Peculiarities of excitation of the Earth–ionosphere waveguide at frequencies above the frequency of the first transverse resonance
- Authors: Larchenko A.V.1, Lebed O.M.1, Pilgaev S.V.1, Sidorenko D.I.1, Fedorenko Y.V.1
-
Affiliations:
- Polar Geophysical Institute
- Issue: Vol 87, No 2 (2023)
- Pages: 278-285
- Section: Articles
- URL: https://bakhtiniada.ru/0367-6765/article/view/135284
- DOI: https://doi.org/10.31857/S036767652270048X
- EDN: https://elibrary.ru/AIXQDM
- ID: 135284
Cite item
Full Text
Abstract
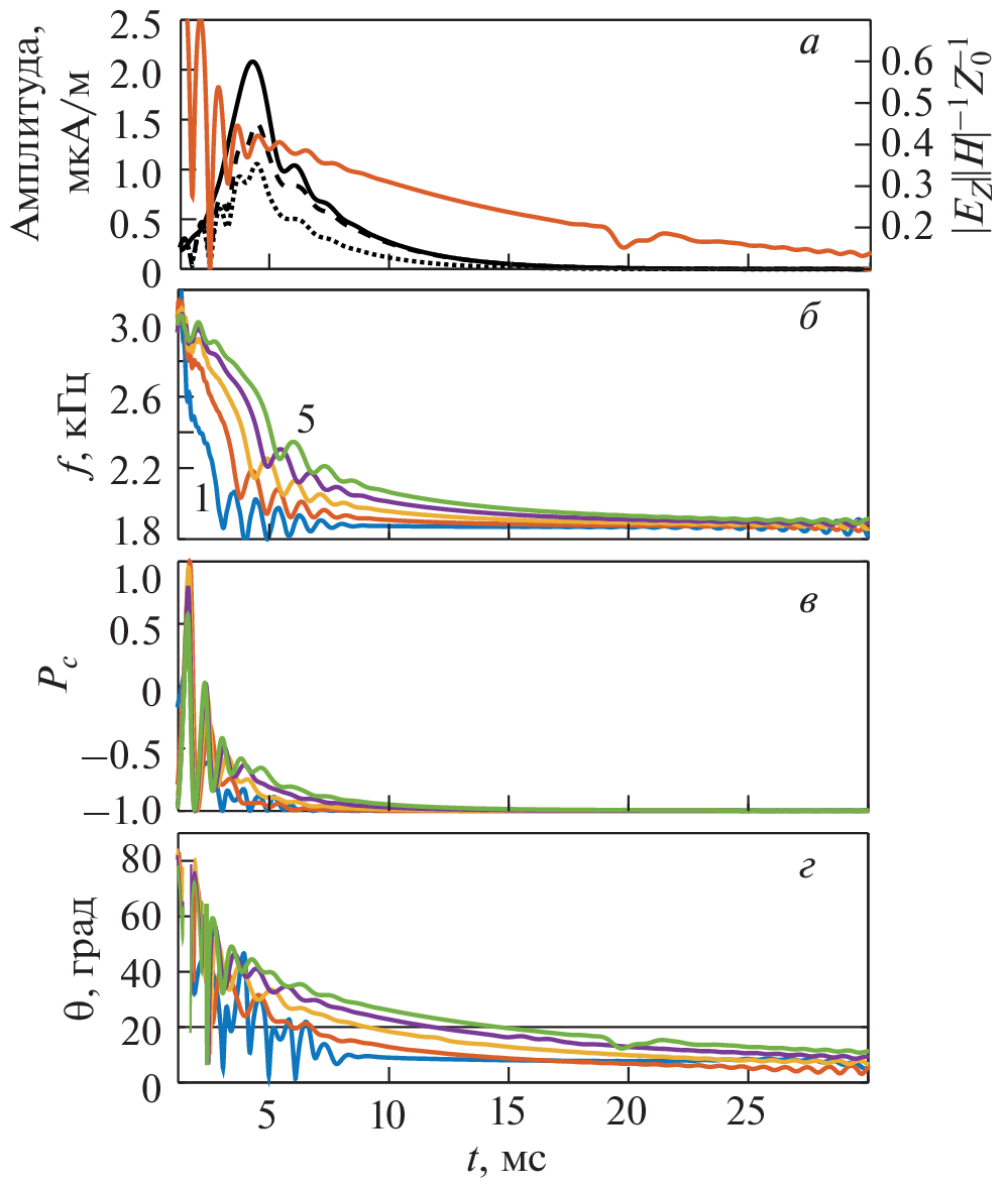
Experimental data on the registration of signals from tweek-atmospherics and an ionospheric source formed because of heating of the ionosphere at frequencies higher than the frequency of the first transverse resonance of the Earth–ionosphere waveguide (~1.8 kHz) are considered. It is shown that, far from the source, at frequencies near the resonance, almost complete circular left-hand polarization of the horizontal magnetic field is observed, and the angles of incidence are small and range from 10° to 35°. A joint analysis of observational data and simulation results showed that it is possible to calculate the effective reflection height from estimates of the incidence angle, which can be used to diagnose the lower ionosphere. But, in the case of an ionospheric source, it is important to take into account the inhomogeneity of its radiation pattern.
About the authors
A. V. Larchenko
Polar Geophysical Institute
Author for correspondence.
Email: alexey.larchenko@gmail.com
Russia, 184209, Apatity
O. M. Lebed
Polar Geophysical Institute
Email: alexey.larchenko@gmail.com
Russia, 184209, Apatity
S. V. Pilgaev
Polar Geophysical Institute
Email: alexey.larchenko@gmail.com
Russia, 184209, Apatity
D. I. Sidorenko
Polar Geophysical Institute
Email: alexey.larchenko@gmail.com
Russia, 184209, Apatity
Yu. V. Fedorenko
Polar Geophysical Institute
Email: alexey.larchenko@gmail.com
Russia, 184209, Apatity
References
- Yamashita M. // J. Atm. Terr. Phys. 1978. V. 40. No. 2. P. 151.
- Ohya H., Shiokawa K., Miyoshi Y. // Earth Planets Space. 2008. V. 60. P. 837.
- Maurya A.K., Singh R., Veenadhari B. et al. // J. Geophys. Res. 2012. V. 117. Art. No. A05301.
- Tsuruda K., Hayashi K. // J. Atm. Terr. Phys. 1975. V. 37. No. 9. P. 1193.
- Fedorenko Yu.V., Tereshchenko E.D., Pilgaev S.V. et al. // Radio Sci. 2014. V. 49. No. 12. P. 1 254.
- Ларченко А.В., Лебедь О.М., Благовещенская Н.Ф. и др. // Изв. вузов. Радиофиз. 2019. Т. 62. № 6. С. 429; Larchenko A.V., Lebed’ O.M., Pilgaev S.V. et al. // Radiophys. Quant. Electron. 2019. V. 62. No. 6. P. 385.
- Ostapenko A.A., Titova E.E., Nickolaenko A.P. et al. // Ann. Geophys. 2010. V. 28. No. 1. P. 193.
- Shvets A.V., Hayakawa M. // J. Atm. Terr. Phys. 1975. V. 37. No. 9. P. 1193.
- Пильгаев С.В., Ларченко А.В., Федоренко Ю.В. и др. // ПТЭ. 2021. № 5. С. 115; Pil’gaev S.V., Larchenko A.V., Fedorenko Y.V. et al. // Instrum. Exper. Tech. 2021. V. 64. No. 5. P. 744.
- Пильгаев С.В., Ларченко А.В., Филатов М.В. и др. // ПТЭ. 2018. № 6. С. 49; Pilgaev S.V., Larchenko A.V., Filatov M.V. et al. // Pil’gaev S.V., Larchenko A.V., Fedorenko Y.V. et al. // Instrum. Exper. Tech. 2018. V. 61. No. 6. P. 809.
- Лебедь О.М., Федоренко Ю.В., Благовещенская Н.Ф. и др. // Геомагн. и аэрон. 2017. Т. 6, № 57. С. 751; Lebed’ O.M., Fedorenko Y.V., Larchenko A.V. et al. // Geomagn. Aeron. 2017. Т. 57. No. 6. С. 698.
- Рытов С.М. Введение в статистическую радиофизику. Ч. 1. Случайные процессы. М.: Наука: ГРФМЛ, 1976. 494 с.
- Lehtinen N.G., Inan U.S. // J. Geophys. Res. Space Phys. 2008. V. 113. No. 6. Art. No. 06301.
- Li H.F., He W., He Q.Q., Zheng J.J. // Adv. Engin. Res. 2016. V. 115. P. 259.
- Moore R. ELF/VLF wave generation by modulated HF heating of the auroral electrojet: PhD thesis. Stanford University, 2007. 107 p.
- Rietveld M.T., Mauelshagen H.P., Stubbe P. et al. // J. Geophys. Res. Space Phys. 1987. V. 92. No. A8. Art. No. 8707.
- Rietveld M.T., Stubbe P., Kopka H. // Radio Sci. 1989. V. 24. No. 3. P. 270.
- Cohen M.B., Golkowski M., Inan U.S. // Geophys. Res. Lett. 2008. V. 35. No. L02. Art. No. 02806.
- www.geomag.bgs.ac.uk/data_service/models_compass/ igrf_calc.html.
- https://ccmc.gsfc.nasa.gov/modelweb/models/msis_vitmo.php.
- https://ccmc.gsfc.nasa.gov/modelweb/models/iri2016_ vitmo.php.
- Korja T., Engels M., Zhamaletdinov A.A. et al. // Earth Planets Space. 2002. V. 54. No. 5. P. 535.
Supplementary files







