Dependence of the relaxation properties of polypropylene solutions on the concentration of organic solvents: molecular dynamics simulation
- Authors: Egorov V.I.1, Maksimova O.G.1
-
Affiliations:
- Cherepovets State University
- Issue: Vol 87, No 9 (2023)
- Pages: 1316-1321
- Section: Articles
- URL: https://bakhtiniada.ru/0367-6765/article/view/135490
- DOI: https://doi.org/10.31857/S0367676523702319
- EDN: https://elibrary.ru/JWEZNM
- ID: 135490
Cite item
Full Text
Abstract
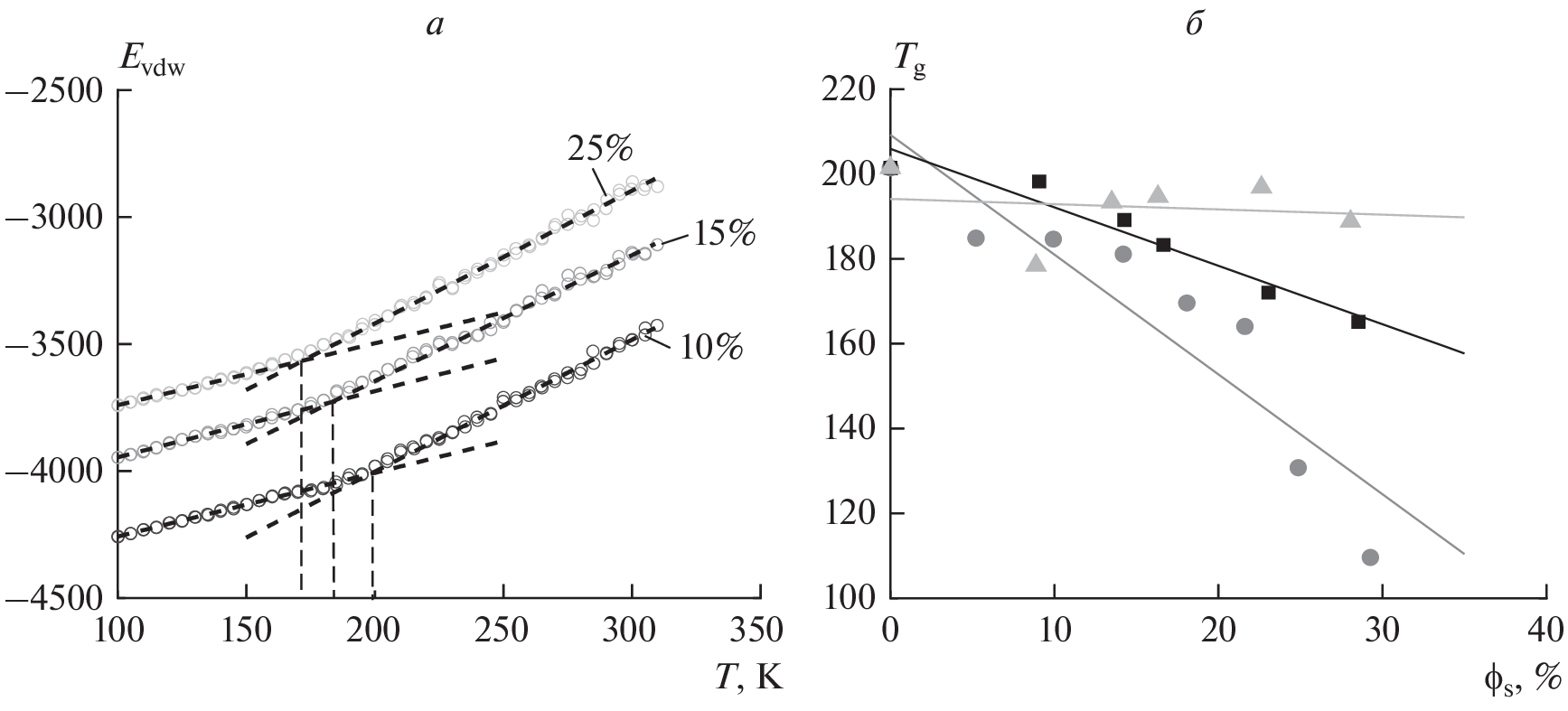
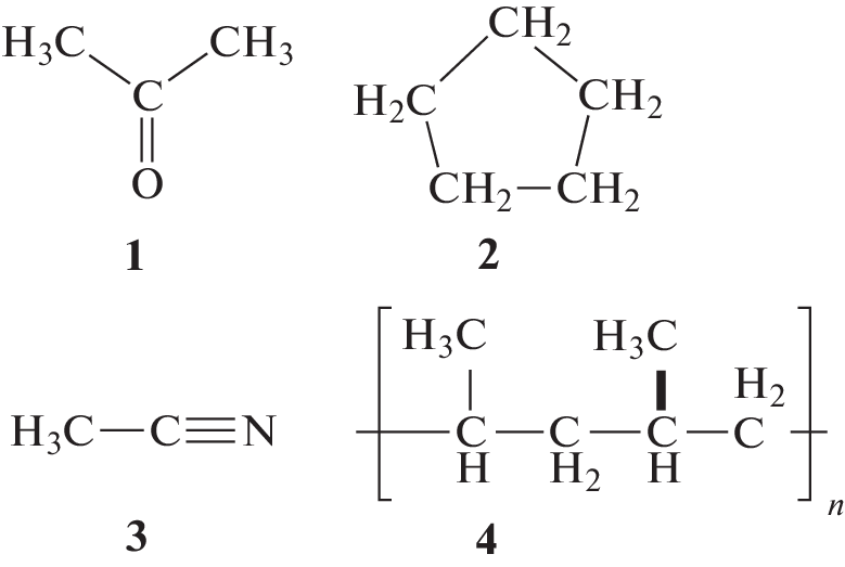
The microscopic relaxation of polymer chains in organic solvents has been studied by the molecular dynamics method. The simulation was carried out for the mixtures of polypropylene with three different organic solvents (acetone, cyclopentane, acetonitrile). The dependence of the relaxation time and the glass transition temperature of the polymer on the mass fraction of the solvent is obtained.
About the authors
V. I. Egorov
Cherepovets State University
Author for correspondence.
Email: rvladegorov@rambler.ru
Russia, 162600, Cherepovets
O. G. Maksimova
Cherepovets State University
Email: rvladegorov@rambler.ru
Russia, 162600, Cherepovets
References
- Sur S., Rothstein J. // J. Rheol. 2018. V. 62. No. 5. P. 1245.
- Egorov V., Maksimova O., Andreeva I. et al. // Phys. Fluids. 2020. V. 32. No. 12. Art. No. 121902.
- Di Lorenzo M.L., Longo A.N. // Thermochim. Acta. 2019. V. 677. P. 180.
- Booth C., Price C. Comprehensive polymer science. V. 2. Pergamon, 1986. 657 p.
- Lipson J.E.G., Milner S.T. // J. Polym. Sci. B. 2006. V. 44. No. 24. P. 3528.
- Du F., Schick C., Androsch R. // Polymer. 2020. V. 209. Art. No. 123058.
- Peter S., Meyer H., Baschnagel J. // Eur. Phys. J. E. 2009. V. 28. No. 2. P. 147.
- Götze W., Voigtmann T. // Phys. Rev. E. 2003. V. 67. No. 2. Art. No. 021502.
- Gor G. Y., Cannarella J., Leng C.Z. et al. // J. Power Sources. 2015. V. 294. P. 167.
- Yan S., Xiao X., Huang X. et al. // Polymer. 2014. V. 55 No. 24. P. 6282.
- Rofika R.N.S., Honggowiranto W., Jodi H. et al. // Ionics. 2019. V. 25. P. 3661.
- Logan E., Tonita E.M., Gering K. et al. // J. Electrochem. Soc. 2018. V. 165. Art. No. A21.
- Lagadec M.F., Zahn R., Wood V. // Nature Energy. 2019. V. 4. P. 16.
- Brodka A., Zerda T. // J. Chem. Phys. 1996. V. 104. P. 6313.
- Muñoz-Muñoz Y.M., Guevara-Carrion G., Llano-Restrepo M., Vrabec J. // Fluid Phase Equilib. 2015. V. 404. P. 150.
- Mountain R.D. // J. Phys. Chem. C. 2013. V. 117. No. 8. P. 3923.
- Pütz M., Curro J.G., Grest G.S. // J. Chem. Phys. 2001. V. 114. No. 6. P. 2847.
- Buchholz J., Paul W., Varnik F., Binder K. // J. Chem. Phys. 2002. V. 117. P. 7364.
Supplementary files






