Structure and electrical properties of (Mg/ZrO2)52 multilayer nanostructures
- Authors: Stognei O.V.1, Smirnov A.N.1, Sitnikov A.V.1, Volochaev M.N.2
-
Affiliations:
- Voronezh State Technical University
- Kirensky Institute of Physics of the Siberian Branch of the Russian Academy of Sciences
- Issue: Vol 87, No 9 (2023)
- Pages: 1348-1354
- Section: Articles
- URL: https://bakhtiniada.ru/0367-6765/article/view/135496
- DOI: https://doi.org/10.31857/S036767652370237X
- EDN: https://elibrary.ru/GKJBXR
- ID: 135496
Cite item
Full Text
Abstract
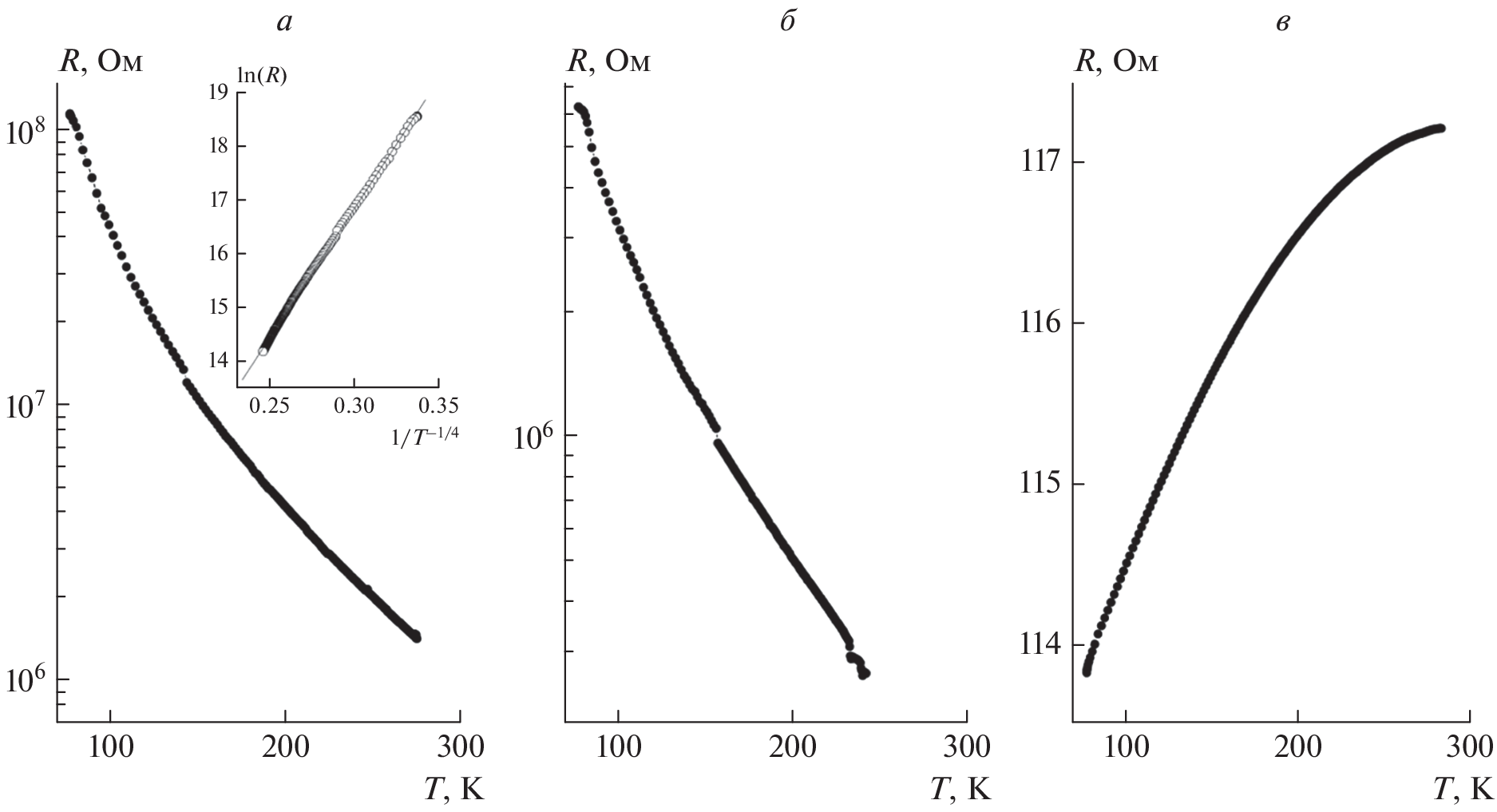
Multilayer (Mg/ZrO2)52 nanostructures differing from each other in the thickness of the Mg layers and the same thickness of the ZrO2 layers were obtained by ion-beam sputtering of two targets in an argon. The thickness of one bilayer (Mg + ZrO2) varies from 3.6 to 8.5 nm. It was found that the use of zirconium dioxide prevented the oxidation of the magnesium phase. The presence of an electric percolation threshold was found when the morphology of magnesium layers changes (transition from discrete to continuous) as a result of an increase in the bilayer thickness. A change of the electrotransport mechanism in the (Mg/ZrO2)52 multilayer nanostructures upon passing through the percolation threshold has been established.
About the authors
O. V. Stognei
Voronezh State Technical University
Author for correspondence.
Email: sto.sci.vrn@gmail.com
Russia, 394006, Voronezh
A. N. Smirnov
Voronezh State Technical University
Email: sto.sci.vrn@gmail.com
Russia, 394006, Voronezh
A. V. Sitnikov
Voronezh State Technical University
Email: sto.sci.vrn@gmail.com
Russia, 394006, Voronezh
M. N. Volochaev
Kirensky Institute of Physics of the Siberian Branch of the Russian Academy of Sciences
Email: sto.sci.vrn@gmail.com
Russia, 660036, Krasnoyarsk
References
- Murray P., Orehounig D., Grosspietsch K., Carmeliet J. // Appl. Energy. 2018. V. 231. P. 1285.
- Lin X., Zhu Q., Leng H. et al. // Appl. Energy. 2019. V. 250. P. 1065.
- Stognei O.V., Smirnov A.N., Sitnikov A.V., Semenenko K.I. // Solid State Commun. 2021. V. 330. Art. No. 114251.
- Liu Jiangwen, Fu Yiyuan, Huang Wencheng // Phys. Chem. C. 2020. V. 124. P. 6571.
- Зубарев Е.Н. // УФН. 2011. Т. 181. № 5. С. 491; Zubarev E.N. // Phys. Usp. 2011. V. 54. No. 5. P. 473.
- Sponchia G. et al. // J. Eur. Ceram. Soc. 2017. V. 37. P. 3393.
- Francisco L., Sponchia G., Benedetti A. et al. // Ceram. Int. 2018. V. 44. No. 9. P. 10362.
- Trolliard G., Benmechta R., Mercurio D. // Acta Materialia. 2007. V. 55. P. 6011.
- Головин Ю.И. Керамические материалы на основе диоксида циркония. М.: Техносфера, 2018. 358 с.
- Thornton J.A. // J. Vac. Sci. Tech. 1986. V. 6. No. 4. P. 3059.
- Ceresoli D., Vanderbilt D. // Phys. Rev. B. 2006. V. 74. Art. No. 125108.
- Platzer-Björkman C., Mongstad T., Karazhanov S. et al. // Mater. Res. Soc. Symp. Proc. 2009. V. 1210. Art. No. 315.
- Ouyang L.Z., Ye S.Y., Dong H.W., Zhu M. // Appl. Phys. Lett. 2007. V. 90. Art. No. 021917.
- Ouyang L., Qin F.X., Zhu M. et al. // J. Appl. Phys. 2008. V. 104. Art. No. 016110.
- Pasturel M., Slaman M., Schreuders H. et al. // J. Appl. Phys. 2006. V. 100. Art. No. 023515.
- Гриднев С.А., Калинин Ю.Е., Ситников А.В., Стогней О.В. Нелинейные явления в нано- и микрогетерогенных системах. М.: БИНОМ. Лаборатория знаний, 2012. 352 с.
- Мотт Н., Дэвис Э. Электронные процессы в некристаллических веществах. Т. 1. М.: Мир, 1982. 368 с.
Supplementary files







