Modeling of the superconducting triplet spin valve with several superconductor layers
- Authors: Gaifullin R.R.1, Deminov R.G.1, Kushnir V.N.2,3, Kupriyanov M.Y.4, Golubov A.A.5, Tagirov L.R.1,6
-
Affiliations:
- Institute of Physics, Kazan Federal University
- Belarus State University of Informatics and Radioelectronics
- Theoretical Physics Department, Belarusian State University
- Skobeltsyn Institute of Nuclear Physics, Moscow State University
- Faculty of Science and Technology and MESA+ Institute of Nanotechnology, University of Twente
- Zavoisky Physical-Technical Institute, FRC Kazan Scientic Center of the Russian Academy of Sciences
- Issue: Vol 87, No 4 (2023)
- Pages: 468-472
- Section: Articles
- URL: https://bakhtiniada.ru/0367-6765/article/view/135346
- DOI: https://doi.org/10.31857/S0367676522700831
- EDN: https://elibrary.ru/NKTWTF
- ID: 135346
Cite item
Full Text
Abstract
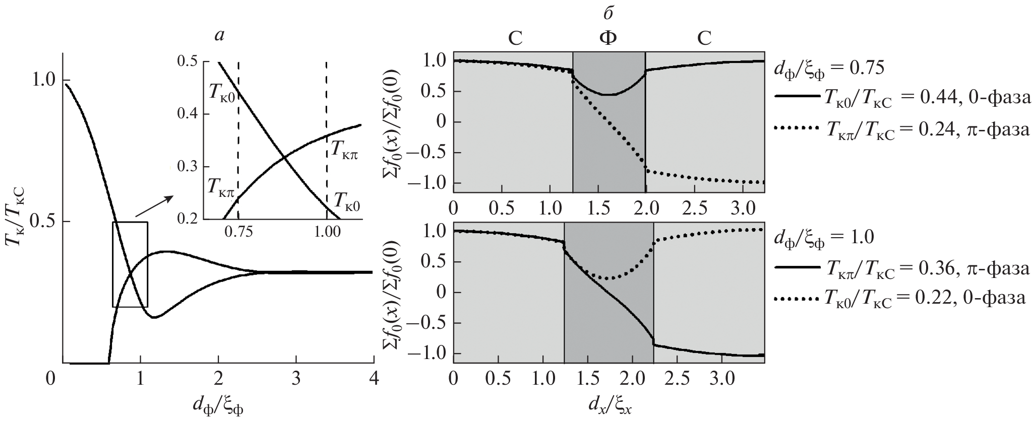
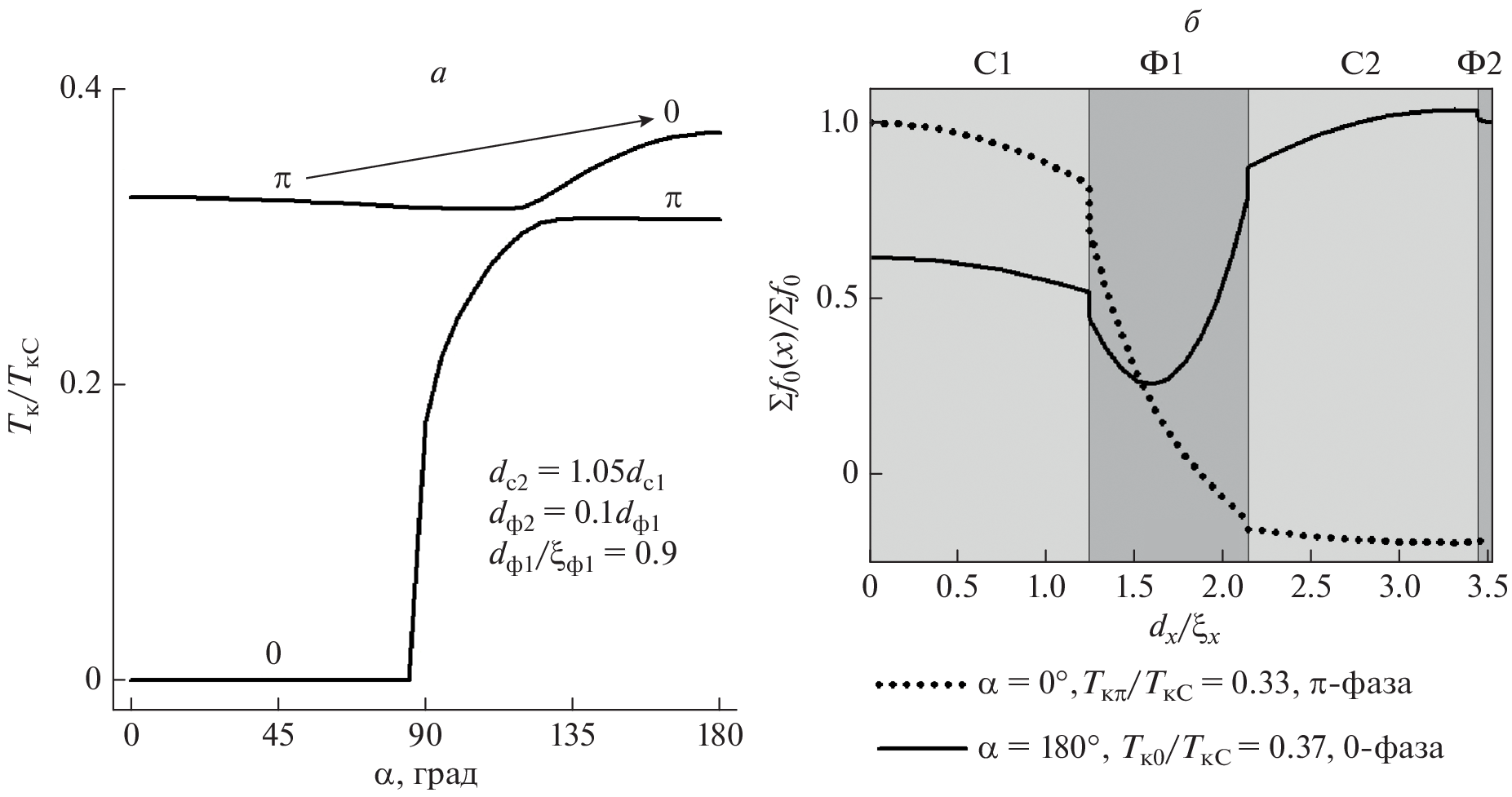
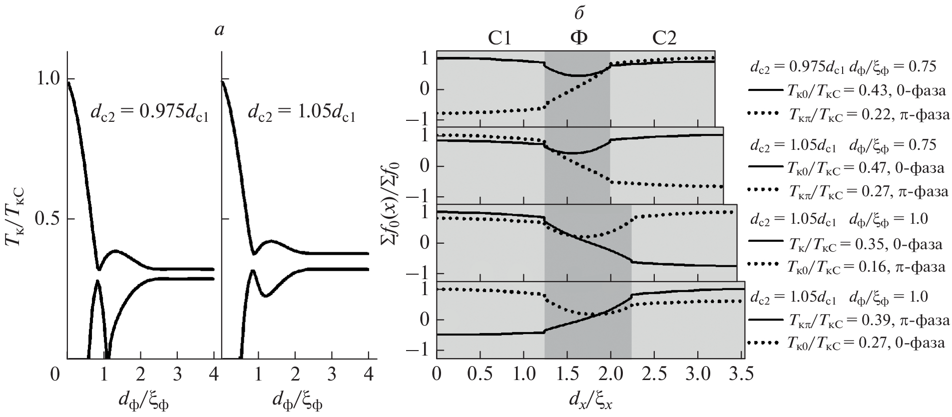
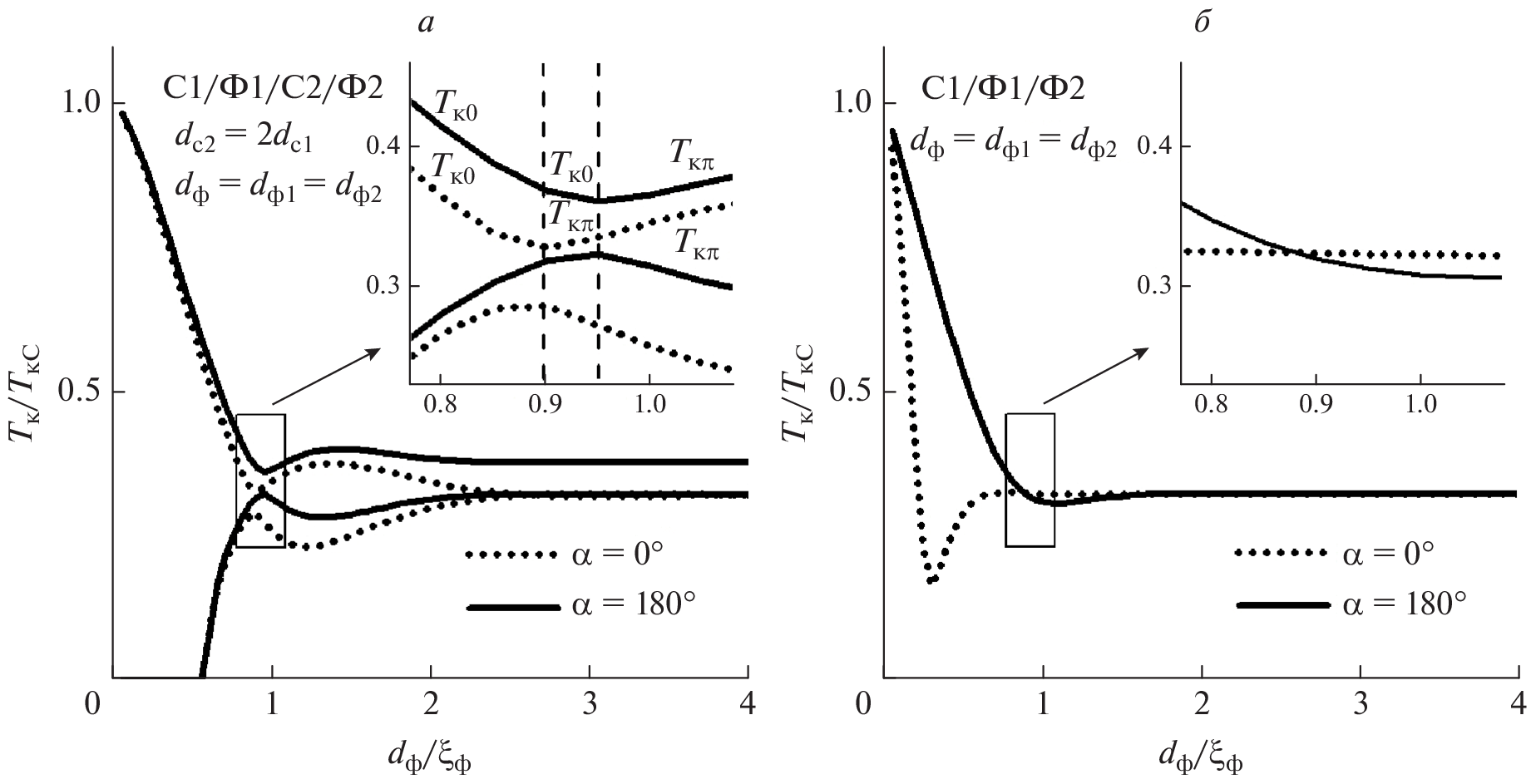
Using the matrix method for solving the linearized Usadel equations, the critical temperature and the distribution of singlet pairing components of the superconductor/ferromagnet/superconductor/ferromagnet structure with nonideal boundaries are obtained. A transition from the π- to the 0-phase state between layers of superconductors was obtained with a change in the angle between the magnetizations of ferromagnetic layers in such a structure.
About the authors
R. R. Gaifullin
Institute of Physics, Kazan Federal University
Author for correspondence.
Email: gaifullin.rashid@gmail.com
Russia, 420008, Kazan
R. G. Deminov
Institute of Physics, Kazan Federal University
Email: gaifullin.rashid@gmail.com
Russia, 420008, Kazan
V. N. Kushnir
Belarus State University of Informatics and Radioelectronics; Theoretical Physics Department, Belarusian State University
Email: gaifullin.rashid@gmail.com
Belarus, 220013, Minsk; Belarus, 220030, Minsk
M. Yu. Kupriyanov
Skobeltsyn Institute of Nuclear Physics, Moscow State University
Email: gaifullin.rashid@gmail.com
Russia, 119992, Moscow
A. A. Golubov
Faculty of Science and Technology and MESA+ Institute of Nanotechnology, University of Twente
Email: gaifullin.rashid@gmail.com
The Netherlands, 7500 AE, Enschede
L. R. Tagirov
Institute of Physics, Kazan Federal University; Zavoisky Physical-Technical Institute, FRC Kazan Scientic Center of the Russian Academy of Sciences
Email: gaifullin.rashid@gmail.com
Russia, 420008, Kazan; Russia, 420029, Kazan
References
- Bergeret F.S., Volkov A.F., Efetov K.B. // Rev. Mod. Phys. 2005. V. 77. No. 4. P. 1321.
- Fominov Ya.V., Golubov A.A., Karminskaya T.Y. et al. // Письма в ЖЭТФ. 2010. Т. 91. № 6. C. 329; Fominov Y.V., Golubov A.A., Karminskaya T.Y. et al. // JETP Lett. 2010. V. 91. No. 6. P. 308.
- Fominov Ya.V., Golubov A.A., Kupriyanov M.Y. // JETP Lett. 2003. V. 77. No. 9. P. 510.
- Гайфуллин Р.Р., Кушнир В.Н., Деминов Р.Г. и др. // ФТТ. 2019. Т. 61. № 9. С. 1585; Gaifullin R.R., Kushnir V.N., Deminov R.G. et al. // Phys. Solid State. 2019. V. 61. No. 9. P. 1535.
- Fominov Y.V., Chtchelkatchev N.M., Golubov A.A. // Phys. Rev. B. 2002. V. 66. No. 1. Art. No. 014507.
- Karabassov T., Stolyarov V.S., Golubov A.A. et al. // Phys. Rev. B. 2019. V. 100. No. 10. Art. No. 104502.
- Kушнир В.Н. // Докл. БГУИР. 2016. Т. 97. № 3. С. 18.
- Кушнир В.Н. Сверхпроводимость слоистых структур. Минск: БНТУ, 2010. 234 с.
- Kushnir V.N., Prischepa S.L., Cirillo C. et al. // Phys. Rev. B. 2011. V. 84. No. 21. Art. No. 214512.
Supplementary files






