Effects of cosmic rays’ self-modulation on the galactic diffuse gamma-ray emission
- Authors: Chernyshov D.O.1, Ivlev A.V.2, Kulik E.A.1
-
Affiliations:
- Lebedev Physical Institute of the Russian Academy of Sciences, Tamm Theoretical Physics Division
- Max-Planck-Institut fur Extraterrestrische Physik
- Issue: Vol 87, No 7 (2023)
- Pages: 947-950
- Section: Articles
- URL: https://bakhtiniada.ru/0367-6765/article/view/135425
- DOI: https://doi.org/10.31857/S036767652370165X
- EDN: https://elibrary.ru/ONQRGE
- ID: 135425
Cite item
Full Text
Abstract
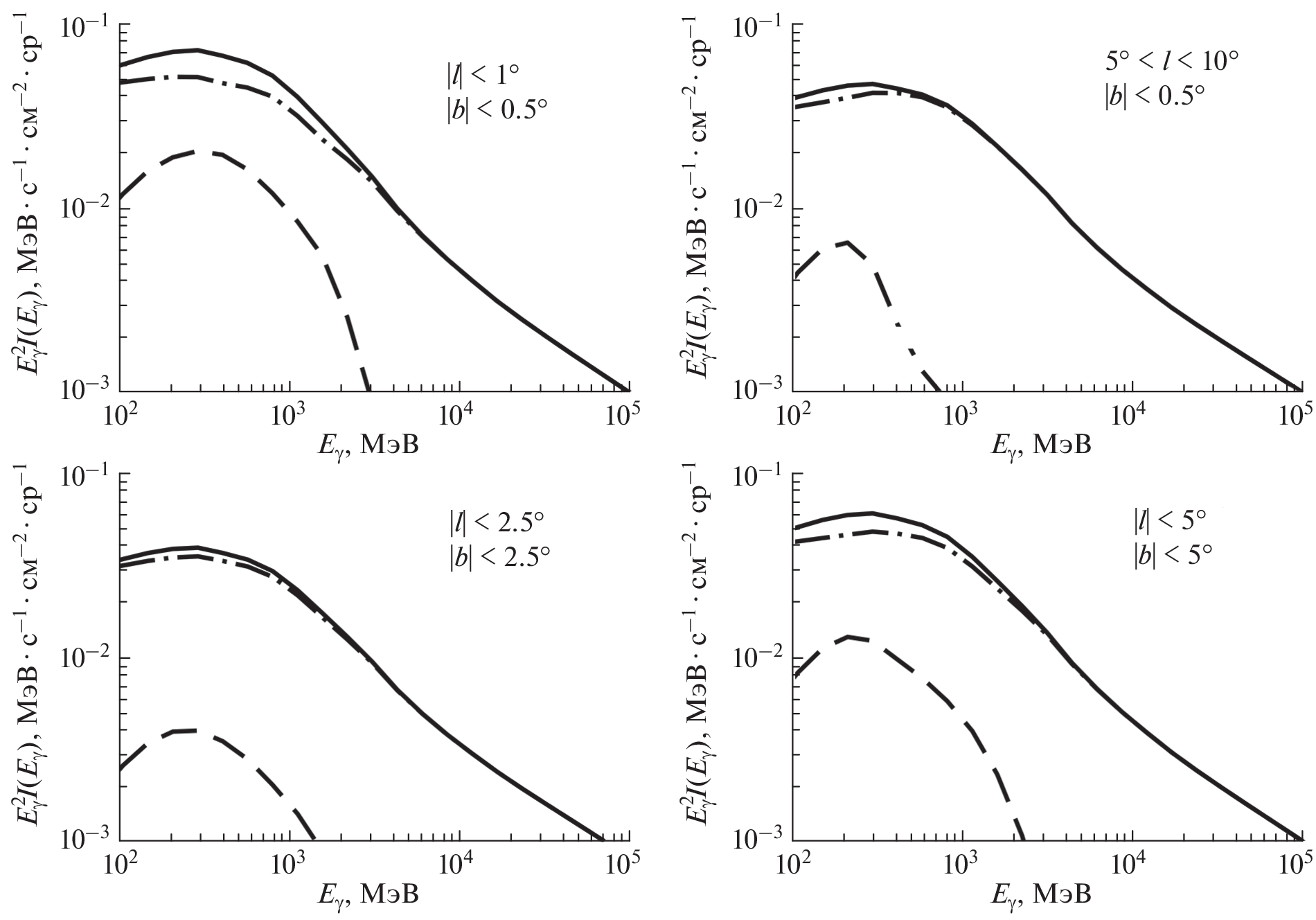
We studied how the process of self-modulation of cosmic rays, occurring upon their penetration into dense molecular clouds, affects the total gamma-ray emission of the Galaxy. We estimated how the self-modulation modifies the emission from each individual cloud and integrate the results along the line of sight for a given area in the sky. Our calculations show that the self-modulation reduces the total intensity of gamma-ray emission below 1 GeV by about 10–30%. Even though the magnitude of the effect is not large, it still can substantially affect the background gamma-ray emission at low energies.
About the authors
D. O. Chernyshov
Lebedev Physical Institute of the Russian Academy of Sciences, Tamm Theoretical Physics Division
Author for correspondence.
Email: chernyshov@td.lpi.ru
Russia, 119991, Moscow
A. V. Ivlev
Max-Planck-Institut fur Extraterrestrische Physik
Email: chernyshov@td.lpi.ru
Germany, D-85748, Garching
E. A. Kulik
Lebedev Physical Institute of the Russian Academy of Sciences, Tamm Theoretical Physics Division
Email: chernyshov@td.lpi.ru
Russia, 119991, Moscow
References
- Issa M.R., Wolfendale A.W. // Nature. 1981. V. 292. P. 430.
- Птускин В.С., Зиракашвили В.Н., Георгиева А.А., Клепач Е.Г. // Изв. РАН. Сер. физ. 2007. Т. 71. № 4. С. 480; Ptuskin V.S., Zirakashvili V.N., Georgieva A.A., Klepach E.G. // Bull. Russ. Acad. Sci. Phys. 2007. V. 71. No. 4. P. 461.
- Skilling J., Strong A.W. // Astron. Astrophys. 1976. V. 53. P. 253.
- Cesarsky C.J., Volk H.J. // Astron. Astrophys. 1978. V. 70. P. 367.
- Ivlev A.V., Dogiel V.A., Chernyshov D.O. et al. // Astrophys. J. 2018 V. 855. Art. No. 23.
- Dogiel V.A., Chernyshov D.O., Ivlev A.V. et al. // Astrophys. J. 2018 V. 868. Art. No. 114.
- Топчиев Н.П., Гальпер А.М., Архангельская И.В. и др. // Изв. РАН. Сер. физ. 2019. Т. 83. № 5. С. 688; Topchiev N.P., Galper A.M., Arkhangelskaja A.I. et al. // Bull. Russ. Acad. Sci. Phys. 2019. V. 83. No. 5. P. 629.
- Duarte-Cabral A., Colombo D., Urquhart J.S. et al. // MNRAS. 2021. V. 400. P. 3027.
- Strong A.W., Moskalenko I.V. // Astrophys. J. 1998. V. 509. Art. No. 212.
- Vladimirov A.E., Digel S.W., Johannesson G. et al. // Comp. Phys. Commun. 2011. V. 182. No. 5. P. 1156.
- Ackermann M., Ajello M., Atwood W.B. et al. // Astrophys. J. 2012. V. 750. No. 1. Art. No. 3.
- Dogiel V.A., Chernyshov D.O., Ivlev A.V. et al. // Astrophys. J. 2021. V. 921. No. 1. Art. No. 43.
- Ackermann M., Ajello M., Albert A. // Astrophys. J. 2017. V. 840. No. 1. Art. No. 43.




