Low-temperature properties of a silicon-based sub-THz detector
- Authors: Khisameeva A.R.1, Shchepetilnikov A.V.1, Fedotova Y.V.1, Dremin A.A.1, Kukushkin I.V.1
-
Affiliations:
- Institute of Solid State Physics of the Russian Academy of Science
- Issue: Vol 87, No 2 (2023)
- Pages: 172-176
- Section: Articles
- URL: https://bakhtiniada.ru/0367-6765/article/view/135268
- DOI: https://doi.org/10.31857/S0367676522700326
- EDN: https://elibrary.ru/AEANFW
- ID: 135268
Cite item
Full Text
Abstract
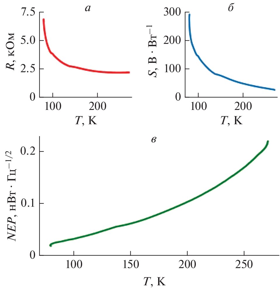
Characteristics of the silicon-based sub-THz plasmon detector were studied in a wide temperature range, down to the temperature of the liquid nitrogen. Temperature dependences of the detector sensitivity were obtained, and its noise characteristics were studied. The frequency dependence of the sensitivity in the frequency range 70–120 GHz was measured at room temperature, with the maximum of 25 V/W reached at the frequency of 96 GHz. The noise equivalent power of the detector under study was estimated assuming that the main source of noise was of Nyquist nature and varied from a value of 2 · 10–10 W · Hz–1/2 at room temperature down to 2 · 10–11 W · Hz–1/2 at temperature of the liquid nitrogen. Additionally, the volt-ampere characteristics of the sub-THz detector were investigated. It was found that the feature in the differential resistance and sensitivity as a function of the applied DC voltage emerges at the temperature of the liquid nitrogen.
About the authors
A. R. Khisameeva
Institute of Solid State Physics of the Russian Academy of Science
Author for correspondence.
Email: akhisameeva@issp.ac.ru
Russia, 142432, Chernogolovka
A. V. Shchepetilnikov
Institute of Solid State Physics of the Russian Academy of Science
Email: akhisameeva@issp.ac.ru
Russia, 142432, Chernogolovka
Ya. V. Fedotova
Institute of Solid State Physics of the Russian Academy of Science
Email: akhisameeva@issp.ac.ru
Russia, 142432, Chernogolovka
A. A. Dremin
Institute of Solid State Physics of the Russian Academy of Science
Email: akhisameeva@issp.ac.ru
Russia, 142432, Chernogolovka
I. V. Kukushkin
Institute of Solid State Physics of the Russian Academy of Science
Email: akhisameeva@issp.ac.ru
Russia, 142432, Chernogolovka
References
- Shuvaev A., Muravev V.M., Gusikhin P.A. et al. // Phys. Rev. Lett. 2021. V. 126. No. 13. Art. No. 136801.
- Siegel P.H. // IEEE Trans. Microwave Theory Techn. 2004. V. 52. No. 10. P. 2438.
- Siegel P.H. // IEEE Trans. Antennas Propag. 2007. V. 55. No. 11. P. 2957.
- Federici J., Moeller L. // J. Appl. Phys. 2010. V. 107. No. 11. P. 6.
- Song H.J., Nagatsuma T. // IEEE Trans. Terahertz Sci. Technol. 2011. V. 1. No. 1. P. 256.
- Koenig S., Lopez-Diaz D., Antes J. et al. // Nature Photon. 2013. V. 7. No. 12. P. 977.
- Chen Z., Ma X., Zhang B. et al. // China Commun. 2019. V. 16. No. 2. P. 1.
- Ogawa Y., Kawase K., Yamashita M. et al. // Proc. CLEO. V. 1. (Sun Francisco, 2004). P. 3.
- Shen Y.C., Lo A.T., Taday P.F. et al. // Appl. Phys. Lett. 2005. V. 86. No. 24. Art. No. 241116.
- Tzydynzhapov G., Gusikhin P., Muravev V. et al. // J. Infrared Millim. Terahertz Waves. 2020. V. 41. No. 6. P. 632.
- Shchepetilnikov A.V., Gusikhin P.A., Muravev V.M. et al. // Appl. Opt. 2021. V. 60. No. 33. Art. No. 10448.
- Dyakonov M.I., Shur M.S. //IEEE Trans. Electron Devices. 1996. V. 43. No. 10. P. 1640.
- Lü J.Q., Shur M.S. // Appl. Phys. Lett. 2001. V. 78. No. 17. P. 2587.
- Fetterman H.R., Clifton B.J., Tannenwald P.E. et al. // Appl. Phys. Lett. 1974. V. 24. No. 2. P. 70.
- Karasik B.S., Sergeev A.V., Prober D.E. // IEEE Trans. Terahertz Sci. Technol. 2011. V. 1. No. 1. P. 97.
- Whatmore R.W. // Rep. Prog. Phys. 1986. V. 49. No. 12. P. 1335.
- Fernandes L.O.T., Kaufmann P., Marcon R. et al. // Proc. XXXth URSI GASS. (Istanbul, 2011). P. 1.
- Muravev V.M., Gusikhin P.A., Andreev I.V. et al. // Phys. Rev. Lett. 2015. V. 114. No. 10. Art. No. 106805.
- Muravev V.M., Gusikhin P.A., Zarezin A.M. et al. // Phys. Rev. B. 2019. V. 99. No. 24. Art. No. 241406.
- Muravev V.M., Kukushkin I.V. // Appl. Phys. Lett. 2012. V. 100. No. 8. Art. No. 082102.
- Муравьев В.М., Соловьев В.В., Фортунатов А.А. и др. // Письма в ЖЭТФ. 2016. Т. 103. № 12. С. 891; Muravev V.M., Solov’ev V.V., Fortunatov A.A. et al. // JETP Lett. 2016. V. 103. No. 12. P. 792.
- Shchepetilnikov A.V., Kaysin B.D., Gusikhin P.A. et al. // Opt. Quantum Electron. 2019. V. 51. No. 12. P. 1.
- Shchepetilnikov A.V., Gusikhin P.A., Muravev V.M. et al. // J. Infrared Millim. Terahertz Waves. 2020. V. 41. No. 6. P. 655.
Supplementary files






