Relationship between the spin wave distribution across a ferrite plate thickness and the directions of wave’s group and phase velocities
- Authors: Lock E.H.1, Gerus S.V.1
-
Affiliations:
- Kotel’nikov Institute of Radio Engineering and Electronics of the Russian Academy of Sciences, Fryazino Branch
- Issue: Vol 87, No 10 (2023)
- Pages: 1494-1498
- Section: Articles
- URL: https://bakhtiniada.ru/0367-6765/article/view/141849
- DOI: https://doi.org/10.31857/S0367676523702605
- EDN: https://elibrary.ru/TURCIY
- ID: 141849
Cite item
Full Text
Abstract
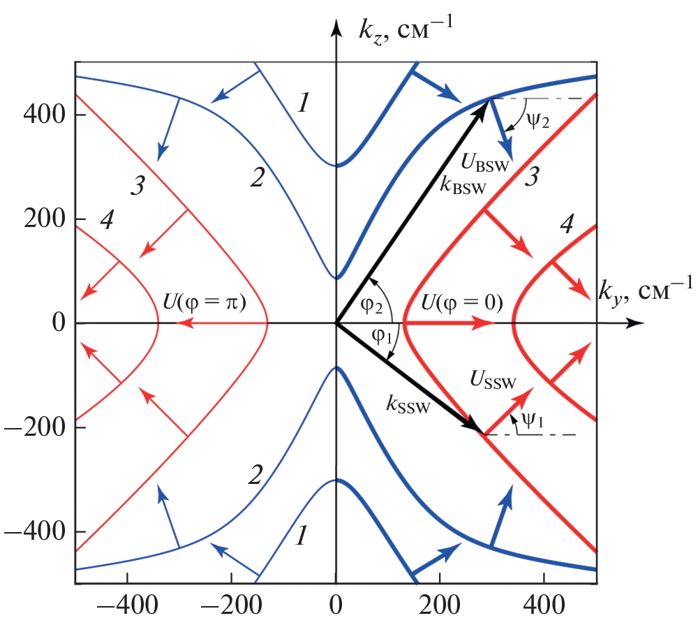
The general nonreciprocal properties of surface and backward spin waves in a tangentially magnetized ferrite plate are investigated. It is established the rule that determines interconnection between the spin wave localization over the ferrite plate thickness and the directions of group and phase velocities of the wave.
About the authors
E. H. Lock
Kotel’nikov Institute of Radio Engineering and Electronics of the Russian Academy of Sciences, Fryazino Branch
Author for correspondence.
Email: edwin@ms.ire.rssi.ru
Russia, 141190, Fryazino
S. V. Gerus
Kotel’nikov Institute of Radio Engineering and Electronics of the Russian Academy of Sciences, Fryazino Branch
Email: edwin@ms.ire.rssi.ru
Russia, 141190, Fryazino
References
- Damon R.W., Eshbach J.R. // J. Phys. Chem. Sol. 1961. V. 19. No. 3/4. P. 308.
- Вапнэ Г.М. СВЧ устройства на магнитостатических волнах. Обзоры по электронной технике. Сер. 1. Электроника СВЧ, 1984.
- Вашковский А.В., Стальмахов В.С., Шараевский Ю.П. Магнитостатические волны в электронике сверхвысоких частот. Саратов: Изд-во Сарат. ун-та, 1993.
- Гуревич А.Г., Мелков Г.А. Магнитные колебания и волны. М.: Наука, 1994.
- Demokritov S.O., Slavin A.N. Topics in applied physics. V. 125. Magnonics: from fundamentals to applications Heidelberg: Springer-Verlag, 2013.
- Никитов С.А., Калябин Д.В., Лисенков И.В. и др. // УФН. 2015. Т. 185. № 10. С. 1099; Nikitov S.A., Kalyabin D.V., Lisenkov I.V. et al // Phys. Usp. 2015. V. 58. No. 4. P. 1002.
- Chumak A.V., Vasyuchka V.I., Serga A.A., Hillebrands B. // Nature Physics. 2015. V. 11. P. 453.
- Pirro P., Vasyuchka V.I., Serga A.A., Hillebrands B. // Nature Rev. Mater. 2021. V. 6. P. 1114.
- Вугальтер Г.А., Коровин А.Г. // Письма в ЖТФ. 1989. Т. 15. № 21. С. 73; Vugalter G.A., Korovin A.G. // Tech. Phys. Lett. 1989. V. 15. No. 21. P. 73.
- Анненков А.Ю., Герус С.В. // ЖТФ. 1999. Т. 69. № 1. С. 82; Annenkov A.Yu., Gerus S.V. // Tech. Phys. 1999. V. 44. No. 1. P. 74.
- Вашковский А.В., Локк Э.Г. // УФН. 2006. Т. 176. № 4. С. 403; Vashkovsky A.V., Lock E.H. // Phys. Usp. 2006. V. 49. No. 4. P. 389.
- Локк Э.Г. // УФН. 2008. Т. 178. № 4. С. 397; Lock E.H. // Phys. Usp. 2008. V. 51. No. 4. P. 375.
- Анненков А.Ю., Герус С.В. // Изв. РАН. Сер. физ. 2010. Т. 74. № 10. С. 1416; Annenkov A.Yu., Gerus S.V. // Bull. Russ. Acad. Sci. Phys. 2010. V. 74. No. 10. P. 1355.
- Annenkov A.Yu., Gerus S.V., Lock E.H. // EPJ Web Conf. 2018. V. 185. Art. No. 02006.
- Локк Э.Г. // Изв. РАН. Сер. физ. 2020. Т. 84. № 2. С. 174; Lock E.H. // Bull. Russ. Acad. Sci. Phys. 2020. V. 84. No. 2. P. 134.
- Локк Э.Г. // Радиотехн. и электрон. 2020. Т. 65. № 3. С. 267; Lock E.H. // J. Commun. Technol. Electron. 2020. V. 65. No. 3. P. 265.
- Локк Э.Г. // Радиотехн. и электрон. 2018. Т. 63. № 8. С. 845; Lokk E.G. // J. Commun. Technol. Electron. 2018. V. 63. No. 8. P. 915.
- Локк Э.Г. // УФН. 2011. Т. 181. № 3. С. 293; Lock E.H. // Phys. Usp. 2011. V. 54. No. 3. P. 281.
Supplementary files





