Electron beam stimulated luminescence of helium ion irradiated hexagonal boron nitride
- Authors: Petrov Y.V.1, Vyvenko O.F.1, Gogina O.A.1, Sharov T.V.1, Kovalchuk S.2, Bolotin K.2
-
Affiliations:
- Saint-Petersburg State University, Faculty of Physics
- Freie Universität Berlin, Department of Physics
- Issue: Vol 87, No 10 (2023)
- Pages: 1423-1429
- Section: Articles
- URL: https://bakhtiniada.ru/0367-6765/article/view/141837
- DOI: https://doi.org/10.31857/S0367676523702484
- EDN: https://elibrary.ru/PIVYRE
- ID: 141837
Cite item
Full Text
Abstract
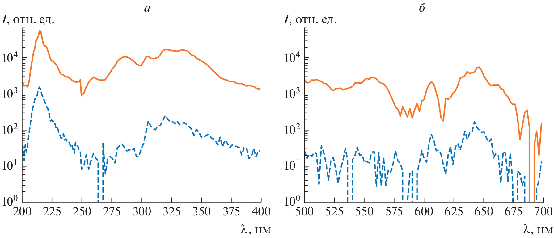
The impact of the irradiation with focused helium ion beam and electron beam on the cathodoluminescence (CL) of hexagonal boron nitride was investigated. It was shown that the irradiation with helium ions resulted in a decrease of the intensity of CL in the region 200–700 nm. Subsequent irradiation with electrons results in an increase of the intensity of 2 eV CL band comparing with its intensity in pristine material.
About the authors
Yu. V. Petrov
Saint-Petersburg State University, Faculty of Physics
Email: o_gogina@mail.ru
Russia, 199034, Saint-Petersburg
O. F. Vyvenko
Saint-Petersburg State University, Faculty of Physics
Email: o_gogina@mail.ru
Russia, 199034, Saint-Petersburg
O. A. Gogina
Saint-Petersburg State University, Faculty of Physics
Author for correspondence.
Email: o_gogina@mail.ru
Russia, 199034, Saint-Petersburg
T. V. Sharov
Saint-Petersburg State University, Faculty of Physics
Email: o_gogina@mail.ru
Russia, 199034, Saint-Petersburg
S. Kovalchuk
Freie Universität Berlin, Department of Physics
Email: o_gogina@mail.ru
Germany, 14195, Berlin
K. Bolotin
Freie Universität Berlin, Department of Physics
Email: o_gogina@mail.ru
Germany, 14195, Berlin
References
- Bourrellier R., Meuret S., Tararan A. et al. // Nano Lett. 2016. V. 16. No. 7. P. 4317.
- Castelletto S., Inam F.A., Sato S., Boretti A. // Beilstein J. Nanotechnol. 2020. V. 1. No. 1. P. 740.
- Korona T., Chojecki M. // Int. J. Quant. Chem. 2019. V. 119. No. 14. Art. No. e25925.
- Weston L., Wickramaratne D., Mackoit M. et al. // Phys. Rev. B. 2018. V. 97. No. 21. Art. No. 214104.
- Turiansky M.E., Alkauskas A., Bassett L.C. et al. // Phys. Rev. Lett. 2019. V. 123. No. 12. Art. No. 127401.
- Tran T.T., Kerem Bray, Ford M.J. et al. // Nature Nano-technol. 2016. V. 11. No. 1. P. 37.
- Grosso G., Moon H., Lienhard B. et al. // Nature Commun. 2017. V. 8. No. 1. P. 1.
- Choi S., Tran T.T., Elbadawi C. et al. // ACS Appl. Mater. Interfaces. 2016. V. 8. No. 43. P. 29642.
- Guo N.J., Liu W., Li Z.P. et al. // ACS Omega. 2022. V. 7. No. 2. P. 1733.
- Петров Ю.В., Гогина О.А., Вывенко О.Ф. и др. // ЖТФ. 2022. Т. 92. № 8. С. 1166.
- Ziegler J.F., Ziegler M.D., Biersack J.P. // Nucl. Instrum. Meth. Phys. Res. B. 2010. V. 268. No. 11–12. P. 1818.
- Drouin D., Couture A.R., Joly D. et al. // J. Scan. Microsc. 2007. V. 29. No. 3. P. 92.
- Uddin M.R., Majety S., Li J. et al. // J. Appl. Phys. 2014. V. 115. No. 9. Art. No. 093509.
- Pons D., Bourgoin J.C. // J. Physics C. 1985. V. 18. No. 20. P. 3839.
- Hoffman D.M., Doll G.L., Eklund P.C. // Phys. Rev. B. 1984. V. 30. No. 10. P. 6051.
- Ngwenya T.B., Ukpong A.M., Chetty N. // Phys. Rev. B. 2011. V. 84. No. 24. Art. No. 245425.
Supplementary files









