Магнитооптическая спектроскопия композитов GaSb–MnSb
- Авторы: Ганьшина Е.А.1, Припеченков И.М.1, Перова Н.Н.1, Каназакова Е.С.1, Овешников Л.Н.2, Джалолиддинзода М.3, Риль А.И.4, Грановский А.Б.1,5, Аронзон Б.А.2
-
Учреждения:
- Федеральное государственное бюджетное образовательное учреждение высшего образования “Московский государственный университет имени М.В. Ломоносова”, физический факультет
- Федеральное государственное бюджетное учреждение науки “Физический институт имени П.Н. Лебедева Российской академии наук”
- Федеральное государственное автономное образовательное учреждение высшего образования “Национальный исследовательский технологический университет “МИСиС”
- Федеральное государственное бюджетное учреждение науки “Институт общей и неорганической химии имени Н.С. Курнакова Российской академии наук”
- Федеральное государственное бюджетное учреждение науки “Институт теоретической и прикладной электродинамики Российской академии наук”
- Выпуск: Том 87, № 3 (2023)
- Страницы: 328-332
- Раздел: Статьи
- URL: https://bakhtiniada.ru/0367-6765/article/view/135291
- DOI: https://doi.org/10.31857/S0367676522700570
- EDN: https://elibrary.ru/HEZIBP
- ID: 135291
Цитировать
Полный текст
Аннотация
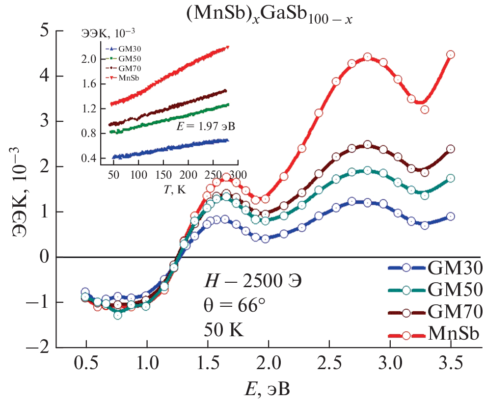
Синтезированы поликристаллические образцы композитов (GaSb)100 – x(MnSb)x с x = 69.2, 52.0 и 31.7 мол. %, соединений MnSb, Mn2Sb и исследованы их магнитооптические свойства в геометрии экваториального (поперечного) эффекта Керра. Показано отличие магнитооптических спектров для родственных соединений MnSb и Mn2Sb. Аномальное температурное поведение магнитооптического сигнала в композитах и MnSb при понижении температуры связывается с перераспределением заселенности d-состояний с противоположным индексом спина.
Об авторах
Е. А. Ганьшина
Федеральное государственное бюджетное образовательное учреждение высшего образования“Московский государственный университет имени М.В. Ломоносова”, физический факультет
Автор, ответственный за переписку.
Email: eagan@mail.ru
Россия, Москва
И. М. Припеченков
Федеральное государственное бюджетное образовательное учреждение высшего образования“Московский государственный университет имени М.В. Ломоносова”, физический факультет
Email: eagan@mail.ru
Россия, Москва
Н. Н. Перова
Федеральное государственное бюджетное образовательное учреждение высшего образования“Московский государственный университет имени М.В. Ломоносова”, физический факультет
Email: eagan@mail.ru
Россия, Москва
Е. С. Каназакова
Федеральное государственное бюджетное образовательное учреждение высшего образования“Московский государственный университет имени М.В. Ломоносова”, физический факультет
Email: eagan@mail.ru
Россия, Москва
Л. Н. Овешников
Федеральное государственное бюджетное учреждение науки“Физический институт имени П.Н. Лебедева Российской академии наук”
Email: eagan@mail.ru
Россия, Москва
М. Джалолиддинзода
Федеральное государственное автономное образовательное учреждение высшего образования“Национальный исследовательский технологический университет “МИСиС”
Email: eagan@mail.ru
Россия, Москва
А. И. Риль
Федеральное государственное бюджетное учреждение науки“Институт общей и неорганической химии имени Н.С. Курнакова Российской академии наук”
Email: eagan@mail.ru
Россия, Москва
А. Б. Грановский
Федеральное государственное бюджетное образовательное учреждение высшего образования“Московский государственный университет имени М.В. Ломоносова”, физический факультет; Федеральное государственное бюджетное учреждение науки
“Институт теоретической и прикладной электродинамики Российской академии наук”
Email: eagan@mail.ru
Россия, Москва; Россия, Москва
Б. А. Аронзон
Федеральное государственное бюджетное учреждение науки“Физический институт имени П.Н. Лебедева Российской академии наук”
Email: eagan@mail.ru
Россия, Москва
Список литературы
- Liang D., Yang Y.B., Yang W.Y. et al. // J. Alloys. Compounds. 2021. V. 856. Art. No. 158184.
- Okita T., Makino Y. // JPSJ. 1968. V. 25. No. 1. P. 120.
- Oveshnikov L.N., Nekhaeva E.I., Kochura A.V. et al. // Beilstein J. Nanotechnol. 2018. V. 9. No. 1. P. 2457.
- Ganesan K., Bhat H.L. // J. Supercond. Nov. Magn. 2008. V. 21. P. 391.
- Sato K., Katayama-Yoshida H. // Semicond. Sci. Technol. 2002. V. 17. No. 4. P. 367.
- Schmidt G. // J. Phys. D. 2005. V. 38. No. 7. Art. No. R107.
- Коплак О.В., Поляков А.А., Давыдов А.Б. и др. // ЖЭТФ. 2015 Т. 147. № 6. С. 1170; Koplak O.V., Polyakov A.A., Davydov A.B. et al. // JETP. 2015. V. 120. No. 6. P. 1012.
- http://evicomagnetics.com/productss/magneto-optical-kerr-microscope-magnetometer.
- Teramoto I., Van Run A. // J. Phys. Chem. Solids. 1968. V. 29. No. 2. P. 347.
- Kainzbauer P., Richter K.W., Ipser H. // JPED. 2016. V. 37. No. 4. P. 459.
- Ганьшина Е.А., Вашук М.В., Виноградов А.Н. и др. // ЖЭТФ. 2004. Т. 125. № 5. С. 1172; Gan’shina E.A., Vashuk M.V., Vinogradov A.N. et al. // JETP. V. 98. No. 5. P. 1027.
- Gan’shina E.A., Golik L.L., Kovalev V.I. et al. // Solid State Phenom. 2012. V. 190. P. 562.
Дополнительные файлы






