Магнитные и упругие колебания в кристалле марганец-цинковой шпинели в области спиновой переориентации
- Авторы: Котов Л.Н.1, Северин П.А.1, Власов В.С.1, Миронов В.В.1
-
Учреждения:
- Федеральное государственное бюджетное образовательное учреждение высшего образования “Сыктывкарский государственный университет”
- Выпуск: Том 87, № 3 (2023)
- Страницы: 422-428
- Раздел: Статьи
- URL: https://bakhtiniada.ru/0367-6765/article/view/135308
- DOI: https://doi.org/10.31857/S0367676522700740
- EDN: https://elibrary.ru/HGVGUQ
- ID: 135308
Цитировать
Полный текст
Аннотация
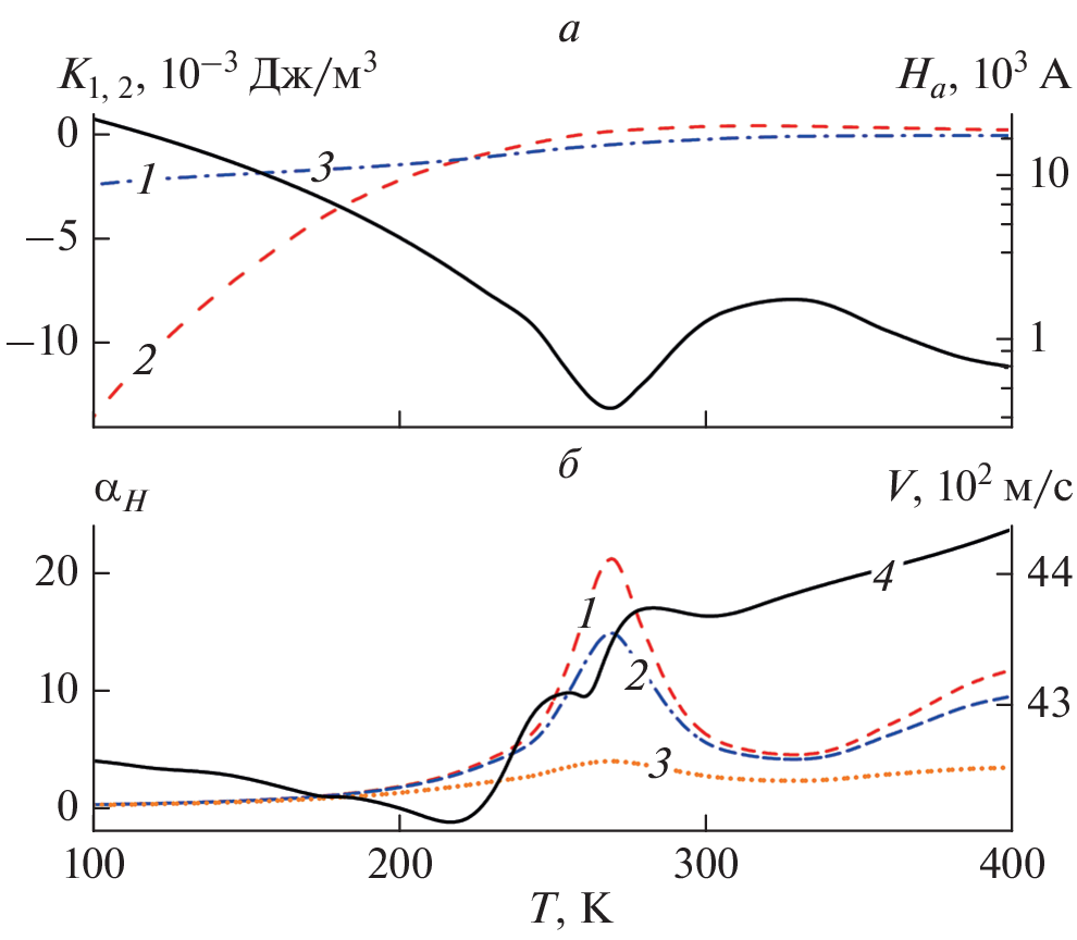
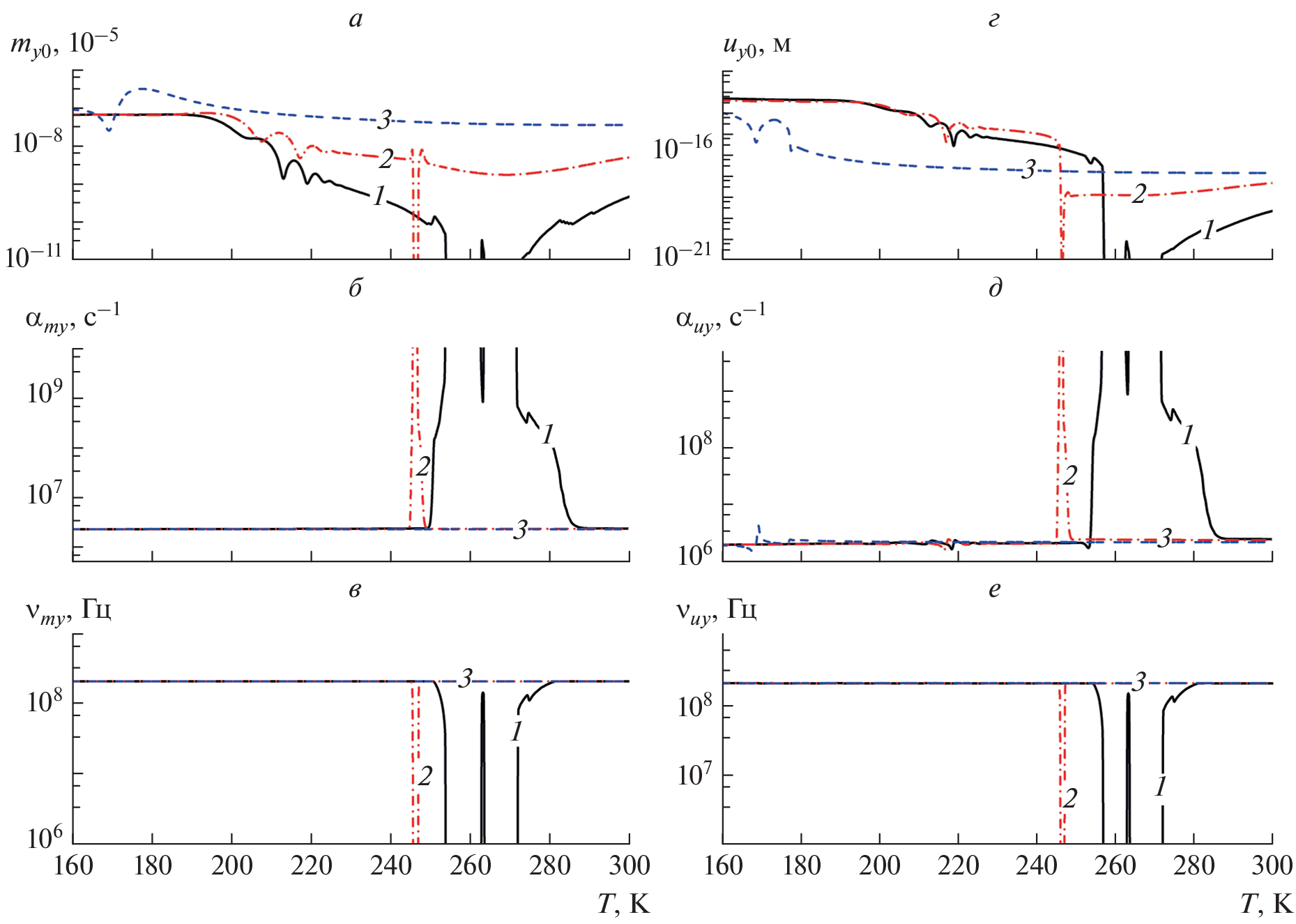
Получена формула для параметра магнитной диссипации ферримагнитных кристаллов в зависимости от постоянного магнитного поля и поля анизотропии. Показано, что в области магнитной переориентации в кристалле марганец-цинковой шпинели возбуждаются магнитные и упругие колебания бесконечно малой амплитуды и низкой частоты, которые характеризуются гигантским затуханием в широком интервале температур.
Об авторах
Л. Н. Котов
Федеральное государственное бюджетное образовательное учреждение высшего образования“Сыктывкарский государственный университет”
Автор, ответственный за переписку.
Email: kotovln@mail.ru
Россия, Сыктывкар
П. А. Северин
Федеральное государственное бюджетное образовательное учреждение высшего образования“Сыктывкарский государственный университет”
Email: kotovln@mail.ru
Россия, Сыктывкар
В. С. Власов
Федеральное государственное бюджетное образовательное учреждение высшего образования“Сыктывкарский государственный университет”
Email: kotovln@mail.ru
Россия, Сыктывкар
В. В. Миронов
Федеральное государственное бюджетное образовательное учреждение высшего образования“Сыктывкарский государственный университет”
Email: kotovln@mail.ru
Россия, Сыктывкар
Список литературы
- Котов Л.Н., Северин П.А., Власов В.С. и др. // ФТТ. 2018. Т. 60. № 6. С. 1142; Kotov L.N., Severin P.A., Vlasov V.S. et al. // Phys. Solid State. 2018. V. 60. No. 6. P. 1153.
- Котов Л.Н., Северин П.А., Власов В.С., Носов Л.С. // Матем. структ. и моделир. 2016. Т. 37. № 1. С. 36.
- Власов В.С., Котов Л.Н., Липина Е.С. и др. // Изв. РАН. Сер. физ. 2013. Т. 77. № 10. С. 1459; Vlasov V.S., Kotov L.N., Lipina E.S. et al. // Bull. Russ. Acad. Sci. Phys. 2013. V. 77. No. 10. P. 1255.
- Власов В.С., Шавров В.Г., Щеглов В.И. // Радиотехн. и электрон. 2014. Т. 59. № 5. С. 482; Vlasov V.S., Shavrov V.G., Shcheglov V.I. // J. Commun. Technol. Electron. 2014. V. 59. No. 5. P. 441.
- Плешев Д.А., Асадуллин Ф.Ф., Оганезова Н.А. и др. // Изв. РАН. Сер. физ. 2019. Т. 83. № 7. С. 987; Pleshev D.A., Asadullin F.F., Oganezova N.A. et al. // Bull. Russ. Acad. Sci. Phys. 2019. V. 83. No. 7. P. 901.
- Власов В.С., Котов Л.Н., Шавров В.Г., Щеглов В.И. // Радиотехн. и электрон. 2009. Т. 54. С. 863.
- Шутилов В.А., Котов Л.Н., Мирзоахметов Х., Сарнацкий В.М. // ФТТ. 1986. Т. 28. № 6. С. 1783.
- Голдин Б.А., Котов Л.Н., Зарембо Л.К., Карпачев С.Н. Спин-фононные взаимодействия в кристаллах (ферритах). Л.: Наука, 1991. 150 с.
- Баженов М.В., Котов Л.К. // Акуст. журн. 1997. Т. 43. № 6. С. 744.
- Котов Л.Н., Карпачев С.Н. // Письма в ЖТФ. 2002. Т. 28. № 3. С. 49; Kotov L.N., Karpachev S.N. // Tech. Phys. Lett. 2002. V. 28. P. 105.
Дополнительные файлы






