Gyrokinetic calculations of heat fluxes in the T-10 tokamak ohmic discharge
- Authors: Isaev M.Y.1, Anuaruly O.2, Kuyanov A.Y.1, Smirnov D.V.1
-
Affiliations:
- National Research Centre “Kurchatov Institute”
- Al-Farabi Kazakh National University
- Issue: Vol 50, No 8 (2024)
- Pages: 823-841
- Section: TOKAMAKS
- URL: https://bakhtiniada.ru/0367-2921/article/view/280602
- DOI: https://doi.org/10.31857/S0367292124080018
- EDN: https://elibrary.ru/OBJEGQ
- ID: 280602
Cite item
Full Text
Abstract
The results of the first gyrokinetic calculations of anomalous heat fluxes in the T-10 tokamak plasma obtained for typical conditions of a discharge No. 71568 with ohmic heating are presented. The calculations have been performed at the Kurchatov Institute Supercomputer Center. The experimentally measured electron density and temperature profiles, ion temperature profiles with a large gradient leading to the so-called ion temperature gradient (ITG) turbulence, and also the profiles of carbon and oxygen impurity densities measured using the charge exchange recombination spectroscopy (CXRS) active diagnostics are used as input data. The “experimental” electron and ion heat fluxes are estimated from the heat balance condition using the ASTRA transport code. The analytical dependence of heat fluxes on the effective plasma charge is presented. Gyrokinetic calculations of anomalous electron and ion heat fluxes are performed for the T-10 tokamak for the first time. The well-known gyrokinetic GENE code is used in the so-called linear and nonlinear approximation with fixed density and temperature gradients taking into account the influence of carbon and oxygen impurities. A linear dependence of heat fluxes on the effective plasma charge is found, and the sensitivity of the results to input parameter errors is investigated. The results of gyrokinetic calculations for the T-10 tokamak are compared with the results obtained for facilities with similar input parameters. A comparison is made of gyrokinetic calculations of heat fluxes performed using the GENE code with the results of calculations by the CONTRA-T code, intended for the self-consistent simulation of low-frequency turbulence and transport processes in tokamaks with a large aspect ratio. Good agreement obtained in the work between the results of transport calculations using the ASTRA, GENE, and CONTRA-T codes based on various transport models for the ohmic discharge of the T-10 tokamak with a circular cross section, provides grounds for the further simulation of transport processes in plasma with additional heating and a more complex cross section shape of the plasma column.
Full Text
1. Введение
Задача численного моделирования аномальных тепловых потоков в плазме токамаков является одной из наиболее сложных задач теории плазмы. На практике используются приближенные формулы в паракcиальном приближении [1], скейлинги [2], различные численные коды. В настоящее время определенный прогресс в теории переноса связан со значительными достижениями в расчетах с использованием мощных гирокинетических суперкомпьютерных кодов.
В данной статье впервые приводятся результаты таких гирокинетических расчетов, выполненных для действовавшего более 40 лет и недавно закрывшегося токамака Т-10 [3]. Введение (первый раздел) посвящено некоторым важным результатам теории аномального переноса, которые были получены на токамаках с аналогичными параметрами плазмы. Особое внимание уделяется точности расчетов.
В плазме токамаков большой градиент ионной температуры (Ion Temperature Gradient, ITG) приводит к появлению так называемой ITG турбулентности и аномальным тепловым потокам. Для изучения данного вида турбулентности были предложены параметры разряда токамака DIII-D#81499, получившие название в литературе Cyclone Base Case (CBC) тест [4]. Сравнение результатов расчетов, выполненных с помощью нескольких численных гирокинетических моделей друг с другом и с аналитическим скейлингом LLNL GK, который связывает аномальный тепловой поток с градиентами температуры и плотности, представлено в работе [4]. Несмотря на упрощения CBC теста, в котором используются круглые вложенные магнитные поверхности, одинаковые плотности ионов и электронов ni = ne и одинаковые ионные и электронные температуры Ti = Te, расхождения в значениях тепловых потоков, полученные с помощью различных гирокинетических кодов, составляли до 100–500% [4], но менее одного порядка.
Для выяснения причин такого расхождения были проведены дополнительные исследования. В частности, сравнение трех различных моделей равновесия (модель s-alpha, модель с круглыми магнитными поверхностями, модель МГД) на аномальные потоки для теста CBC выполнено с помощью гирокинетического кода GENE [5] в работе [6]. В этой работе [6] были показаны заметные отличия (до 100%) в результатах расчетов линейных градиентов роста и нелинейных тепловых потоков, связанные с различиями в точности вычисления магнитного поля порядка обратного аспектного отношения в разных моделях равновесия.
Приведем ряд других примеров сравнения результатов гирокинетических расчетов с результатами измерений на нескольких токамаках.
В разряде токамака Tore-Supra #48102 исследовались экспериментально измеренные и рассчитанные параметры турбулентной плазмы в режимах с модами ITG и TEM (Trapped Electron-Mode, моды на запертых электронах) [7]. Расчеты проводились с помощью гирокинетического кода GENE с использованием измеренных и уменьшенных на 20–40% градиентов ионной температуры, учитывались три сорта частиц электроны, дейтроны и углерод. В режиме с так называемым линейным омическим удержанием (Linear Ohmic Confinement, LOC) доминировала ТЕМ-турбулентность. Найденное для режима LOC численно отношение электронного и ионного тепловых потоков оказалось большим, Qe /Qi = 12 при эффективном заряде плазмы Zeff = 3.00. В другом исследуемом режиме, Saturated Ohmic Confinement (SOC) c эффективным зарядом плазмы Zeff = 1.40, отношение потоков оказалось равным Qe /Qi = 0.7. Для режима SOC полученные с помощью кода GENE потоки были близки к значениям экспериментально измеренных потоков, найденных из условия баланса мощности (код CRONOS). Для режима LOC рассчитанный с помощью кода GENE электронный тепловой поток Qe оказался в несколько раз больше потока, вычисленного из условия баланса мощности.
Сравнение результатов гирокинетических расчетов кода GENE с результатами измерений на токамаке ASDEX Upgrade приводится в работе [8]. Градиенты плотности и температуры имеют ошибку измерения: 20% для градиента электронной температуры и 30% для градиентов электронной и ионной плотностей. Хорошее совпадение между рассчитанными численно тепловыми потоками и результатами измерений получено для уменьшенного на 20% от номинального градиента ионной температуры. При использовании номинальных градиентов рассчитанный с помощью кода GENE тепловой ионный поток превысил экспериментальные оценки примерно в 4 раза, а электронный тепловой поток в 2.5 раза.
Сравнение гирокинетических расчетов с экспериментальными результатами токамака JET описано в [9]. Входные параметры для расчетов включают запас устойчивости, магнитный шир, градиенты плотности и температуры, учитываются примеси, вращение плазмы и нагревный нейтральный пучок. Хорошее совпадение между результатами гирокинетических расчетов тепловых потоков и экспериментальными данными получено с точностью, определяемой ошибками измерений (до 50%).
Приведенные выше результаты гирокинетических расчетов мод с большим градиентом ионной температуры ITG, выполненные с помощью кода GENE для токамаков DIII-D, Tore-Supra, ASDEX Upgrade and JET, явились сильной мотивацией для нашей работы. Представляется логичным выполнить аналогичные расчеты для типичного разряда с омическим нагревом токамака T-10, в котором большой нормированный градиент ионной температуры обычно наблюдался в диапазоне R(dTi/dr)/Ti = 5–15, а также имелся большой градиент электронной плотности.
Целями данной работы являются проведение первых гирокинетических расчетов с помощью кода GENE тепловых потоков для типичных условий токамака T-10 с большим градиентом температуры, сравнение полученных результатов с аналогичными результатами других токамаков, анализ влияния входных данных. Сравнительный анализ влияния примесей и эффективного заряда плазмы на тепловые потоки проводится с помощью приближенных аналитических формул, транспортного кода ASTRA, гирокинетического кода GENE и турбулентного кода CONTRA-T.
Статья состоит из 7 разделов.
В разд. 2 данной статьи приводятся описание экспериментально измеренных в омическом разряде T-10 #71568 профилей электронной и ионной температур, электронной плотности, профилей плотностей примесей углерода и кислорода, измеренных с помощью диагностики CXRS (Сharge eXchange Recombination Spectroscopy) [10]. Равновесные профили запаса устойчивости, шира, радиальных тепловых потоков электронов и ионов оцениваются для плазмы с круглым сечением магнитных поверхностей с помощью транспортного кода ASTRA [11] из условия баланса мощности. Концентрация электронов измеряется при помощи 16-канального интерферометра, температура электронов измеряется при помощи ECE-диагностики и спектров в области мягкого рентгена, радиационные потери измеряются с помощью болометрических диагностик, профили интенсивности линий ионов примесей и атомов рабочего газа (для определения потоков частиц) измеряются при помощи пассивной спектроскопии.
В разд. 3 содержатся расчеты с использованием приближенных аналитических формул для тепловых потоков электронов и ионов в зависимости от эффективного заряда плазмы Zeff. Представлены результаты расчетов тепловых потоков, выполненные с помощью кода ASTRA в зависимости от концентрации примесей углерода и кислорода, что позволяет определить влияние на потоки эффективного заряда плазмы Zeff.
В разд. 4 приведены результаты гирокинетических расчетов, проведенных с помощью кода GENE на суперкомпьютере Курчатовского института. В линейном приближении получены зависимости инкрементов роста турбулентных мод и их частот в зависимости от волнового числа. Анализируется чувствительность результатов к различным входным данным, включая градиенты плотности и температуры, эффектный заряд плазмы, отношение температур электронов и ионов. Входные данные варьируются в пределах ошибок измерений. Влияние примесей учитывается с помощью модели двухкомпонентной плазмы с эффективным зарядом и с помощью модели четырехкомпонентной плазмы, состоящей из электронов, дейтронов, ионов углерода и кислорода. Результаты расчетов для токамака Т-10 сравниваются с аналогичными результатами, полученными для токамаков DIII-D, Tore-Supra и JET с похожими параметрами.
Раздел 5 статьи посвящен результатам усредненных по времени тепловых потоков электронов и ионов, полученным для омического разряда Т-10 с помощью кода GENE в так называемом нелинейном приближении. Тепловые потоки вычисляются с использованием двухкомпонентной и четырехкомпонентных моделей плазмы с учетом примесей углерода и кислорода. Анализируется влияние на тепловые потоки градиентов ионной и электронной температуры, проводится анализ сходимости и сравнение с результатами расчетов тепловых потоков, полученных с помощью кода ASTRA.
Раздел 6 посвящен результатам расчетов тепловых потоков электронов и ионов в двукомпонентной плазме для омического разряда Т-10, выполненных с помощью турбулентного кода CONTRA-T. Анализируется влияние заряда ионов на величины потоков, проводится сравнение с результатами расчетов, выполненными с помощью транспортного кода ASTRA и гирокинетического кода GENE.
Последний, раздел 7 содержит выводы, основные полученные результаты и благодарности.
2. Измерения в экспериментах T-10 и баланс мощности
Токамак T-10 имел круглое полоидальное сечение плазмы (большой радиус тора R = 1.5 м, малый радиус a = 0.3 м). Выбранный для анализа разряд #71568 ( = 2.7·1019м–3, Bt = 2.4 T, Ipl = 250 кA) был частью серии разрядов по изучению флуктуаций плотности [12]. Особенностью данной серии разрядов с омическим нагревом была сложная структура флуктуаций, которые различались на сторонах плазменного шнура со слабым и сильным магнитными полями.
Подробное описание измеренных параметров электронного и ионного переносов имеется в работах [13, 14]. В стационарном решении кода ASTRA потоки тепла определяются заданными коэффициентами переноса, измеренными профилями плотности, температуры, радиационных потерь, интегрированием источников. Для численного определения экспериментальных профилей электронных и ионных тепловых потоков и использовались уравнения баланса мощности, полученные интегрированием уравнений переноса [1]
(1)
(2)
где POH – удельная мощность омического нагрева в единице объема dV, Pei – мощность кулоновского нагрева в результате столкновений электронов с ионами, Prad – мощность радиационных потерь, PCX – мощность потерь в процессе перезарядки дейтронов и атомов дейтерия, Γe и Γi – потоки частиц электронов и ионов через элемент магнитной поверхности dS. Неоклассический коэффициент проводимости тепла вычисляется с помощью кода NCLASS [15] c учетом измеренных профилей плотности дейтронов, углерода и кислорода
(3)
Дополнительно учитывается влияние горячих и холодных нейтралов на увеличение электронного потока. Плотности ионов примесей измеряются с помощью активной диагностики CXRS (Charge eXchange Recombination Spectroscopy).
Диагностический комплекс Т-10 для измерения профилей плотностей и температур электронов, основных ионов (дейтроны) и ионов примесей (углерод, кислород) подробно описан в статье [16]. Плотность тока и профиль запаса устойчивости q вычисляется с учетом неоклассической параллельной проводимости [17]. Приближенные к экспериментам профили ne, ni, Te, Ti, профили плотности ионов углерода и кислорода, профили запаса устойчивости и эффективного заряда плазмы, полученные с помощью кода ASTRA, приведены на рис. 1. Полученные профили являются типичными для омических разрядов токамака T-10, ошибка измерений показанных профилей составляет около 20%.
Рис. 1. Радиальные профили разряда 71568, вычисленные с помощью кода ASTRA : a) плотности электронов и дейтронов; б) температуры электронов и ионов; в) плотности ионов углерода и кислорода; г) эффективный заряд плазмы и запас устойчивости.
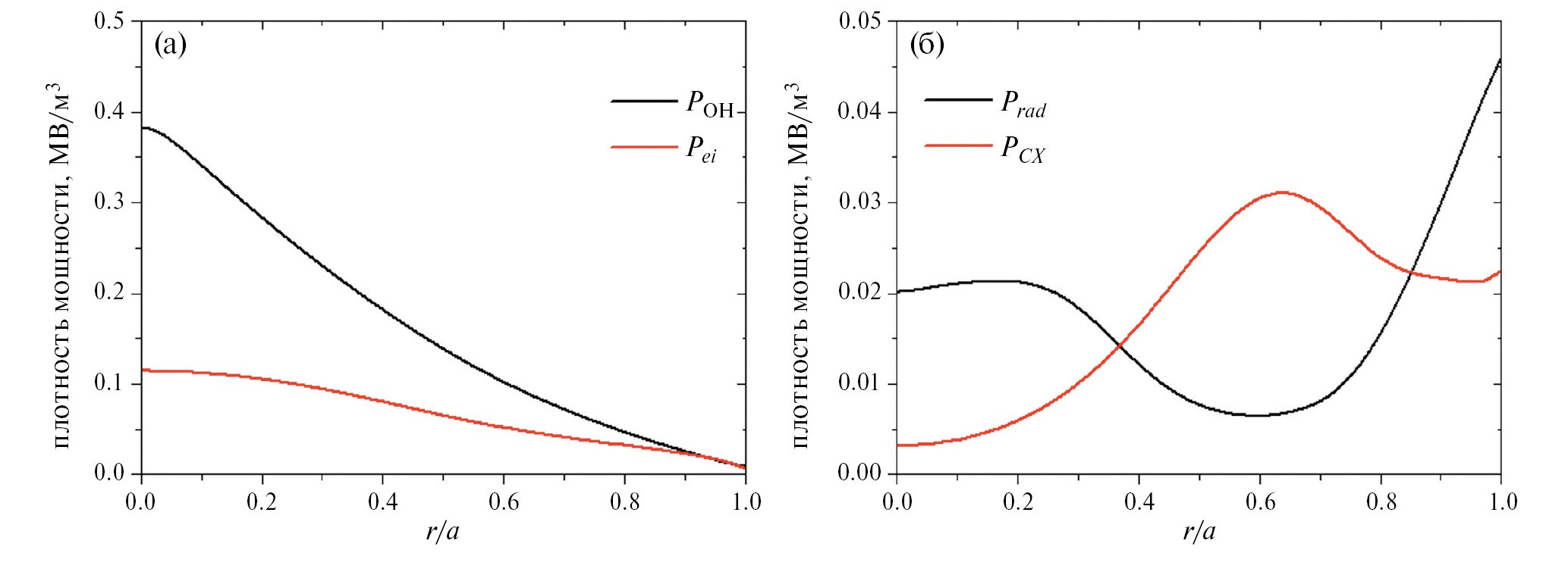
Удельные мощности омического нагрева, кулоновского взаимодействия, радиационных потерь и потерь на перезарядку, рассчитанные с помощью кода ASTRA, показаны на рис. 2. Пикированное на оси значение POH определяется зависимостью Спитцеровской проводимости от температуры электронов. Мощность кулоновского нагрева Pei относительно невелика, что приводит к заметному вкладу в ионный тепловой баланс слагаемого с мощностью перезарядки PCX и высоким значениям отношения Te/Ti.
Рис. 2. Радиальные профили разряда 71568, рассчитанные с помощью кода ASTRA: a) удельная (в единице объема) мощность омического нагрева, мощность кулоновского взаимодействия; б) радиационные потери и потери на перезарядку.
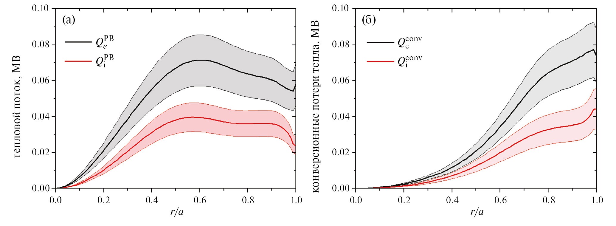
Профили тепловых потоков ионов и электронов, рассчитанные с помощью кода ASTRA из уравнений теплового баланса (1), (2) и отдельно конвективные члены показаны на рис. 3. Значения потоков электронов и ионов с учетом ошибок измерений в 20% показаны соответственно серым и красным цветом. В частности, для среднего радиуса плазмы с r/a = 0.50 тепловые потоки электронов и ионов оказались равными = 68±13 кВт и = 39±8 кВт. Приведенные расчеты потоков с учетом ошибок измерений выполнены с помощью дополнительного транспортного кода для примесей ASTRA/STRAHL [18]. Данные предоставлены командой токамака Т-10 и считаются наиболее точным приближением к экспериментальным результатам.
Рис. 3. Радиальные профили разряда 71568, рассчитанные с помощью кода ASTRA: a) тепловые потоки электронов (верхняя кривая) и ионов (нижняя кривая); б) конвективные потери электронов (верхняя кривая) и ионов (нижняя кривая).
3. Аналитические приближения для тепловых потоков в плазме токамака Т-10
Аналитические приближенные выражения для тепловых потоков частиц необходимы для проверки результатов соответствующих численных расчетов. В этом разделе представлен простой скейлинг и моделирование в коде ASTRA ионного и электронного потока тепла зависимости от эффективного заряда без радиационных потерь (без кода STRAHL). Найдем аналитическую зависимость теплового потока электронов от эффективного заряда Zeff . Неоклассическая зависимость проводимости Спитцера от Zeff [19] (4)
где
может быть аппроксимирована степенной зависимостью (рис. 4). Вблизи магнитной оси [19], зависимость мощности омического нагрева от эффективного заряда плазмы on Zeff может быть представлена как произведение [20]
, (5)
где
Рис. 4. З ависимость проводимости Спитцера от эффективного заряда плазмы (черная линия) и степенная функция (кружки).
Слагаемое, связанное с кулоновским обменом энергии между электронами и ионами сорта в балансе мощности электронов
(6)
можно переписать для удобства следующим образом. По определению
(7)
где mk, Tk и nk – масса, температура и концентрация ионов сорта , –заряд ионов сорта , – кулоновский логарифм для электрон-ионных столкновений сорта [21, 22]. Времена обмена энергией между различными видами ионов намного короче, чем времена релаксации между ионами и электронами, поэтому предполагается для каждого . Поэтому сумму по всем сортам ионов можно записать в виде
(8)
Для разряда Т10#71568 учтены полностью ионизованные ионы углерода и и кислорода . Для получения концентрации ионов дейтерия (ZD = 1) используется условие квазинейтральности
(9)
Тогда сумма в (8) запишется в виде
(10)
Для рабочего диапазона температур кулоновский логарифм слабо зависит от заряда рассеивающего иона [23]
(11)
Для изотопов углерода и , а также для дейтерия отношение заряда к массе равно , поэтому выражение в скобках в правой части (9) равно нулю. Отсюда следует, что вклад кулоновских столкновений в тепловой поток в электронном канале не должен зависеть от и будет иметь вид
(12)
Теперь выражение для электронного потока (5) получит вид
(13)
где эффективный заряд входит только в первое слагаемое (омический нагрев) в виде монотонной функции Zeff0.8. Для ионного теплового потока получим
(14)
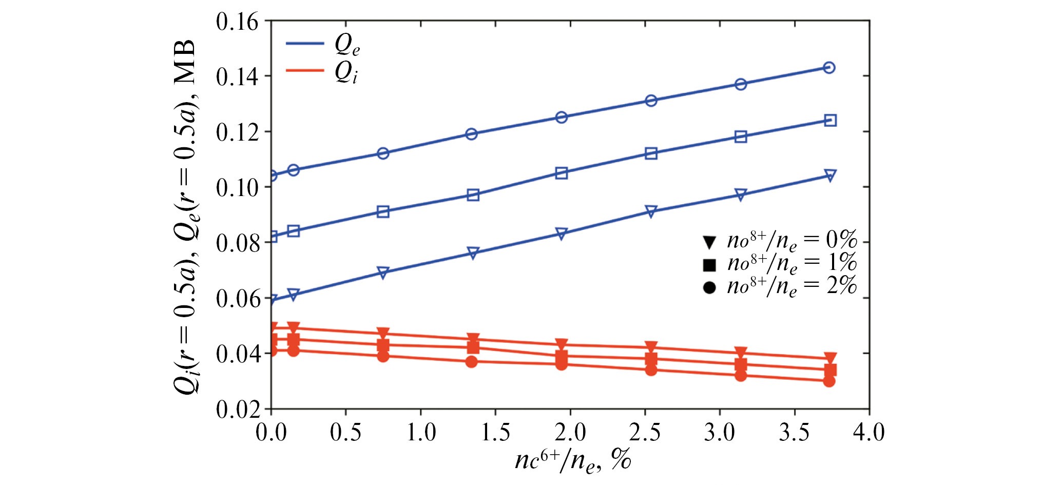
Аналитические зависимости тепловых потоков электронов (13) и ионов (14) от эффективного заряда плазмы в параксиальном приближении без учета эффектов радиационных потерь и процессов перезарядки подтверждаются соответствующими численными расчетов с помощью кода ASTRA. На рис. 5 показаны результаты этих численных расчетов тепловых потоков в зависимости от относительной концентрации ионов углерода и кислорода для параметров разряда T10#71568. На рис. 5 ионный тепловой поток (r/a = 0.5) для среднего радиуса плазмы показан тремя линиями снизу с относительной концентрацией кислорода nO/ne = 0% (треугольники), nO/ne = 1% (квадраты), nO/ne = 2% (кружки). В рассматриваемом диапазоне относительных концентраций углерода nС/ne = [0.0, 3.5]% ионный тепловой поток меняется слабо и приближенно равен (r/a = 0.5) 50 кВт.
Рис. 5. Электронный и ионный тепловые потоки на среднем радиусе плазмы в зависимости от относительной концентрации ионов углерода и кислорода , полученные с помощью кода ASTRA (без модуля STRAHL) для разряда T -10#71568.
4. Гирокинетические расчеты свойств мод ITG/TEM в плазме разряда T-10#71568, полученные с помощью кода GENE в линейном приближении
Система гирокинетических уравнений Власова, используемая в коде GENE, детально описана во многих публикациях, включая [5, 6, 24]. Проведение гирокинетических расчетов для токамака Т-10 с помощью кода GENE [5] началась в 2019 г. с использованием суперкомпьютера Курчатовского института [25]. Суперкомпьютер имеет ряд очередей с 142–254 процессорами Intel Xeon E5-2560, E5-2680, оперативной памятью 128 ГБ, процессоры имеют 12–48 вычислительных ядер. Расчеты с помощью кода GENE с использованием большого числа ядер (до 1028) ограничены пределами очереди (64 часа). Численная сходимость результатов кода GENE исследуется с использованием различных размеров пятимерной численной сетки – число точек в направлении нормали к магнитной силовой линии Nx = 96–256, по бинормали Ny = 16–96, число точек вдоль силовой линии Nz = 16–48, Nv|| = 16–64 – число точек в направлении компоненты параллельной магнитному полю скорости, число точек для магнитного момента N = 8–24. Код GENE использует библиотеки PETSc/SLEPc [26] для вычислений собственных значений матриц и шага по времени. Область вычислений ограничена силовой трубкой вдоль силовой линии с поперечными размерами Lx × Ly, где характерный размер Lx определяется численно с учетом величин гирорадиуса и шира. На рис. 6 показана система координат (x, y, z) вдоль силовой линии (сплошная толстая кривая) на элементе магнитной поверхности с радиусом r/a = 0.5 токамака Т-10.
Рис. 6. Система координат GENE (X, Y, Z), расположенная на силовой линии (толстая сплошная линия) на элементе магнитной поверхности со средним радиусом r / a = 0.5 токамака Т-10.
Расчеты сходимости в линейном и нелинейном приближении в указанных пределах численной сетки и вплоть до tcs/R = 500 нормализованных времен с помощью кода GENE для случая разряда T-10#71568 проводились в течение нескольких лет. Полученные результаты имеют различные статистические отклонения. Типичные параметры сетки и другие параметры расчетов приведены ниже.
Код GENE решает систему гирокинетических уравнений Власова в линейном и нелинейном приближении для функций распределения электронов и ионов с учетом электромагнитных флуктуаций и уравнения квазинейтральности [5]. Интегрирование по фазовому объему возмущенных частей функций распределения с соответствующими моментами позволяет найти потоки частиц, тепловые потоки и импульс, параллельный магнитному полю. Решениями системы гирокинетических уравнений в линейном приближении являются собственные функции (моды) с инкрементом роста γ и собственной частотой ù в зависимости от нормированного на гирорадиус волнового числа kyρs. Результаты расчетов в линейном приближении позволяют найти зависимости решения от входных параметров – градиентов температур, плотностей плазмы, составов примесей.
Входными параметрами для кода GENE в случае разряда T-10#71568 для среднего радиуса плазмы r/a = 0.5 являются большой радиус R = Lref =1.5 м, величина модуля магнитного поля на оси Bref = 2.4 T, электронная плотность nref =2.5x1019 м–3, электронная температура Tref = 730 эВ, запас устойчивости q = 1.28, нормированный шир s = (r/q)(dq/dr) = 0.78 и ряд других параметров.
В расчетах будем рассматривать три варианта плазмы. В первом, простейшем случае, – учитывается только динамика ионов с эффективным зарядом Zeff = 1.0. Этот случай является наиболее быстрым с точки зрения времени расчета. Во втором случае рассматривается двухкомпонентная плазма с Zeff >1.0, время расчета приблизительно в два раза больше, чем для случая Zeff = 1.0. В третьем случае рассматривается плазма с примесями с учетом динамики четырех сортов частиц – электронов, ионов дейтерия, углерода и кислорода, при этом необходимое время расчета примерно в четыре раза больше, чем для случая Zeff = 1.0.
Для проверки и сравнения первых гирокинетических результатов для токамака T-10 выберем простейший случай, аналогичный тестовому случаю с токамака DIII-D CBC [6] с моделью двухкомпонентной плазмы с одинаковыми нормированными градиентами плотности электронов и ионов ωn = −(Lref/n)(dn/dx) = R/Ln и эффективным зарядом Zeff = 1.0. Нормированный номинальный градиент электронной плотности T10#71568 равен R/Ln = 5.2 (в 2.4 раза больше, чем в случае CBC с R/Ln = 2.23), что предполагает возникновение так называемой ТЕМ (Trapped Electron Mode) моды – моды запертых электронов. C учетом примесей ионов углерода и кислорода и ошибок измерений, можно использовать нормированный градиент со значением R/Ln = 4.5.
В расчетах с помощью кода GENE будем использовать модель равновесия s-alpha [27], конечное значение параметра бета, оператор столкновений Ландау, электростатические и электромагнитные эффекты без учета флуктуаций параллельного магнитного поля.
В линейном приближении исследуется одна собственная мода, в результате расчета определяется зависимость инкремента и частоты мод от входного параметра – нормированного волнового числа. Шаг по времени определяется с помощью библиотек PETSc/SLEPc.
На рис. 7 представлена типичная зависимость инкрементов роста и частот турбулентных мод ITG и TEM в линейном приближении (исследуется одна собственная мода, параметр Ny = 1) от нормированного волнового числа ky ρs, рассчитанная с помощью кода GENE для разряда T10#71568 с большими градиентами R/Ln = 5.0, R/LTi = R/LTe = 7.0. Эта зависимость в интервале kyρs = [0.2 0.7] похожа на аналогичную зависимость [6], найденную для тестового случая CBC DIII-D, в котором частота мод (показана квадратами) является почти линейной положительной функцией волнового числа, инкремент роста имеет максимум около значения ky ρs = 0.4. В интервале kyρs = [0.8 1.5] частота отрицательна, преобладает ТЕМ-мода с меньшим инкрементом роста, чем у ITG моды. Аналогичные зависимости для ITG/TEM-неустойчивостей получены для токамака Tore-Supra [7] с градиентами R/Ln = 1.8–2.8, R/LTi = 4.3–5.0, R/LTe = 8.9–9.2.
Рис. 7. Нормированный инкремент роста (кружки) и частота (квадраты) как функция волнового числа k y ρ s, рассчитанная с помощью кода GENE в линейном приближении для разряда T 10#71568 с двухкомпонентной моделью при R / L n = 5.0, Z eff = 1.0. Частоты мод ITG положительны, мод ТЕМ – отрицательны.
На рис. 8 показаны максимальный инкремент роста и соответствующая частота моды в зависимости от нормированного градиента температуры R/LTi, вычисленные для разряда T10#71568 с помощью кода GENE в линейном приближении для двухкомпонентной модели с эффективным зарядом Zeff = 1.0. В этом случае частота (квадраты) меняет знак вблизи критического градиента ионной температуры R/LTi = 5, в соответствии с приближенным скейлингом LLNL [4]. Большой инкремент роста TEM-моды возникает в области R/LTi < 5, связанный с большим градиентом электронной плотности.
Рис. 8. Максимальный нормированный инкремент роста (кружки) и частота (квадраты) в зависимости от нормированного градиента температуры, рассчитанный с помощью кода GENE для разряда T -10 #71568 с двухкомпонентной моделью плазмы при R / L n = 5.0, Z eff = 1.0. Область с R / L Ti < 5 отмечена как TEM (Т rapped Electron М ode), область с R / L Ti > 5 отмечена как ITG. Частоты мод ITG положительны, мод ТЕМ – отрицательны.
Влияние примесей углерода и кислорода в более сложной четырехчастичной модели плазмы разряда T-10#71568 с эффективным зарядом Zeff = 1.58 представлено на рис. 9 с инкрементом роста и на рис. 10 с соответствующей частотой в зависимости от нормированного градиента температуры R/LTi для различных градиентов плотности: R/Ln = 2.0 (кружки), R/Ln = 4.5 (квадраты), R/Ln = 5.0 (крестики). Результаты расчетов для разряда T10#71568 аналогичны результатам расчетов мод ITG/TEM в токамаке JET, описанным в статье [6]: в случае небольшого градиента плотности R/Ln = 2.0 (кружки) инкремент роста и частота ITG-моды имеют линейные зависимости от градиентов температуры. При большом градиенте плотности –R/Ln = 5.0 ТЕМ мода имеет большой инкремент роста даже при R/LTi = 4. Для разряда T10#71568 наблюдается аналогичное изменение знака частоты TEM-моды, как и в расчетах кода GENE для токамака JET [9].
Рис. 9. Максимальный инкремент роста в зависимости от нормированного градиента ионной температуры, рассчитанный с помощью кода GENE для разряда T -10 #71568 с моделью четырехкомпонентной плазмы при Z eff = 1.6, для R / L n = 2.0 (кружки), R / L n = 4.5 (квадраты), R / L n = 5.0 (крестики).
Рис. 10. Нормированная частота в зависимости от нормированного градиента ионной температуры, рассчитанная с помощью кода GENE для разряда T -10 #71568 с моделью четырехкомпонентной плазмы при Z eff = 1.6 для R / L n = 2.0 (кружки), R / L n = 4.5 (квадраты), R / L n = 5.0 (крестики). Частоты мод ITG положительны, мод ТЕМ – отрицательны.
В работе [28] cкейлинг для критического градиента ТЕМ-мод, результаты численных расчетов квазилинейного гирокинетического кода GS2 сравниваются с экспериментальными результатами, полученными на токамаке ASDEX-U для разрядов с нулевым градиентом ионной температуры R/LTi = 0. Как и для случая ITG, найдены зависимости инкрементов ТЕМ-мод с характерным максимумом вблизи волнового нормированного ky ρs = 0.3, при этом наблюдается сильное снижение квазилинейных тепловых потоков при уменьшении градиентов электронной температуры вплоть до критических значений. Необходимо отметить важное отличие параметра R/LTi = 0 работы [28] от рассматриваемого случая разряда T10#71568 с R/LTi ≥ 4.
На рис. 11 показана зависимость инкремента роста от эффективного заряда плазмы Zeff, найденная с помощью расчетов кода GENE в линейном приближении для разряда T-10#71568 с волновыми числами kyρs = 0.15 (кружки), kyρs = 0.20 (квадраты), kyρs = 0.30 (крестики), ky ρs = 0.40 (ромбы). В отличие от результатов для разряда JET#66404 [9] с монотонной зависимостью γ(Zeff), для случая T-10 монотонная зависимость наблюдается только для чисел kyρs = 0.15 и kyρs = 0.20. Для числа kyρs = 0.30 заметен рост для Zeff > 1.60, для ky ρs = 0.40 инкремент роста имеет минимум около Zeff = 1.80.
Рис. 11. Нормированные инкременты в зависимости от эффективного заряда плазмы Z eff, рассчитанные с помощью кода GENE для разряда T -10 #71568 с моделью четырехкомпонентной плазмы при k y ρ s = 0.15 (кружки), k y ρ s = 0.20 (квадраты), k y ρ s = 0.30 (крестики), k y ρ s = 0.40 (ромбы).
Зависимость нормированных инкрементов роста от отношения температур Te/Ti, полученная в линейном приближении с волновыми числами kyρs = 0.15 (кружки), kyρs = 0.20 (квадраты), kyρs = 0.30 (крестики), kyρs = 0.40 (ромбы), показана на рис. 12. Для параметров разряда T-10#71568 инкремент роста имеет максимумы, зависящие от волнового числа моды. Эта зависимость отличается от монотонного характера зависимости γ(Te/Ti), полученной для разряда JET#66404 в работе [9]. Причины такого отличия необходимо найти в дальнейших исследованиях.
Рис. 12. Нормированные инкременты в зависимости от отношения температур T e / T i, рассчитанные с помощью кода GENE для разряда T -10 #71568 с моделью четырехкомпонентной плазмы при k y ρ s = 0.15 (кружки), k y ρ s = 0.20 (квадраты), k y ρ s = 0.30 (крестики), k y ρ s = 0.40 (ромбы).
Результаты гирокинетических расчетов основных свойств мод ITG и TEM для омического разряда T-10#71568 с помощью кода GENE в линейном приближении подтверждают основные зависимости инкрементов роста и частот мод от волновых чисел и ряда входных параметров градиентов плотности, температуры эффективного заряда плазмы, которые были найдены для аналогичных разрядов на токамаках DIII-D, ASDEX, JET, Tore Supra. Таким образом, выполнена проверка и сравнение результатов работы кода GENE в линейном приближении с учетом экспериментальных параметров токамака Т-10.
5. Результаты гирокинетических расчетов тепловых потоков в плазме разряда T-10#71568, полученные с помощью кода GENE в нелинейном приближении
В продолжительных по времени нелинейных расчетах кода GENE используется большое число мод Фурье Ny, учитываются несколько собственных мод, амплитуда которых меняется во времени. Тепловые аномальные потоки электронов и ионов вычисляются с помощью усреднения по времени и пространству нелинейной эволюции соответствующих моментов возмущенной функции распределения.
Максимальное значение суммарных тепловых потоков для разряда T-10#71568 можно оценить из произведения полного тока плазмы Ipl = = 0.25 MA на напряжение на обходе при Zeff = 1.0, Upl = 1.0V, в результате получим Pmax = = Ipl*Upl = 250 кB. Однако первоначальные нелинейные расчеты кода GENE без учета примесей (Zeff = 1.0) с номинальным нормированным градиентом электронной плотности R/Ln = 5.2, градиентами ионной и электронной температур R/LTi = 6.8 и R/LTe = 8.9 дали очень большие оценки тепловых потоков электронов и ионов, <Qe>V´ = 600 кВт, <Qi>V´ = 500 кВт [29]. Здесь в выражении для усредненного по времени и пространству скоростей теплового потока <Q> = < ∫d3v 1/2mv2 f1VD > функция f1 является возмущенной частью функции распределения частицы массы m, VD – дрейфовая скорость, V´ = 8.9 м2 – площадь поверхности плазмы токамака T-10 со средним радиусом r = 0.15 м. Завышенные тепловые потоки в результате гирокинетических расчетов с номинальными градиентами температур и плотностей были также получены в расчетах с помощью кода GENE для разрядов токамаков Tore-Supra #48102 [7] и ASDEX Upgrade #33585 [8].
Приведем результаты нелинейных расчетов кода GENE для разряда T10#71568 для случая упрощенной модели плазмы, в которой заряд ионов приравнивается эффективному заряду плазмы Zeff. Аналогичные подход использовался в расчетах для токамака ASDEX Upgrade [8], где также учитывались столкновения с помощью линеаризованного оператора Ландау-Больцмана и конечное значение параметра beta. Учет примесей из условия квазинейтральности (8) позволяет определить значение нормированного ионного градиента плотности R/Lni = 4.5, и такой же градиент электронной плотности R/Lne = 4.5 = R/Lni = R/Ln. Это значение на 13% меньше номинального электронного градиента, равного R/Lne = 5.2, и находится в пределах экспериментальных ошибок измерения электронной плотности для токамака T-10.
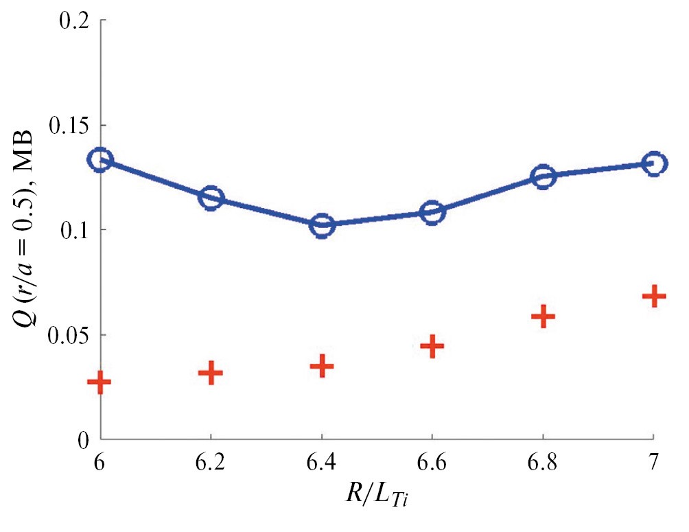
Влияние входных градиентов температуры ионов и электронов на тепловые потоки в случае двухкомпонентной модели плазмы T10#71568 с зарядом ионов Zi = Zeff = 1.80, рассчитанное в нелинейном приближении с помощью кода GENE, показано на рис. 13 и 14. На рис. 13 видно, что тепловой поток ионов <Qi> V´ (кресты) линейно зависит от градиента температуры ионов. Минимальный электронный тепловой поток <Qe>V´ = 100 кВт получен для градиента ионной температуры, равного R/LTi = 6.4 (на 6% меньше значения номинального градиента R/LTi = 6.8) и для градиента электронной температуры, равного R/LTe = 7.2 (на 19% меньше значения номинального градиента R/LTe = 8.9). На рис. 14 видна монотонная зависимость электронных тепловых потоков <Qe>V´, рассчитанная с помощью кода GENE, от градиентов электронной температуры в диапазоне R/LTe = [7.0 8.0] с использованием входного параметра R/LTi = 6.4. При этом ионный тепловой поток почти постоянен и равен <Qi> V´ = 40 кВт.
Рис. 13. Электронный (кружки) и ионный (крестики) тепловые потоки < Q > V ´ ‚ на среднем радиусе плазмы, r / a = 0.50 в зависимости от нормированного градиента ионной температуры R / L Ti, рассчитанные с помощью кода GENE для двухкомпонентной модели плазмы разряда T -10#71568 при R / L Te = 7.2, R / L ni = R / L ne = 4.5.
Рис. 14. Электронный (кружки) и ионный (крестики) тепловые потоки < Q > V ´ ‚ на среднем радиусе плазмы, r / a = 0.50, в зависимости от нормированного градиента электронной температуры R / L Te, рассчитанные с помощью кода GENE для двухкомпонентной плазмы разряда T 10#71568 в нелинейном приближении при R / L Ti = 6.4, R / L ne = R / L ni = 4.5.
Характерная нелинейная эволюция нормированных тепловых потоков электронов (кружки) и ионов (крестики) для разряда T10#71568, рассчитанная с помощью кода GENE c использованием двухкомпонентной модели, показана на рис. 15. Нормировка теплового потока c использованием обозначений кода GENE cref = (Tref/mref)0.5 , pref = nrefTref, ρ*ref = cref /Ωref / Lref равна Qgb = cref pref (ρ*ref)2 = 0.64 кВт/м2, входные градиенты –R/Ln = 4.5, R/LTi = 6.2, R/LTe = 7.2. В этом расчете используется пятимерная сетка Nx×Ny×Nz×Nv||×Nµ = 128×24×32×16×8, 128 процессоров в течение 20 часов, усредненное по времени решения для нормированных тепловых потоков ионов и электронов равны соответственно и электронов <Qi>/Qgb=5.5±0.2, <Qe>/Qgb = 20.2±1.
Рис. 15. Нелинейная эволюция тепловых потоков электронов (кружки) и ионов (крестики), рассчитанная с помощью кода GENE для двухкомпонентной плазмы разряда T -10#71568 на среднем радиусе плазмы r / a = 0.50 при R / L n = 4.5, R / L Ti = 6.4, R / L Te = 7.2.
Для дальнейшей проверки результатов расчетов проведем более точные и более длительные (почти в два раза) расчеты тепловых потоков с использованием четырехчастичной модели (электроны, дейтроны, ионы углерода и кислорода). В табл. 1 приведены несколько результатов нелинейных гирокинетических расчетов кода GENE в различными параметрами численной сетки по радиусу Nx, в направлении бинормали Ny, в направлении вдоль силовой линии Nz и по параллельной магнитному полю компоненте скорости Nv||. Расчеты выполнены с использованием эффективного заряда плазмы Zeff = 1.58 и значением параметра Ny = 8. Результаты расчетов тепловых потоков в зависимости от времени для варианта с сеткой из последней строчки табл. 1 показаны на рис. 16.
Таблица 1. Нелинейные тепловые потоки, рассчитанные с помощью кода GENE для разряда T 10#71568 с четырехкомпонентной моделью плазмы с использованием численной сетки с различными размерами N x, N y, N z, N v ||.
tc s / R | < Q i / Q g b > | <Q e / Q g b > | <Q i >V ′ , кВт | < Q e >V ′ , кВт | N x, N y, N z, N v|| |
264 | 8.9 | 18.7 | 3 0 | 11 0 | 64, 32, 8, 16 |
390 | 9.3 | 12.5 | 5 0 | 7 0 | 128, 32, 16, 32 |
266 | 5.8 | 7.4 | 3 0 | 4 0 | 128, 32, 32, 32 |
360 | 7.3 | 10.6 | 4 0 | 6 0 | 128, 48, 16, 32 |
Рис. 16. Нелинейная эволюция тепловых потоков электронов (кружки) и ионов (крестики), рассчитанная с помощью кода GENE для четырехкомпонентной плазмы разряда T 10#71568 на среднем радиусе плазмы r / a = 0.50 при R / L n = 4.5, R / L Ti = 5.8, R / L Te = 7.5.
На рис. 17 в качестве примера показано распределение флуктуаций нормированной электронной плотности n/(n0ρs/R/1019) в плоскости, перпендикулярной силовой линии для параметров разряда Т-10#71568, вычисленное с помощью кода GENE. Размеры расчетной области составляли Lx × Ly = 117 ρs ×96 ρs, распределение представлено для конечного безразмерного момента времени расчета, равного tcs/R = 43, размер гирорадиуса равен ρs = 0.002 м. Цветовая шкала размеров флуктуаций показана на рис. 17 справа. Максимум флуктуаций наблюдается в этот момент времени в точке с координатами (x/ρs, y/ρs ) = (15, –20), минимум в точке с координатами (x/ρs, y/ρs ) = = (–25, –5). Детальное сравнение полученных численных пространственных и временных распределений флуктуаций плотности и мощности с результатами измерений флуктуаций на сторонах токамака Т-10 с сильным и слабым магнитными полями с помощью корреляционной рефлектометрии [30] требует большой дополнительной работы, которую планируется провести в ближайшее время.
Рис. 17. Распределение флуктуаций нормированной плотности электронов в плоскости, перпендикулярной силовой линии, вычисленное с помощью кода GENE для разряда Т-10#71568.
6. Результаты расчетов тепловых потоков в плазме разряда T10#71568, полученные с помощью кода CONTRA-T
Альтернативным подходом для вычисления потоков тепла может быть моделирование нелинейной турбулентной конвекции плазмы и результирующих процессов переноса в центральной области плазмы токамака. Используемый для этих целей код CONTRA-T [31] основан на уравнениях адиабатически-редуцированной магнитной гидродинамики и ее полуэмпирическом приложении к токамакам [32]. CONTRA-T может использоваться как отдельная программа, так и в связке с системой кодов ASTRA-SPIDER. В этом случае в кодах ASTRA-SPIDER рассчитывается равновесие, геометрические форм-факторы и внешние объемные источники и стоки тепла и частиц, а код CONTRA-T моделирует эволюцию основных параметров плазмы (плотности, температуры и потенциала) и их флуктуаций. Код не моделирует распределений примесей, эффективный заряд и эффективная масса иона, а также различие между концентрациями ионов и электронов рассчитывались по входным данным из кода ASTRA. Расчет тороидальных гармоник флуктуаций для ускорения счета может распределяться на несколько ядер с помощью технологии распараллеливания OpenMP.
Тепловые потоки оценим из соотношений баланса для тепловой энергии по аналогии с выражениями (1), (2). В качестве граничных условий для тепловых потоков предполагалось отсутствие потоков на магнитную ось и непрерывность потока из центральной области плазмы в SOL, при этом предполагается, что теплоемкость SOL мала, а основным механизмом потерь в этой области является классическая продольная теплопроводность . Как показано в [33], такие граничные условия хорошо описывают зависимость времени удержания энергии от вводимой мощности, представленную в скейлинге ITER-98(y, 2). Зависимости <Qe>V′ и <Qi>V′ для Zeff = 1.7 на квазистационарной стадии расчета от радиуса приведены на рис. 18.
Рис. 18. Радиальные зависимости усредненных по времени потоков тепла в электронах (черная сплошная линия) и в ионах (серая пунктирная линия) для Z eff = 1.7, полученная с помощью кода CONTRA-T.
Следует отметить, что уравнение для тепловой энергии не является дивергентным (в дивергентной форме может быть записано уравнение для переноса полной энергии, включая кинетическую и магнитную), поскольку в системе присутствует работа сил давления (передача тепловой энергии в кинетическую энергию флуктуаций) и источник тепла, связанный с вязкостью (возвращает энергию из кинетической в тепловую). При этом работа сил давления отбирает тепловую энергию, как у электронов, так и у ионов, а вязкий источник тепла возвращает энергию в ионы, таким образом, добавляется еще один механизм передачи тепла от электронов к ионам. Эти источники, даже в квазистационарном состоянии, могут не совпадать локально (быть разнесены по времени и пространству, но взаимно компенсироваться при интегрировании по времени и объему). При относительно небольшой величине энергии, проходящей через систему (например, омический режим токамака Т-10) общая мощность вязкого тепловыделения составляет порядка киловатта. В определения потоков эти источники входят через производную по времени, в результате при таком же суммарном тепловом потоке, тепловой поток в электронах получается чуть ниже, а в ионах — чуть выше, чем при оценке из баланса в модели кода ASTRA.
В отличие от кода GENE и модели с балансом источников для кода ASTRA, описанных в предыдущих разделах, профили температур электронов и ионов в коде CONTRA-T могут изменяться во времени. В проведенном моделировании сильного изменения профилей не происходило, в результате источники и обмен между электронами и ионами оставались примерно, такими же, как в модели ASTRA, что привело к хорошему согласию в результатах по тепловым потокам.
В качестве входных данных для моделирования использовались параметры разряда #71568: ток плазмы Ipl = 0.25 МА, среднехордовая плотность <ne> = 1.7·1019 м–3, тороидальное магнитное поле BT = 2.5 Тл. Профили плотностей примесей (углерода и кислорода) выбирались аналогично моделированию кодом ASTRA, описанном в предыдущих разделах. Начальные профили температур электронов выбирались по центральным значениям Te = 1.3 кэВ, Ti = 0.65 кэВ. Моделирование проводилось на 150 узлах радиальной сетки с 42 тороидальными гармониками флуктуаций. Шаг по времени составлял 20 нс.
На рис. 19 приведены эволюции тепловых потоков ионов и электронов на середине радиуса во времени, полученные в результате моделирования с помощью кода CONTRA-T для Zeff = 1.7. Первые 20мс происходит релаксация профилей и насыщение турбулентных флуктуаций, при этом часть энергии переходит из тепловой в кинетическую энергию флуктуаций. Затем система переходит в квазистационарное состояние и потоки колеблются около средних значений. Тепловой поток в электронах составляет 80 кВт, в ионах 40 кВт, что хорошо согласуется с результатами моделирования кодом ASTRA.
Рис. 19. Временные эволюции тепловых потоков электронов (черная кривая) и ионов (серая кривая), полученная с помощью кода CONTRA-T для среднего радиуса плазмы при Z eff = 1.7.
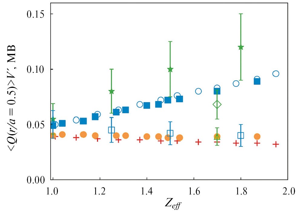
Зависимости тепловых потоков от эффективного заряда плазмы Zeff для двухкомпонентной модели плазмы разряда T10#71568 показаны на рис. 20. Получено хорошее соответствие (с учетом ошибок измерений и точности гирокинетических расчетов) между результатами кода ASTRA, описанными в разд. 3, и нелинейными гирокинетическими расчетами кода GENE. Значения ионного теплового потока, найденные с помощью кода ASTRA (крестики), хорошо совпадают с результатами расчетов кода GENE (квадраты). Ионный тепловой поток слабо зависит от эффективного заряда и приближенно равен <Qi>V´ = 40–50 кВт. Электронный тепловой поток имеет заметную линейную зависимость, полученную как в аналитических оценках (раздел 3), так и численно с помощью кодов ASTRA и GENE. С учетом примесей ионов углерода и кислорода, при эффективном заряде плазмы Zeff = 1.80 в разряде T10#71568, коды ASTRA и GENE дают близкие друг к другу результаты электронного теплового потока, равного на среднем радиусе r/a = 0.5, <Qe>V´ 100 кВт в пределах ошибки 20%.
На рис. 20 кружками обозначены значения электронного теплового потока, крестиками значения ионного теплового потока, рассчитанные с помощью GENE в нелинейном приближении с использованием четырехчастичной модели для разряда T10#71568 с эффективным зарядом плазмы Zeff = 1.6. Значение нормировки теплового потока гиробома равно Qgb = 0.64 кВт/м2, использовались градиенты плотности и температур, равные R/Ln = 4.5, R/LTi = 5.8, R/LTe = 7.5. Расчет с численной сеткой Nx×Ny×Nz×Nv||×Nµ = 128×48×16×32×8 выполнен на Курчатовском суперкомпьютере с 512 процессорами Intel Xeon E5-2620v2 в течение 12 часов в выделенной очереди. Усредненные по времени решения для нормированных тепловых потоков ионов и электронов равны <Qi>/Qgb = = 7.3 ± 1.0, <Qe>/Qgb = 10.6 ± 1.4, что соответствует значениям на среднем радиусе плазмы <Qi>V´ = 40 ± 10 кВт, <Qe>V´ = 60 ± 10 кВт. Значения ионного теплового потока при использовании четырехчастичной модели плазмы почти не изменилось по сравнению со значением, полученным из двухкомпонентной модели. Значения электронного теплового потока при использовании четырехчастичной модели немного ниже, чем в расчетах с двухкомпонентной модели и хорошо совпадают с численными результатам кода ASTRA со значениями QePB = 70±10 кВт and = 40±8 кВт. Тепловые потоки, полученные с помощью кода CONTRA-T на среднем радиусе плазмы r/a = 0.5 показаны темными квадратами для электронов и темными кружками для ионов.
Рис. 20. Тепловые потоки в зависимости от эффективного заряда плазмы Z eff, рассчитанные для разряда T10#71568 с помощью кода ASTRA (без вспомогательного модуля STRAHL) для электронов (полые кружки), ионов (крестики), с помощью гирокинетического кода GENE с использованием двухкомпонентной модели для электронов (звездочки) и для ионов (полые квадраты) на среднем радиусе плазмы при R / L n = 4.5, R / L Ti = 6.4, R / L Te = 7.2. Тепловые потоки, полученные с помощью кода ASTRA/STRAHL из рис. 3a на среднем радиусе плазмы r / a = 0.5 показаны ромбами для электронов и треугольниками для ионов. Тепловые потоки, полученные с помощью кода CONTRA-T на среднем радиусе плазмы r / a = 0.5 показаны сплошными квадратами для электронов и сплошными кружками для ионов.
7. Заключение
Впервые для параметров разряда токамака T10#71568 с учетом примесей плазмы проведено сравнение тепловых потоков, полученных с помощью аналитических приближений, численно с учетом баланса мощности (код ASTRA), с помощью гирокинетического кода GENE и с помощью турбулентного транспортного кода CONTRAT. Получена монотонная зависимость электронного теплового потока от эффективного заряда плазмы, Qe ~ (Zeff)0.8. Ионный тепловой поток слабо зависит от эффективного заряда.
Гирокинетические расчеты в линейном приближении, впервые выполненные с помощью кода GENE для типичных параметров экспериментов в омическом режиме токамака T-10, подтвердили характерные зависимости инкрементов роста, частот от волновых чисел мод ITG/TEM и от градиентов плотности и температуры. Аналогичные зависимости были получены ранее для параметров токамаков DIII-D, Tore-Supra, ASDEX-Upgrade, JET. Расчеты с использованием модели плазмы с учетом четырех компонент плазмы (примеси углерода и кислорода) дают похожие зависимости, как и расчеты с использованием двухкомпонентной модели плазмы, в которой заряд иона равен эффективному заряду плазмы Zeff.
С помощью гирокинетических расчетов кода GENE в нелинейном приближении найдена монотонная зависимость электронных и ионных тепловых потоков от эффективного заряда двухкомпонентной плазмы. Тестовый расчет с эффективным зарядом Zeff = 1.0, номинальным нормированным градиентом электронной плотности R/Ln = 5.2, номинальными градиентами ионной и электронной температур R/LTi = 6.8 и R/LTe = 8.9 дал завышенную оценку тепловых потоков <Qe>V´ = 600 кВт, <Qi>V´ = 500 кВт. Аналогичные превышения тепловых потоков с номинальными градиентами описаны в расчетах для токамаков ASDEX Upgrade и Tore-Supra [7, 8].
Хорошее совпадение результатов численных расчетов тепловых потоков <Qi>V´ ≈ 40 кВт, <Qe>V´ 100 кВт для среднего радиуса плазмы r/a = 0.5 с помощью гирокинетического кода GENE для двухкомпонентной плазмы с использованием уменьшенных в пределах ошибки измерения в 20% градиентов плотности и температуры R/Ln = 4.5, R/LTi = 6.4, R/LTe = 7.2 и с помощью кода ASTRA (без включения модуля STRAHL).
При расчетах с дополнительным модулем ASTRA/STRAHL, учитывающем радиационные потери на примесях, а также процессы перезарядки, величины тепловых потоков электронов и ионов на среднем радиусе плазмы составили = 70±10 кВт и = 40±8 кВт. Радиационные потери и процессы перезарядки не учитывались в гирокинетических расчетах кода GENE. При использовании четырехкомпонентной модели плазмы и градиентов плотности и температур R/Ln = 4.5, R/LTi = 5.8, R/LTe = 7.5 величины тепловых потоков, вычисленных с помощью гирокинетического кода GENE, составили <Qi>V´= 40±10 кВт, <Qe>V´= 60±10 кВт, что совпадает с результатами кода ASTRA. Гирокинетические нелинейные расчеты кода GENE с использованием четырехкомпонентной модели плазмы требуют большого числа процессоров в течение многих часов. Число процессоров, длительность расчета и его точность по-прежнему ограничены конечными вычислительными ресурсами.
Более длительные и точные гирокинетические вычисления с помощью кода GENE в ближайшем будущем для новых токамаков (например, для недавно запущенного токамака T-15МД) будут использовать численную сетку с большими числами интервалов, более точное представление равновесия, расчеты для полного радиуса плазмы. Пока что можно предположить, что уровень аномальных ITG/TEM-потоков для основного сценария токамака T-15МД будет относительно низким вследствие малых значения градиентов плотности и температуры плазмы R/Ln ≈ 0.3, R/LTi ≈ 4.0 [34].
Детальное сравнение полученных численных пространственных и временных распределений флуктуаций плотности и мощности с результатами измерений флуктуаций на сторонах плазмы токамака Т-10 с сильным и слабым магнитными полями, найденных с помощью корреляционной рефлектометрии, требует большой дополнительной работы, которую планируется провести в ближайшее время. Планируются также дополнительные расчеты и анализ эффективных аномальных коэффициентов теплопроводности и диффузии, имеющих большой практический интерес.
Авторы благодарны Проф. Ф. Дженко, группам поддержки кода GENE и экспериментаторам токамака Т-10, коллегам С. Брюннеру, T. Герлеру, M.Р. Нургалиеву, M.Д. Пушелю, A.Б. Teслюку, С.А. Бобкову. Использовались вычислительные ресурсы Федерального вычислительного центра моделирования и обработки данных НИЦ “Kурчатовского института” http://ckp.nrcki.ru.
About the authors
M. Yu. Isaev
National Research Centre “Kurchatov Institute”
Author for correspondence.
Email: isaev_my@nrcki.ru
Russian Federation, Moscow
O. Anuaruly
Al-Farabi Kazakh National University
Email: isaev_my@nrcki.ru
Kazakhstan, Almaty
A. Yu. Kuyanov
National Research Centre “Kurchatov Institute”
Email: isaev_my@nrcki.ru
Russian Federation, Moscow
D. V. Smirnov
National Research Centre “Kurchatov Institute”
Email: isaev_my@nrcki.ru
Russian Federation, Moscow
References
- Hinton F.L. and Hazeltine R.D. // Review of Modern Physics. 1976. V. 48. No. 2, P. 239.
- Yushmanov P.N., Takizuka T., Riedel K.S., Kardaun O.J., Cordey J.G., Kaye S.M. and Post D.E. // Nucl. Fusion. 1990. V. 30, No. 10. P. 1999.
- Vershkov V.A., Sarychev D.V., Notkin G.E., Shelukhin D.A., Buldakov M.A., Dnestrovskij Yu.N., Grashin S.A., Kirneva N.A., Krupin V.A., Klyuchnikov L.A., Melnikov A.V., Neudatchin S.V., Nurgaliev M.R., Pavlov Yu.D., Savrukhin P.V. and T-10 team. // Nucl. Fusion. 2017. V. 57. P. 102017.
- Dimits A.M., Bateman G., Beer M.A., Cohen B.I., Dorland W., Hammett G.W., Kim C., Kinsey J.E., Kotschenreuther M., Kritz A.H., Lao L.L., Mandrekas J., Nevins W.M., Parker S.E., Redd A.J., Shumaker D.E., Sydora R., and Weiland J. // Physics of Plasmas. 2000. V. 7. P. 969.
- Jenko F., Dorland W. and Kotschenreuther M. // Physics of Plasmas. 2000. N. 7. P. 1904.
- Lapillone X., Brunner S., Dannert T., Jolliet S., Matinoni A., Villard L., Goerler T., Jenko F., and Merz F. // Physics of Plasmas. 2009. V. 16. P. 032308.
- Citrin J., Arnichand H., Bernardo J., Bourdelle C., Garbet X., Jenko F., Hacquin S., Pueschel M.J., and Sabot R. // Plasma Phys. Cont. Fusion. 2017. V. 59. P. 064010.
- Creely A.J., Goerler T., Conway G.D., Freethy S.J., Howard N.T., Schneider P.A., W hite A.E., Will ensdorfer M. and The ASDEX Upgrade Team. // Nucl. Fusion. 2018. V. 58. P. 126001.
- Citrin J., Jenko F., Mantica P., Toss D., Bourdelle C., Dumont R., Garcia J., Haverkort J.W., Hogeweij G.M.D., Johnson T., Pueschel M.J. and JET-EFDA contributors. // Nucl.Fusion. 2014. V. 54. P. 023008.
- Klyuchnikov L.A., Krupin V.A., Nurgaliev M.R., Korobov K.V., Nemets A.R., Dnestrovskij A.Yu., Tugarinov S.N., Serov S.V., Naumenko N.N. // Rev. Sci. Instrum. 2016. V. 87. P. 053506.
- Pereverzev G.V., Yushmanov P.N. Preprint IPP. 2002. 5/98.
- Vershkov V.A., Buldakov M.A., Subbotin G.F., Shelukhin D.A., Melnikov A.V., Eliseev L.G., Kharchev N.K., Khabanov P.O., Drabinskiy M.A., Sergeev D.S., Myalton T.B., Trukhin V. M., Gorshkov A.V., Belbas I.S., Asadulin G.M. // Nucl. Fusion. 2019. V. 59. P. 066021.
- Nurgaliev M.R., Krupin V.A., Klyuchnikov L.A., Nemets A.R., Zemtsov I.A., Dnestrovskiy A.Yu., Borschegovskiy A.A., Kislov A.Ya., Sarychev D.V., Solovev N.A., Trukhin V.M., Pimenov I., Sergeev D.S., Myalton T.B., Tugarinov S.N., Naumenko N.N. // Proc. 46 th EPS Conference on Plasma Physics, Milan, Italy, P5.1078, July 2019.
- Krupin V.A., Nurgaliev M.R., Nemets A.R., Zemtsov I.A., Khabanov P. O., Drabinskiy M.A., Lysenko S.E., Melnikov A.V., Myalton T.B., Sergeev D.S., Solovev N.A., Sarychev D.V., Ryjakov D.V., Tugarinov S.N., Naumenko N.N. // Phys. Plasmas. 2022. V. 29. P. 062508.
- Houlberg W.A., Shaing K.C., Hirshman S.P., Zarnstorff M.C. // Phys. Plasmas. 1997. V. 4. P. 3230.
- Krupin V.A., Klyuchnikov L.A., Nurgaliev M.R., Nemets A.R., Zemtsov I.A., Dnestrovskiy A.Yu., Grashin S.A., Kislov A.Ya., Myalton T.B., Sarychev D.V., Sergeev D.S., Solovev N.A. and Trukhin V.M. // Plasma Phys. Control. Fusion. 2020. V. 62. P. 025019.
- Hirshman S.P., Hawryluk R.J. and Birge B. // Nucl. Fusion. 1977. V. 17. P. 611.
- Dux R. / Preprint IPP. 2006. 10/30.
- Spitzer L., Harm R. // Phys. Review. 1953. V. 89. No. 5, P. 977.
- Sauter O., Angioni C. and Lin-Liu Y. R. // Physics of Plasmas. 1999. V. 6. P. 2834.
- Hey J. D., Lie Y. T., Rusbüldt D., Hintz E. // Contributions to Plasma Physics. 1994. V. 34. No. 6. P. 725.
- Брагинский С. И. Вопросы теории плазмы / Под ред. M. A. Леонтовича. М.: Госатомиздат. 1963. Вып. 1. С. 183.
- Huba J.D. NRL Plasma Formulary.2011. ht tp: //wwwppd.nrl.navy.mil/nrlformulary .
- http: //genecode.org
- http: //computing.kiae.ru
- Balay S., Buschelman K., Eijlhout V., Gropp W.D., Kaushik D., Knepley M.G., McInnes L.C., Smith B.F. and Honh Zhang. // PETSc User Manual, 2004. ANL-95/11 – Rev.2.1.5.
- Miller R.L., Chu M.S., Greene J.M., Lin-Liu Y.R., Waltz R.E. // Phys. of Plasmas, 1998. V. 5. P. 973.
- Peeters A.G., Angioni C., Apostoliceanu M., Jenko F., Ryter F. // Phys. Of Plasmas. 2005. V. 12. P. 022505.
- Isaev M.Y., Anuaruly О., Brunner S., Goerler Т., Nurgaliev М.R., Pueschel M.J., Smirnov D.V., Teslyuk A.B. // Proc. XLIX Zvenigorod International Conference on Plasma Physics and Controlled Fusion, Zvenigorod, Russia, 20.3.2022. P. 20.
- Vershkov V.A., Buldakov M.A., Subbotin G.F., Shelukhin D.A., Melnikov A.V., Eliseev L.G., Kharchev N.K., Khabanov P.O., Drabinskiy M.A., Sergeev D.S., Myalton T.B., Trukhin V.M., Gorshkov A.V., Belbas I.S. and Asadulin G.M. // Nucl. Fusion. 2019. V. 59. P. 066021.
- Пастухов В.П., Смирнов Д.В., Чудин Н.В. // Физика плазмы. 2023. Т. 49. № 7. C. 609.
- Pastukhov V. P., Chudin N.V., Smirnov D.V. // Plasma Physics and Controlled Fusion, 2011, 53, 054015.
- Пастухов В.П., Кирнева Н.А., Смирнов Д.В. // Физика плазмы 2019. Т. 45. № 12. С. 1072.
- Isaev M.Y., Leonov V.M., Medvedev S.Y. // Fusion Science and Technol. 2019. V. 75. P. 218.
Supplementary files






















