Time-dependent photoconductivity in iron doped ZnSe crystals
- Authors: Storozhevykh M.S.1, Kalinushkin V.P.1, Uvarov O.V.1, Chegnov V.P.2, Chegnova O.I.2, Yuryev V.A.1
-
Affiliations:
- Prokhorov General Physics Institute of the Russian Academy of Sciences
- Research Institute of Materials Science and Technology LLC
- Issue: Vol 87, No 6 (2023)
- Pages: 901-906
- Section: Articles
- URL: https://bakhtiniada.ru/0367-6765/article/view/135417
- DOI: https://doi.org/10.31857/S0367676523701569
- EDN: https://elibrary.ru/VNSAQZ
- ID: 135417
Cite item
Full Text
Abstract
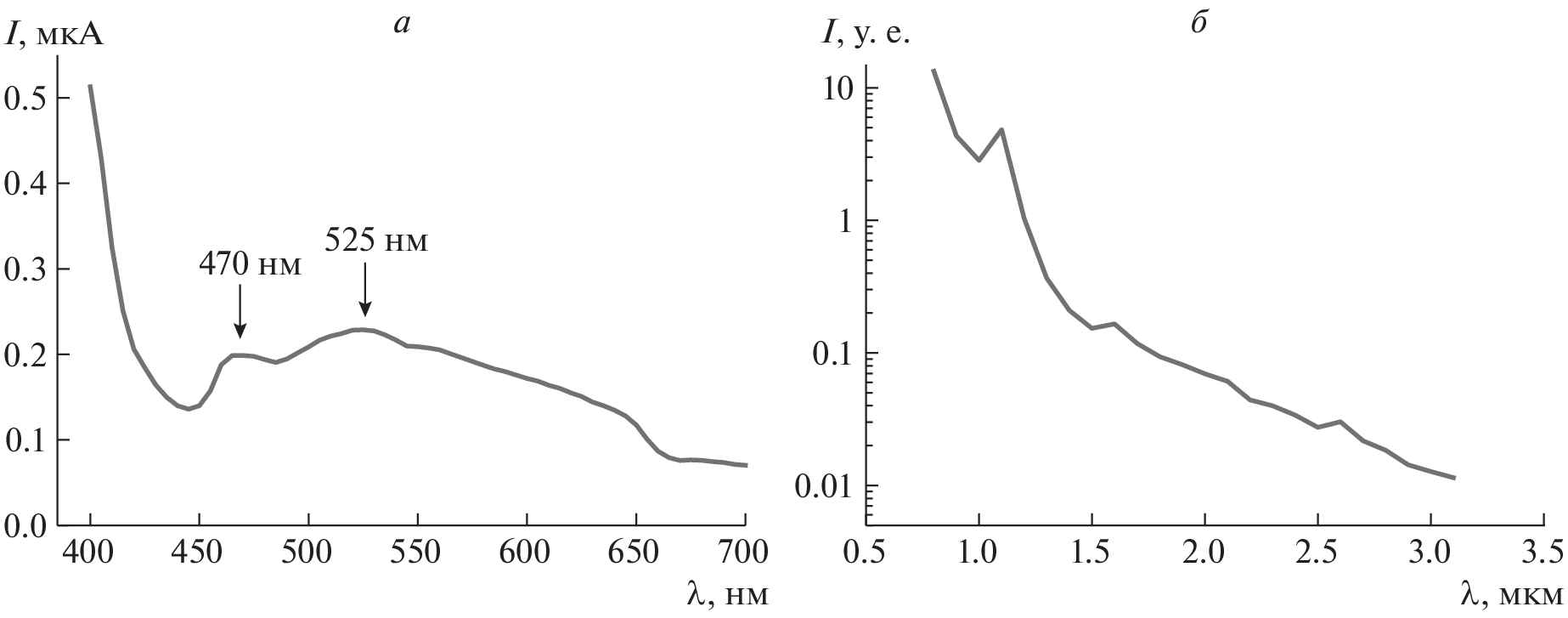
We investigated photoconductivity in ZnSe crystals doped with iron by thermal diffusion in wavelength range 470–5000 nm at the temperature of 77 and 300 K. The samples show high photoconductivity in the visible region. The effects of long-term growth and relaxation of the photocurrent were discovered as well as the dependence of time of the photocurrent growth and relaxation on the wavelength of exciting radiation, its power and the voltage applied to a sample. The effect of quenching of residual photoconductivity under the irradiation in the range 850–940 nm was observed.
About the authors
M. S. Storozhevykh
Prokhorov General Physics Institute of the Russian Academy of Sciences
Author for correspondence.
Email: storozhevykh@kapella.gpi.ru
Russia, 119991, Moscow
V. P. Kalinushkin
Prokhorov General Physics Institute of the Russian Academy of Sciences
Email: storozhevykh@kapella.gpi.ru
Russia, 119991, Moscow
O. V. Uvarov
Prokhorov General Physics Institute of the Russian Academy of Sciences
Email: storozhevykh@kapella.gpi.ru
Russia, 119991, Moscow
V. P. Chegnov
Research Institute of Materials Science and Technology LLC
Email: storozhevykh@kapella.gpi.ru
Russia, 124460, Moscow
O. I. Chegnova
Research Institute of Materials Science and Technology LLC
Email: storozhevykh@kapella.gpi.ru
Russia, 124460, Moscow
V. A. Yuryev
Prokhorov General Physics Institute of the Russian Academy of Sciences
Email: storozhevykh@kapella.gpi.ru
Russia, 119991, Moscow
References
- Avdonin A.N., Ivanova G.N., Nedeoglo D.D. et al. // Physica B. 2005. V. 365. P. 217.
- Mahawela P., Sivaraman G., Jeedigunta S. et al. // Mater. Sci. Engin. B. 2005. V. 116. P. 283.
- Schulz O., Strassburg M., Rissom T. et al. // Appl. Phys. Lett. 2002. V. 81. Art. No. 4916.
- Dormidonov A.E., Firsov K.N., Gavrishchuk E.M. et al. // Appl. Phys. B. 2016. V. 122. No. 8. P. 211.
- Frolov M.P., Korostelin Y.V., Kozlovsky V.I. et al. // Laser Phys. 2019. V. 29. No. 8. Art. No. 085004.
- Fedorov V., Martyshkin D., Karki K. et al. // Opt. Express. 2019. V. 27. No. 10. P. 13934.
- Migal E., Pushkin A., Bravy B. et al. // Opt. Letters. 2019. V. 44. No. 10. P. 2550.
- Peppers J., Fedorov V.V., Mirov S.B. // Opt. Express. 2015. V. 23. No. 4. P. 4406.
- Evans J.W., Harris T.R., Reddy B.R. et al. // J. Luminescence. 2017. V. 188. P. 541.
- Kulyuk L.L., Laiho R., Lashkul A.V. et al. // Physica B. 2010. V. 405. P. 4330.
- Aminev D.F., Pruchkina A.A., Krivobok V.S. et al. // Opt. Mater. Exp. 2021. V. 11. No. 2. P. 210.
- Kalinushkin V., Uvarov O., Il’ichev N. et al. // Opt. Inf. Conf. 2020. Art. No. JTh2A.
- Ильичев Н.Н., Буфетова Г.А., Гулямова Е.С. и др. // Квант. электрон. 2019. Т. 49. № 12. С. 1175; Il’ichev N.N., Bufetova G.A., Gulyamova E.S. et al. // Quant. Electron. 2019. V. 49. No. 12. P. 1175.
- Ильичев Н.Н., Гладилин А.А., Гулямова Е.С. и др. // Квант. электрон. 2020. Т. 50. № 8. С. 730; Il’ichev N.N., Gladilin A.A., Gulyamova E.S. et al. // Quant. Electron. 2020. V. 50. No. 8. P. 730.
- Il’ichev N., Sidorin A., Gulyamova E. et al. // J. Luminescence. 2021. V. 239. Art. No. 118363.
- Ваксман Ю.Ф., Ницук Ю.А., Яцун В.В. и др. // ФТП. 2011. Т. 45. № 9. С. 1171; Vaksman Y.F., Nitsuk Y.A., Yatsun V.V. et al. // Semiconductors. 2011. V. 45. No. 9. P. 1129.
- Ницук Ю.А., Ваксман Ю.Ф., Яцун В.В. и др. // ФТП. 2012. Т. 46. № 10. С. 1288; Nitsuk Y.A., Vaksman Y.F., Yatsun V.V. // Semiconductors. 2012. V. 46. No. 10. P. 1265.
- Iida S. // J. Phys. Soc. Japan. 1969. V. 26. No. 5. P. 1140.
- Makhni V.P., Sletov M.M., Tkachenko I.V. // J. Opt. Technol. 2007. V. 74. No. 6. P. 394.
- Rong F.C., Barry W.A., Donegan J.F., Watkins G.D. // Phys. Rev. B. 1996. V. 54. No. 11. P. 7779.
- Dunstant D.J., Nicholls J.E., Cavenett B.C., Davies J.J. // J. Physics C. 1980. V. 13. P. 6409.
- Ivanova G.N., Nedeoglo D.D., Negeoglo N.D. et al. // J. Appl. Phys. 2007. V. 101. Art. No. 063543.
- Шейнкман М.К., Шик А.Я. // ФТП. 1976. Т. 10. № 2. С. 209.
- Niftiev G.M., Tagiev B.G., Khalilov A.O., Abushov S.A. // Phys. Stat. Sol. 1984. V. 81. P. 175.
- Akhmedov A.A., Khalilov S.K., Kyazymzade A.G., Bairamov Y.A. // Phys. Stat. Sol. 1986. V. 93. P. 79.
- Mayorova T.L., Klyuev V.G., Fam Thi Hay M. // Nanotechnol. Russ. 2012. V. 7. No. 5–6. P. 298.
- Yeritsyan H., Grigoryan N., Harutyunyan V. et al. // J. Mod. Phys. 2014. V. 5. No. 1. P. 51.
Supplementary files







