульсном пространстве [11, 12].
Измерение пространственной когерентности
Для измерения степени когерентности света, резонансно отраженного от квантово-холлловского изолятора, был использован вариант интерферометра Майкельсона с инвертирующей изображение 90°-призмой, установленной в одном из плеч вместо зеркала. Установка и методика эксперимента близки к описанным в работе [13]. На выходе такого интерферометра формируются два изображения образца, развернутые на 180° друг относительно друга и промодулированные слегка изогнутыми интерференционными полосами, ориентированными параллельно краю призмы.
Как известно (см., например, [14]), интерференция двух волн с интенсивностями I1(r) и I2(r) в общем случае приводит к распределению интенсивности вида:
где r – пространственная координата, а Φ(r) – пространственное распределение разности фаз между интерферирующими волнами. В этом случае степень когерентности определяется абсолютным значением нормированного коррелятора первого порядка |g(1)(r)|, изменяющимся в пределах от 0 (некогерентное излучение) до 1 (когерентное излучение). Коррелятор связан соотношением
с видностью интерференционных полос V = (Imax – Imin) / (Imax + Imin). Зависимость величины |g(1)| от координаты x в плоскости волнового фронта в общем случае можно описать экспоненциальной функцией exp(–|x|/ξ). Поперечная длина пространственной когерентности ξ стремится к нулю в случае некогерентного источника света и к бесконечности в случае когерентного. В используемом интерферометре |x| = 0 на центральной линии, соответствующей нулевому сдвигу δ между изображениями от двух разных плеч, и линейно растет с удалением от этой линии.
При передаче изображений оптической проекционной системой пространственное распределение степени когерентности не является дельта-функцией из-за дифракции на входной апертуре [14]. Для круглого входного зрачка аппаратная функция описывается как g(1)(ν) = 2J1(ν) / ν, где J1(ν) – функция Бесселя первого рода и первого порядка, ν = 2πδ sin α / λ, sin α – числовая апертура оптической системы и λ – длина волны света. Положение первого нуля этой функции определяет оптическое разрешение системы [14]. В нашей установке апертура ближайшей к образцу короткофокусной асферической линзы оценивается равной sin a ≈ 0.5, что обеспечивает разрешение системы ≈1 мкм.
ЭКСПЕРИМЕНТАЛЬНЫЕ РЕЗУЛЬТАТЫ И ИХ ОБСУЖДЕНИЕ
Транспорт магнитовозбуждений
Рассмотрим сначала особенности транспорта магнитовозбуждений в хорошо изученном случае целочисленного квантово-холловского изолятора при ν = 2. Использование в эксперименте проекционной оптической системы с высоким пространственным разрешением привело к обнаружению качественно новых закономерностей растекания конденсата. На рис. 1а показано пятно фотовозбуждения, видимое в свете ФЛ. Рис. 1б иллюстрирует пространственное распределение интенсивности ФРО при настройке длины волны зондирующего лазера на значение λmax, при котором сигнал отражения, регистрируемый спектрально, по интенсивности лазерной линии, максимален. Наблюдается правильное яркое круглое пятно, диаметр которого составляет здесь ~40 мкм. С ростом мощности фотовозбуждения Ppump размер этого пятна постепенно увеличивается и может вырасти в 2–3 раза, но не более. Картина пространственного распределения сигнала резонансного отражения кардинально меняется при отстройке зондирующего лазера в синюю сторону от λmax. При достижении длины волны λ2, меньшей λmax на 0.2–0.3 нм, яркость картины отражения становится максимальной на периферии, по всему полю зрения (рис. 1в).
Из спектров, приведенных в нижней части рис. 1, очевидно, что существует корреляция между длиной волны зондирующего лазера, используемого для наблюдения изображений в свете ФРО, и положением экстремумов в спектре отражения. Объяснить, почему ТЦМЭ могут демонстрировать столь различные пространственные распределения ФРО на разных длинах волн, можно, вспомнив, что ферми-дырка на нулевом уровне Ландау описывается волновой функцией s-типа, тогда как возбужденный электрон на первом уровне Ландау – волновой функцией p-типа. Как следствие, интеграл перекрытия и, соответственно, энергия связи у электрона и ферми-дырки в ТЦМЭ с обобщенным импульсом q ≈ 0 меньше, чем у ТЦМЭ с q ≈ 1 / lB (см. диаграмму на рис. 1) [15]. В результате, в магнитоэкситоне с q ≈ 1 / lB уровни энергии у возбужденного электрона на первом уровне Ландау и ферми-дырки на нулевом уровне Ландау «притягиваются» к уровню Ферми несколько ближе, чем в магнитоэкситоне с q ≈ 0. Поэтому энергия фотона, детектирующего ферми-дырку в ТЦМЭ с q ≈ 1 / lB, несколько выше, чем энергия фотона, детектирующего ферми-дырку в ТЦМЭ с q ≈ 0.
В работе [12] было доказано экспериментально, что именно ТЦМЭ с q ≈ 1 / lB ответственны за быстрый перенос экситонной плотности на большие расстояния. Из результатов, приведенных на рис. 1б, следует, однако, что механизм распространения в пространстве ТЦМЭ с малой величиной обобщенного импульса также далеко не тривиален. Он не имеет ничего общего с диффузией. Распределение плотности ТЦМЭ в пространстве описывается ступенчатой функцией, а пространственный диаметр однородного плато ступени на два порядка величины превосходит длину свободного пробега отдельного ТЦМЭ с близким к нулевому импульсом [2]. Таким образом, можно предположить, что и при малых импульсах транспорт ТЦМЭ имеет коллективный характер. Это наблюдение качественно подтверждает утверждение, сделанное в теоретической работе [16], о том, что при ν = 2 должно существовать два типа конденсированных состояний: одно формируется из ТЦМЭ с q ≈ 0, а второе – это магнитоэкситонный конденсат при q ≈ 1 / lB.
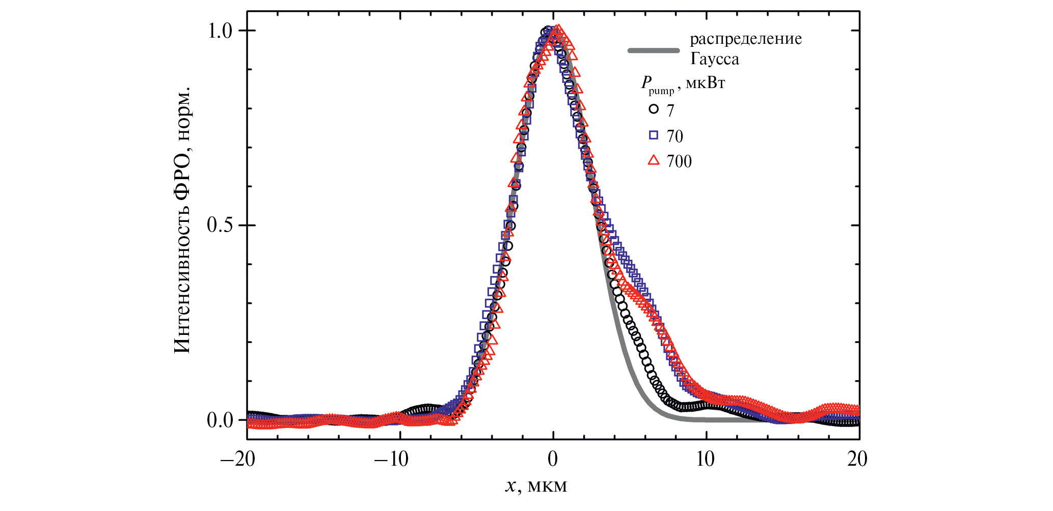
После получения столь подробной информации о транспортных свойствах ТЦМЭ в квантово-холловском изоляторе при ν = 2, были проведены сравнительные исследования нового, недавно обнаруженного конденсированного состояния, состоящего из спин-магнитогравитонов в лафлиновской жидкости при ν = 1/3 [6]. Некоторые свойства этого нового типа конденсата эквивалентны свойствам конденсата ТЦМЭ при ν = 2, а именно: спиновое квантовое число, импульс и сверхбольшие времена релаксации возбуждений. Однако, несмотря на сходство, транспортные характеристики возбуждений при факторе заполнения ν = 1/3 совершенно другие. Фактически при увеличении концентрации возбуждений на два порядка – от одночастичного предела до максимально возможного уровня насыщения лафлиновской жидкости спин-магнитогравитонами – никакого растекания в реальном пространстве не наблюдается (см. рис. 2). Учитывая столь разительный контраст транспортных свойств магнитовозбуждений со спином 1, наблюдаемых в объеме целочисленного и дробного квантово-холловских изоляторов, и принимая во внимание коллективный характер транспорта ТЦМЭ в реальном пространстве, имело смысл сравнить пространственную когерентность плотных ансамблей возбуждений в этих двух случаях.
Рис. 2. Профиль пространственного распределения сигнала ФРО из области фотовозбуждения дробного квантово-холловского изолятора (n = 1/3. Точки – результаты измерений при указанных мощностях накачки/зондирования. Серая кривая – гауссов профиль распределения с радиусом 5 мкм. T ≈ 0.55 К
Пространственная когерентность магнитовозбуждений
На рис. 3 показаны профили интерференционных полос в свете ФРО для двух обсуждаемых случаев квантово-холловских изоляторов. Искомая зависимость |g(1)(δ)| определяется как огибающая знакопеременной функции g(1)(δ)cosΦ(δ), извлекаемой из экспериментальных данных. На рис. 3а приведен результат измерения степени когерентности конденсата спин-флип магнитоэкситонов с q ≈ 0 при факторе заполнения ν = 2. Очевидно, что зависимость |g(1)(δ)|, показанную на этом рисунке, никакой сверткой exp(–|x|/ξ) с аппаратной функцией получить невозможно: при такой ширине центрального пика спадание коррелятора с расстоянием будет происходить гораздо быстрее. Качественно картину можно объяснить, если предположить наличие двух источников излучения: некогерентного с ξ 0.1 мкм и когерентного с ξ = 10 мкм. На рис. 3а красной кривой показан результат суммирования аппаратной функции и ее свертки с экспонентой exp(–|x|/ξ) при ξ = 10 мкм с весом 0.8 и 0.2, соответственно. Корректность полученных данных проверялась путем измерения пространственной когерентности в различных частях образца. Вариации результатов эксперимента по соотношению когерентной и некогерентной частей составляли не более 10%.
Рис. 3. Когерентность ансамблей магнитовозбуждений в целочисленном (а) и дробном (б) квантово-холловских изоляторах. Зеленая линия – профиль интерференционных полос в свете ФРО: |g(1)(δ)cosΦ(δ)|. (a) ν = 2, Ppump = Pprobe = 1 мкВт. Красная линия – взвешенная сумма аппаратной функции и ее свертки с экспонентой при значении ξ = 10 мкм. Синяя линия – функция (0.18/|δ|)0.6. (б) ν = 1/3, Ppump / probe = 80 мкВт. Красная кривая – аппаратная функция, наилучшим образом описывающая центральный пик. T ≈ 0.55 К
Известно, однако, что дальний порядок в однородном 2D бозе-газе невозможен при T >0 [17]. Вместо этого в газе взаимодействующих бозонов происходит переход Березинского–Костерлица–Таулесса (БКТ) с характерным степенным затуханием |g(1)(r)| [18, 19]. Недавно степенной закон спадения |g(1)(r)| на расстояниях до ~40 мкм был экспериментально подтвержден для конденсата внутрирезонаторных экситон-поляритонов в высококачественных GaAs-структурах [13]. Качественно зависимость |g(1)(r)| на рис. 3а очень похожа на ту, что наблюдалась для внутрирезонаторных экситон-поляритонов (b/|x|)a [13]. При имеющейся точности измерений можно утверждать, что в нашем случае a = 0.5–0.7, тогда как согласно теории БКТ показатель степени для двумерного конденсата ограничен неравенством a < 1/4 [18, 19]. Возможные причины количественных расхождений изучались в работах [20, 21]. Очевидно, что наших данных недостаточно, чтобы утверждать, что в исследуемой системе происходит переход БКТ. Однако стоит отметить аналогию между нашими экспериментальными данными и результатами измерений степени когерентности внутрирезонаторных экситонных поляритонов [13], из которой авторы делают вывод о фазовом переходе БКТ.
На рис. 3б приведены результаты интерференционных измерений, характерные для конденсата магнитогравитонов при факторе заполнения ν = 1/3. Данные получены с использованием той же экспериментальной установки и методики измерений, что и в предыдущем случае, при ν = 2. Отметим, что характер распределения |g(1)(r)| остается неизменным в широком диапазоне мощностей накачки. Очевидно, что длина пространственной когерентности света, резонансно отраженного от фотовозбужденной лафлиновской жидкости, заведомо меньше пространственного разрешения ≈ 1 мкм, обеспечиваемого регистрирующей оптической системой.
ЗАКЛЮЧЕНИЕ
Таким образом, можно сделать вывод, что пространственная когерентность исследованных конденсатов магнитовозбуждений коррелирует с их способностью распространяться в реальном пространстве. Конденсат ТЦМЭ в целочисленном квантово-холловском изоляторе ν = 2 с q ≈ 0 обладает высокой пространственной когерентностью, а также способностью растекаться на макроскопические расстояния. Плотный ансамбль спин-магнитогравитонов в лафлиновской жидкости ν = 1/3, напротив, не демонстрирует ни пространственной когерентности, ни заметного растекания. Безусловно, было бы интересно проследить связь между когерентностью и транспортными свойствами ансамблей возбуждений в квантово-холловских системах при факторах заполнения, отличных от 2 и 1/3. Однако на данный момент в целочисленных или дробных квантово-холловских системах не существует факторов заполнения, за исключением ν = 2 и ν = 1/3, при которых можно было бы создавать плотные долгоживущие неравновесные ансамбли возбуждений. О первых оптических исследованиях возбужденного дробного состояния ν = 2/5 сообщалось недавно в работе [22]. Есть вероятность, что фактор заполнения 2/5 в обозримом будущем станет доступен для экспериментальных исследований, подобных проведенным в настоящей работе.
Авторы благодарны В.Д. Кулаковскому за ценные обсуждения полученных результатов. Работа выполнена при поддержке Российского научного фонда (проект № 23-12-00011).
About the authors
A. V. Gorbunov
Osipyan Institute of Solid-State Physics of the Russian Academy of Sciences
Author for correspondence.
Email: gorbunov@issp.ac.ru
Russian Federation, Chernogolovka
A. V. Larionov
Osipyan Institute of Solid-State Physics of the Russian Academy of Sciences
Email: gorbunov@issp.ac.ru
Russian Federation, Chernogolovka
L. V. Kulik
Osipyan Institute of Solid-State Physics of the Russian Academy of Sciences
Email: gorbunov@issp.ac.ru
Russian Federation, Chernogolovka
V. B. Timofeev
Osipyan Institute of Solid-State Physics of the Russian Academy of Sciences
Email: gorbunov@issp.ac.ru
Russian Federation, Chernogolovka
References
- Deng H., Haug H., Yamamoto Y. // Rev. Mod. Phys. 2010. V. 82. P. 1489.
- Kulik L.V., Zhuravlev A.S., Dickmann S. et al. // Nature Commun. 2016. V. 7. Art. No. 13499.
- Avron J.E., Herbst I.W., Simon B. // Ann. Physics. 1978. V. 114. P. 431.
- Kulik L.V., Kuznetsov V.A., Zhuravlev A.S. et al. // Sci. Reports. 2018. V. 8. Art. No. 10948.
- Kulik L.V., Gorbunov A.V., Zhuravlev A.S. et al. // Appl. Phys. Lett. 2019. V. 114. Art. No. 062403.
- Kulik L.V., Zhuravlev A.S., Musina L.I. et al. // Nature Commun. 2021. V. 12. Art. No. 6477.
- Bartolomei H., Kumar M., Bisognina R. et al. // Science. 2020. V. 368. P. 173.
- Nakamura J., Liang S., Gardner G.C. et al. // Nature Physics. 2020. V. 16. Art. No. 931.
- Kulik L.V., Gorbunov A.V., Zhuravlev A.S. et al. // Sci. Reports. 2015. V. 5. Art. No. 10354.
- Kulik L.V., Kukushkin I.V., Dickmann S. et al. // Phys. Rev. B. 2005. V. 72. Art. No. 073304.
- Zhuravlev A.S., Kuznetsov V.A., Kulik L.V. et al. // Phys. Rev. Lett. 2016. V. 117. Art. No. 196802.
- Kuznetsov V.A., Kulik L.V., Velikanov M.D. et al. // Phys. Rev. B. 2018. V. 98. Art. No. 205303.
- Roumpos G., Lohse M., Nitsche W.H. et al. // PNAS. 2012. V. 109. P. 6467.
- Борн М., Вольф Э. Основы оптики. М.: Наука, 1973.
- Kallin C., Halperin B.I. // Phys. Rev. B. 1985. V. 31. P. 3635.
- Dickmann S., Kulik L.V., Kuznetsov V.A. // Phys. Rev. B. 2019. V. 100. Art. No. 155304.
- Hohenberg P.C. // Phys. Rev. 1967. V. 158. P. 383.
- Березинский В.Л. // ЖЭТФ. 1972. Т. 61. № 3. С. 1144.
- Kosterlitz J.M., Thouless D.J. // J. Physics C. 1973. V. 6. P. 1181.
- Nitsche W.H., Kim N.Y., Roumpos G. et al. // Phys. Rev. A. 2016. V. 93. Art. No. 053622.
- Nitsche W.H., Kim N.Y., Roumpos G. et al. // Phys. Rev. B. 2014. V. 90. Art. No. 205430.
- Knüppel P., Ravets S., Kroner M. et al. // Nature. 2019. V. 572. P. 91.
Supplementary files





