Флуоресцентные ратиометрические термометры на основе диад тетрафенилпорфирина и металлированного цинком тетрафенилпорфирина
- Авторы: Поволоцкий А.В.1, Смирнова О.С.1, Солдатова Д.А.1, Лукьянов Д.А.1
-
Учреждения:
- Федеральное государственное бюджетное образовательное учреждение высшего образования “Санкт-Петербургский государственный университет”
- Выпуск: Том 87, № 11 (2023)
- Страницы: 1631-1636
- Раздел: Статьи
- URL: https://bakhtiniada.ru/0367-6765/article/view/232503
- DOI: https://doi.org/10.31857/S0367676523702824
- EDN: https://elibrary.ru/FFIAPS
- ID: 232503
Цитировать
Полный текст
Аннотация
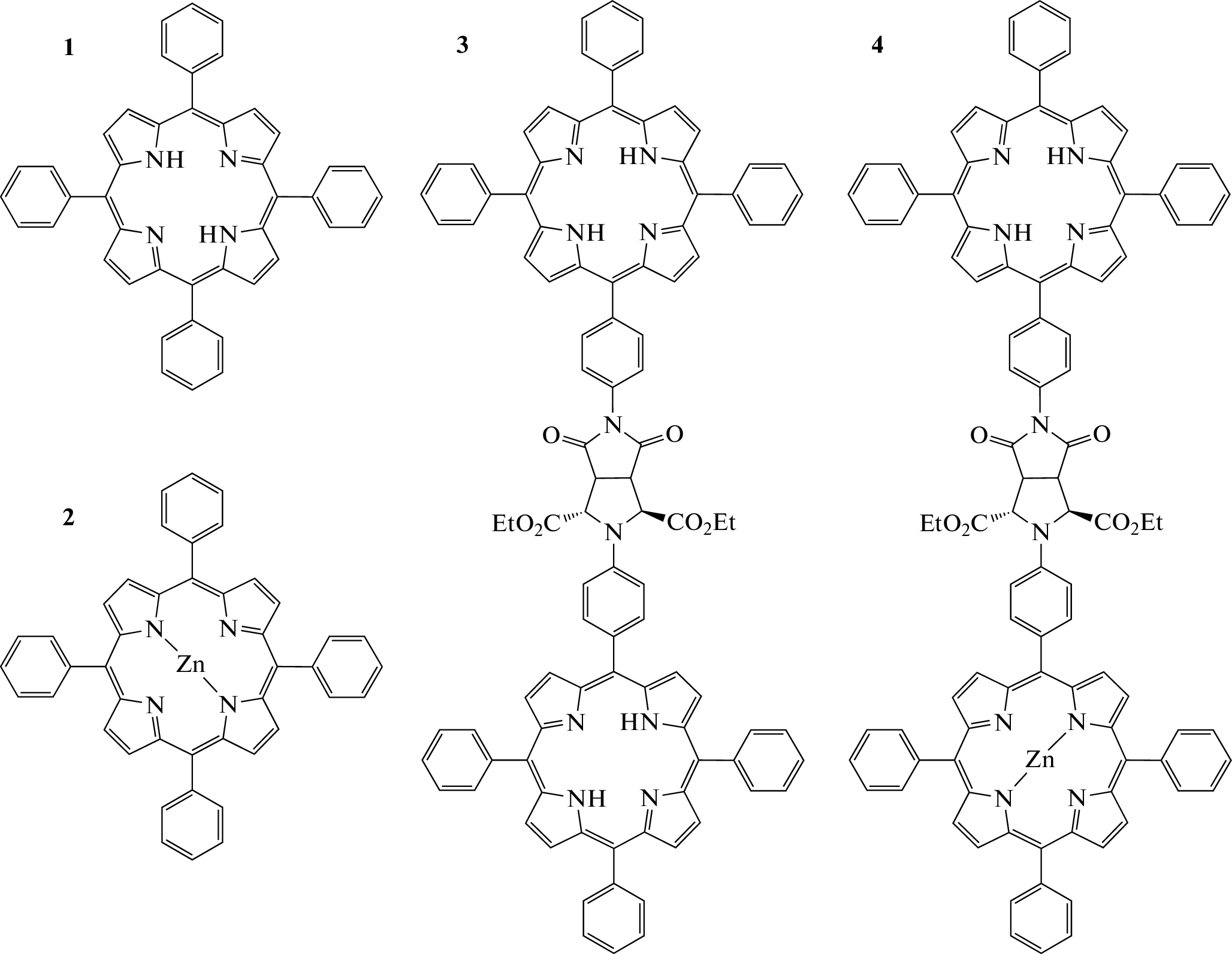
Порфирины и их производные, как правило, характеризуются способностью к излучению двух полос флуоресценции. Представлены результаты исследования зависимости отношения интенсивности этих полос от температуры в диапазоне 25–75°С для неметаллированного и металлированного цинком порфирина, а также порфириновых диад в растворах 1,2-дихлорэтана. Выполнен сравнительный анализ термометрических параметров на основе данных молекул.
Об авторах
А. В. Поволоцкий
Федеральное государственное бюджетное образовательное учреждение высшего образования“Санкт-Петербургский государственный университет”
Автор, ответственный за переписку.
Email: alexey.povolotskiy@spbu.ru
Россия, Санкт-Петербург
О. С. Смирнова
Федеральное государственное бюджетное образовательное учреждение высшего образования“Санкт-Петербургский государственный университет”
Email: alexey.povolotskiy@spbu.ru
Россия, Санкт-Петербург
Д. А. Солдатова
Федеральное государственное бюджетное образовательное учреждение высшего образования“Санкт-Петербургский государственный университет”
Email: alexey.povolotskiy@spbu.ru
Россия, Санкт-Петербург
Д. А. Лукьянов
Федеральное государственное бюджетное образовательное учреждение высшего образования“Санкт-Петербургский государственный университет”
Email: alexey.povolotskiy@spbu.ru
Россия, Санкт-Петербург
Список литературы
- Lupton J.M. // Appl. Phys. Lett. 2002. V. 81. No. 13. P. 2478.
- Wang C., Jin Y., Zhang R. et al. // J. Alloys Compounds. 2022. V. 894. Art. No. 162494.
- Bigdeli A., Ghasemi F., Abbasi-Moayed S. et al. // Analyt. Chim. Acta. 2019. V. 1079. P 30.
- Шилов И.П., Румянцева В.Д., Алексеев Ю.В., Иванов А.В. // Изв. РАН. Сер. физ. 2020. Т. 84. № 11. С. 1643.
- Nurhayati, Suendo V., Alni A. et al. // J. Phys. Chem. A. 2020. V. 124. No. 13. P. 2672.
- Старухин А.С., Горский А.В., Добковский Я.З. // Изв. РАН. Сер. физ. 2020. Т. 84. № 3. С. 345; Starukhin A.S., Gorski A.V., Dobrovski Y.Z. // Bull. Russ. Acad. Sci. Phys. 2020. V. 84. No. 3. P. 267.
- Zhao B., Li Y., Zhao Y. et al. // Spectrochim. Acta A. 2022. V. 281. Art. No. 121592.
- Евдокимова М.Г., Конев А.С., Поволоцкая А.В. и др. // Изв. РАН. Сер. физ. 2017. Т. 81. № 12. С. 1576; Evdokimova M.G., Konev A.S., Kazakova A.V. et al. // Bull. Russ. Acad. Sci. Phys. 2017. V. 81. No. 12. P. 1391.
- Taniguchi M., Lindsey J.S., Bocian D.F., Holten D. // J. Photochem. Photobiol. C. 2021. V. 46. Art. No. 100 401.
- Santos L.J., CarvalhoDa-Silva D., Rebouças J.S. et al. // Tetrahedron. 2011. V. 67. No. 1. P. 228.
- Лукьянов Д.А. Синтез и исследование новых гетероциклических фотокатализаторов для превращения молекулярного кислорода в перекись водорода. Дис. … канд. хим. наук. СПб: СПбГУ, 2019.
- Liao M.-S., Scheiner S. // J. Chem. Phys. 2002. V. 117. No. 1. P. 205.
- Аскаров К.А., Березин Б.Д., Быстрицкая Е.В. Порфирины: спектроскопия, электрохимия, применение. М.: “Наука”, 1987, 384 с.
- Birks J.B. // Chem. Phys. Lett. 1972. V. 17. No. 3. P. 370.
- Bartocci G., Mazzucato U., Spalletti A., Elisei F. // Spectrochim. Acta A. 1990. V. 46. No. 3. P. 413.
- Dramićanin M.D. // Meth. Appl. Fluoresc. 2016. V. 4. No. 3. Art. No. 042001.
Дополнительные файлы






