Frequency multiplication in a high-current relativistic gyrotron for obtaining high-power THz-band radiation
- Authors: Leontiev A.N.1, Rozental R.M.1,2, Ginzburg N.S.1, Zotova I.V.1, Malkin A.M.1,2, Sergeev A.S.1
-
Affiliations:
- Federal Research Center Institute of Applied Physics of the Russian Academy of Sciences
- Lobachevsky State University of Nizhny Novgorod
- Issue: Vol 87, No 1 (2023)
- Pages: 56-60
- Section: Articles
- URL: https://bakhtiniada.ru/0367-6765/article/view/135247
- DOI: https://doi.org/10.31857/S0367676522700107
- EDN: https://elibrary.ru/JJCLJD
- ID: 135247
Cite item
Full Text
Abstract
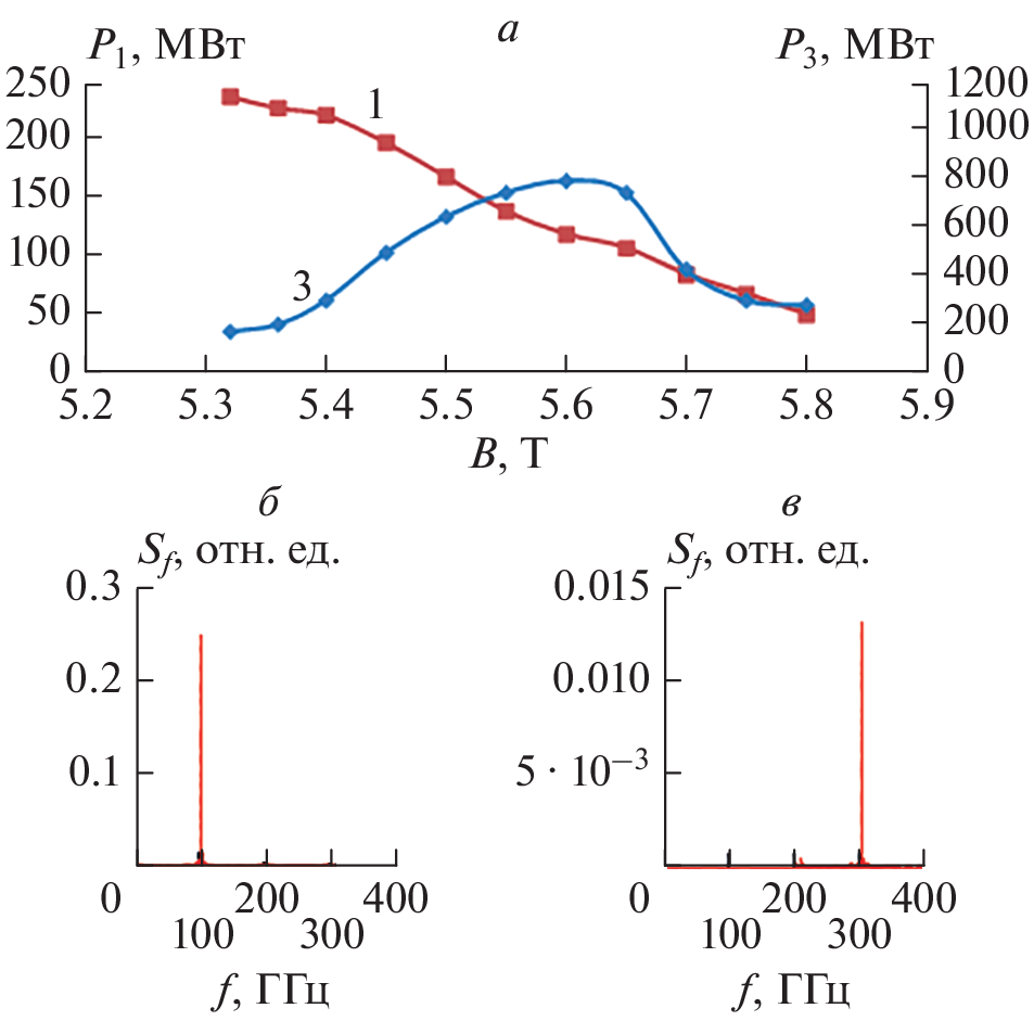
Using averaged equations and 3D particle-in-cell simulations, we investigate the frequency multiplication regime in a high-current relativistic gyrotron operating in 0.1 THz frequency band. We demonstrate that the ratio of the 3rd harmonic power and the fundamental cyclotron resonance power can reach 0.4–0.8%, which aloows for obtaining the 0.3 THz radiation with sub-MW output power level.
About the authors
A. N. Leontiev
Federal Research Center Institute of Applied Physics of the Russian Academy of Sciences
Author for correspondence.
Email: leontiev@ipfran.ru
Russia, 603950, Nizhny Novgorod
R. M. Rozental
Federal Research Center Institute of Applied Physics of the Russian Academy of Sciences; Lobachevsky State University of Nizhny Novgorod
Email: leontiev@ipfran.ru
Russia, 603950, Nizhny Novgorod; Russia, 603950, Nizhny Novgorod
N. S. Ginzburg
Federal Research Center Institute of Applied Physics of the Russian Academy of Sciences
Email: leontiev@ipfran.ru
Russia, 603950, Nizhny Novgorod
I. V. Zotova
Federal Research Center Institute of Applied Physics of the Russian Academy of Sciences
Email: leontiev@ipfran.ru
Russia, 603950, Nizhny Novgorod
A. M. Malkin
Federal Research Center Institute of Applied Physics of the Russian Academy of Sciences; Lobachevsky State University of Nizhny Novgorod
Email: leontiev@ipfran.ru
Russia, 603950, Nizhny Novgorod; Russia, 603950, Nizhny Novgorod
A. S. Sergeev
Federal Research Center Institute of Applied Physics of the Russian Academy of Sciences
Email: leontiev@ipfran.ru
Russia, 603950, Nizhny Novgorod
References
- Sabchevski S., Glyavin M., Mitsudo S. et al. // J. Infrared Millim. THz Waves. 2021. V. 42. No. 7. P. 715.
- Thumm M. // J. Infrared Millim. THz Waves. 2020. V. 41. No. 1. P. 1.
- Rozental R.M., Danilov Yu.Yu., Leontyev A.N. et al. // IEEE Trans. Electron Dev. 2022. V. 69. No. 3. P. 1451.
- Завольский Н.А., Нусинович Г.С., Павельев А.Б. // Изв. вузов. Радиофиз. 1988. Т. 31. № 3. С. 361.
- Idehara T., Ogawa I., Shimizu Y., Tatsukawa T. // J. Infrared Millim. THz Waves. 1998. V. 19. P. 803.
- Golubiatnikov G.Yu., Koshelev M.A., Tsvetkov A.I. et al. // IEEE Trans. Terahertz Sci. Tech. 2020. V. 10. No. 5. P. 502.
- Glyavin M., Zotova I., Rozental R. et al // J. Infrared Millim. THz Waves. 2020. V. 41. P. 1245.
- Братман В.Л., Гинзбург Н.С., Нусинович Г.С. и др. // В кн.: Релятивистская высокочастотная электроника. Горький: ИПФАН СССР, 1979. С. 157.
- Dumbrajs O., Saito T., Tatematsu Y., Yamaguchi Y. // Phys. Plasmas. 2016. V. 23. Art. No. 093109.
- Ginzburg N.S., Nusinovich G.S., Zavolsky N.A. // Int. J. Electron. 1986. V. 61. No. 6. P. 881.
Supplementary files






