Spectra of the effects of magnetic birefringence and dichroism in magnetic colloids with different particle sizes
- Authors: Yerin C.V.1, Vivchar V.I.1, Shevchenko E.I.1
-
Affiliations:
- North Caucasus Federal University
- Issue: Vol 87, No 3 (2023)
- Pages: 315-320
- Section: Articles
- URL: https://bakhtiniada.ru/0367-6765/article/view/135289
- DOI: https://doi.org/10.31857/S0367676522700557
- EDN: https://elibrary.ru/HEUGWG
- ID: 135289
Cite item
Full Text
Abstract
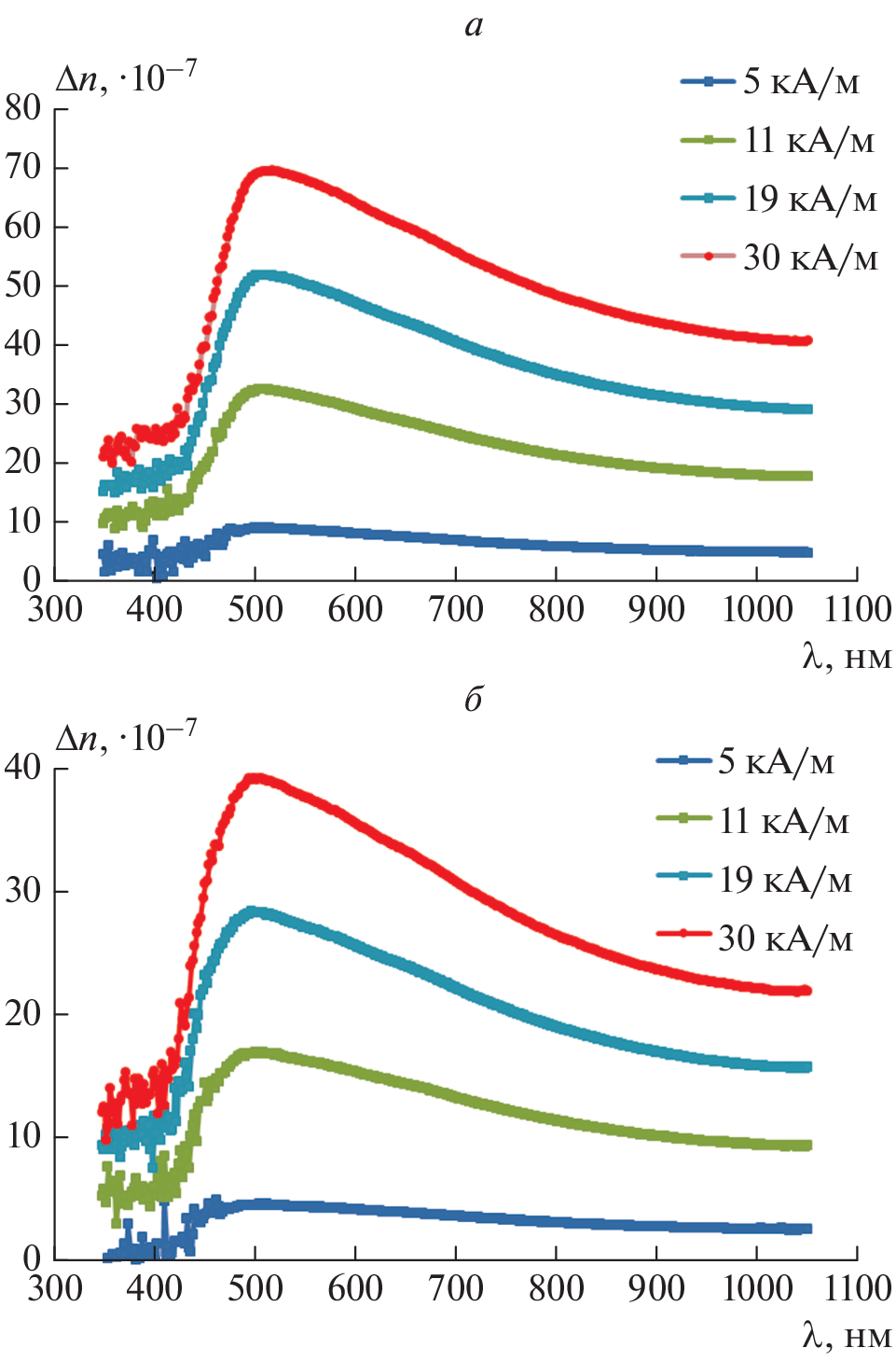
Experimental studies of the spectral dependences of the effects of birefringence and dichroism in magnetic colloids with magnetite nanoparticles with an average size of 5.5 and 8 nm have been carried out. It is shown that the magnitude of the effects in a sample with larger particles is approximately two times greater at the same volume concentration. Possible reasons for this difference are analyzed, considering the polydispersity of the samples, as well as the possibility of the presence of magnetically hard and superparamagnetic particles in them. The calculations of the spectra of the effects of birefringence and dichroism showed good agreement with the experimental data.
About the authors
C. V. Yerin
North Caucasus Federal University
Author for correspondence.
Email: exiton@inbox.ru
Russia, 355017, Stavropol
V. I. Vivchar
North Caucasus Federal University
Email: exiton@inbox.ru
Russia, 355017, Stavropol
E. I. Shevchenko
North Caucasus Federal University
Email: exiton@inbox.ru
Russia, 355017, Stavropol
References
- Zahn M. // J. Nanopart. Res. 2001. V. 3. P. 73.
- Davies H.W., Llewellyn J.P. // J. Phys. D. 1980. V. 13. P. 2327.
- Скибин Ю.Н., Чеканов В.В., Райхер Ю.Л. // ЖЭТФ. 1977. Т. 72. № 3. С. 949; Skibin Yu.N., Chekanov V.V., Raiker Yu.L. // JETP. 1977. V. 45. No. 3. P. 496.
- Llewellyn J.P. // J. Phys. D. 1983. V. 16. P. 95.
- Jennings B.R., Xu M., Ridler P.J. // Proc. Royal Soc. A. 2000. V. 456. P. 891.
- Donatini F., Neveu S., Monin J. // J. Magn. Magn. Mater. 1996. V. 162. P. 69.
- Mehta R.V., Patel Rajesh, Upadhyay R.V. // Phys. Rev. B. 2006. V. 74. No. 19. Art. No. 195127.
- Radha S., Mohan S., Pai C. // Physica B. 2014. V. 448. P. 341.
- Philip J., Laskar J.M. // J. Nanofluids. 2012. V. 1. P. 3.
- Horng H.E., Chen C.S., Fang K.L. et al. // Appl. Phys. Lett. 2004. V. 85. P. 5592.
- Philip J., Mahendran V., Felicia L.J. // J. Nanofluids. 2013. V. 2. P. 112.
- Mahendran V., Philip J. // Sens. Actuators. 2013. V. B 185. P. 488.
- Du T, Yuan S, Luo W. // Appl. Phys. Lett. 1994. V. 65. P. 1844.
- Horng H.E., Hong C.Y., Lee S.L. et al. // J. Appl. Phys. 2003. V. 88. P. 5904.
- Pu S., Chen X., Chen L. et al. // Appl. Phys. Lett. 2005. V. 87. Art. No. 021901.
- Das P., Colombo M., Prosperi D. // Colloids Surf. B. 2019. V. 174. P. 42.
- Scholten P.C. // IEEE Trans. Magn. 1980. V. MAG-16. No. 2. P. 221.
- Reed W., Fendler J.H. // J. Appl. Phys. 1986. V. 59. No. 8. P. 2914.
- Такетоми С., Тикадзуми С. Магнитная жидкость. М.: Мир, 1993. 272 с.
- Ерин К.В.// Опт. и спектроск. 2016. Т. 120. № 2. С. 333; Erin K.V. // Opt. Spectrosс. 2016. V. 120. No. 2. P. 320.
- Socoliuc V., Popescu L.B. // J. Magn. Magn. Mater. 2012. V. 324. P. 113.
- Yerin C.V., Lykhmanova V.I., Yerina M.V. // MHD. 2018. V. 54. No. 1–2. P. 155.
- Yerin C., Lykhmanova V., Erina M. // EPJ Web Conf. 2018. V. 185. Art. No. 09007.
- Ерин К.В. // Неорг. матер. 2022. Т. 58. № 4. С. 421; Yerin K.V. // Inorg. Mater. 2022. V. 58. No. 4. P. 403.
- Spartakov A.A., Trusov A.A., Vojtylov V.V., Rudakova E.V. // Colloids Surf. A. 1999. V. 148. P. 9.
- Hasmonay E., Dubois E., Bacri J.-C. et al. // Eur. Phys. J. B. 1998. V. 5. P. 859.
Supplementary files






